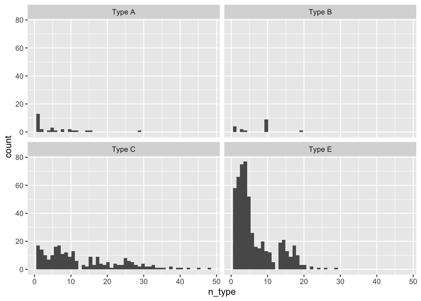
| Type et nombre de siège | |
| Characteristic | N = 31,7191 |
|---|---|
| TYPE_SEAT | |
| Type A | 1,329 (4.2%) |
| Type B | 566 (1.8%) |
| Type C | 5,820 (18%) |
| Type D | 20,423 (64%) |
| Type E | 3,581 (11%) |
| 1 n (%) | |
Euro Expert
Librairies
DATA IMPORT
QUESTIONS
Expertise publique
- Les sièges
- d’individus qui composent les sièges
| Nombre d'occupant (au sens du nombre d'individu) de siège | |
| En fonction du type | |
| Characteristic | N = 35,2861 |
|---|---|
| TYPE_SEAT_seat | |
| Type A | 1,329 (3.8%) |
| Type B | 566 (1.6%) |
| Type C | 5,820 (16%) |
| Type D | 23,990 (68%) |
| Type E | 3,581 (10%) |
| 1 n (%) | |
- Nombre d’organismes différents
| Nombre d'occupant (au sens du nombre d'organisme) de siège | |
| En fonction du type | |
| Characteristic | N = 34,8731 |
|---|---|
| TYPE_SEAT_seat | |
| Type A | 1,329 (3.8%) |
| Type B | 566 (1.6%) |
| Type C | 5,820 (17%) |
| Type D | 23,577 (68%) |
| Type E | 3,581 (10%) |
| 1 n (%) | |
Dans quelles DG y en a-t-il le plus ?
En pourcentage colonne :
| Characteristic | Type A N = 1,3291 |
Type B N = 5661 |
Type C N = 5,8201 |
Type D N = 20,4231 |
Type E N = 3,5811 |
Overall N = 31,7191 |
|---|---|---|---|---|---|---|
| lead_dg | ||||||
| Eurostat | 31 (2.3%) | 0 (0%) | 39 (0.7%) | 3,747 (18%) | 1,564 (44%) | 5,381 (17%) |
| DG Internal Market, Industry, Entrepreneurship and SMEs | 33 (2.5%) | 1 (0.2%) | 1,047 (18%) | 2,417 (12%) | 445 (12%) | 3,943 (12%) |
| DG Environment | 66 (5.0%) | 0 (0%) | 768 (13%) | 1,857 (9.1%) | 317 (8.9%) | 3,008 (9.5%) |
| DG Mobility and Transport | 18 (1.4%) | 6 (1.1%) | 1,015 (17%) | 1,552 (7.6%) | 175 (4.9%) | 2,766 (8.7%) |
| DG Health and Food Safety | 131 (9.9%) | 0 (0%) | 585 (10%) | 1,448 (7.1%) | 183 (5.1%) | 2,347 (7.4%) |
| DG Taxation and Customs Union | 14 (1.1%) | 0 (0%) | 188 (3.2%) | 1,647 (8.1%) | 46 (1.3%) | 1,895 (6.0%) |
| DG Employment, Social Affairs and Inclusion | 36 (2.7%) | 374 (66%) | 334 (5.7%) | 888 (4.3%) | 118 (3.3%) | 1,750 (5.5%) |
| DG Agriculture and Rural Development | 43 (3.2%) | 0 (0%) | 691 (12%) | 535 (2.6%) | 48 (1.3%) | 1,317 (4.2%) |
| DG Justice and Consumers | 178 (13%) | 40 (7.1%) | 132 (2.3%) | 869 (4.3%) | 62 (1.7%) | 1,281 (4.0%) |
| DG Migration and Home Affairs | 78 (5.9%) | 3 (0.5%) | 152 (2.6%) | 807 (4.0%) | 82 (2.3%) | 1,122 (3.5%) |
| DG Energy | 4 (0.3%) | 0 (0%) | 185 (3.2%) | 648 (3.2%) | 52 (1.5%) | 889 (2.8%) |
| DG Research and Innovation | 385 (29%) | 38 (6.7%) | 44 (0.8%) | 324 (1.6%) | 90 (2.5%) | 881 (2.8%) |
| DG Communications Networks, Content and Technology | 53 (4.0%) | 1 (0.2%) | 50 (0.9%) | 633 (3.1%) | 70 (2.0%) | 807 (2.5%) |
| DG Education and Culture | 65 (4.9%) | 0 (0%) | 106 (1.8%) | 483 (2.4%) | 130 (3.6%) | 784 (2.5%) |
| DG Defence Industry and Space | 0 (0%) | 0 (0%) | 184 (3.2%) | 316 (1.5%) | 37 (1.0%) | 537 (1.7%) |
| DG Financial Stability, Financial Services and Capital Markets Union | 18 (1.4%) | 73 (13%) | 60 (1.0%) | 324 (1.6%) | 56 (1.6%) | 531 (1.7%) |
| DG Maritime Affairs and Fisheries | 100 (7.5%) | 7 (1.2%) | 26 (0.4%) | 297 (1.5%) | 12 (0.3%) | 442 (1.4%) |
| DG Climate Action | 11 (0.8%) | 4 (0.7%) | 136 (2.3%) | 162 (0.8%) | 16 (0.4%) | 329 (1.0%) |
| DG Regional and Urban Policy | 0 (0%) | 0 (0%) | 47 (0.8%) | 189 (0.9%) | 14 (0.4%) | 250 (0.8%) |
| DG International Partnerships | 0 (0%) | 0 (0%) | 0 (0%) | 243 (1.2%) | 5 (0.1%) | 248 (0.8%) |
| DG Trade | 0 (0%) | 0 (0%) | 0 (0%) | 221 (1.1%) | 0 (0%) | 221 (0.7%) |
| European Anti-Fraud Office | 0 (0%) | 0 (0%) | 1 (<0.1%) | 216 (1.1%) | 3 (<0.1%) | 220 (0.7%) |
| Secretariat-General | 0 (0%) | 19 (3.4%) | 0 (0%) | 146 (0.7%) | 6 (0.2%) | 171 (0.5%) |
| DG Humanitarian Aid and Civil Protection | 0 (0%) | 0 (0%) | 0 (0%) | 135 (0.7%) | 26 (0.7%) | 161 (0.5%) |
| DG Economic and Financial Affairs | 0 (0%) | 0 (0%) | 15 (0.3%) | 129 (0.6%) | 7 (0.2%) | 151 (0.5%) |
| Health Emergency Preparedness and Response Authority | 15 (1.1%) | 0 (0%) | 0 (0%) | 27 (0.1%) | 5 (0.1%) | 47 (0.1%) |
| Service for Foreign Policy Instruments | 4 (0.3%) | 0 (0%) | 6 (0.1%) | 28 (0.1%) | 2 (<0.1%) | 40 (0.1%) |
| DG Budget | 10 (0.8%) | 0 (0%) | 0 (0%) | 27 (0.1%) | 0 (0%) | 37 (0.1%) |
| DG for Structural Reform Support | 0 (0%) | 0 (0%) | 3 (<0.1%) | 27 (0.1%) | 5 (0.1%) | 35 (0.1%) |
| DG Informatics | 0 (0%) | 0 (0%) | 0 (0%) | 27 (0.1%) | 5 (0.1%) | 32 (0.1%) |
| DG Human Resources and Security | 0 (0%) | 0 (0%) | 0 (0%) | 27 (0.1%) | 0 (0%) | 27 (<0.1%) |
| European Personnel Selection Office | 0 (0%) | 0 (0%) | 0 (0%) | 27 (0.1%) | 0 (0%) | 27 (<0.1%) |
| DG Competition | 16 (1.2%) | 0 (0%) | 0 (0%) | 0 (0%) | 0 (0%) | 16 (<0.1%) |
| Joint Research Centre | 14 (1.1%) | 0 (0%) | 0 (0%) | 0 (0%) | 0 (0%) | 14 (<0.1%) |
| DG Translation | 6 (0.5%) | 0 (0%) | 6 (0.1%) | 0 (0%) | 0 (0%) | 12 (<0.1%) |
| 1 n (%) | ||||||
En pourcentage ligne :
| Characteristic | Type A N = 1,3291 |
Type B N = 5661 |
Type C N = 5,8201 |
Type D N = 20,4231 |
Type E N = 3,5811 |
Overall N = 31,7191 |
|---|---|---|---|---|---|---|
| lead_dg | ||||||
| Eurostat | 31 (0.6%) | 0 (0%) | 39 (0.7%) | 3,747 (70%) | 1,564 (29%) | 5,381 (100%) |
| DG Internal Market, Industry, Entrepreneurship and SMEs | 33 (0.8%) | 1 (<0.1%) | 1,047 (27%) | 2,417 (61%) | 445 (11%) | 3,943 (100%) |
| DG Environment | 66 (2.2%) | 0 (0%) | 768 (26%) | 1,857 (62%) | 317 (11%) | 3,008 (100%) |
| DG Mobility and Transport | 18 (0.7%) | 6 (0.2%) | 1,015 (37%) | 1,552 (56%) | 175 (6.3%) | 2,766 (100%) |
| DG Health and Food Safety | 131 (5.6%) | 0 (0%) | 585 (25%) | 1,448 (62%) | 183 (7.8%) | 2,347 (100%) |
| DG Taxation and Customs Union | 14 (0.7%) | 0 (0%) | 188 (9.9%) | 1,647 (87%) | 46 (2.4%) | 1,895 (100%) |
| DG Employment, Social Affairs and Inclusion | 36 (2.1%) | 374 (21%) | 334 (19%) | 888 (51%) | 118 (6.7%) | 1,750 (100%) |
| DG Agriculture and Rural Development | 43 (3.3%) | 0 (0%) | 691 (52%) | 535 (41%) | 48 (3.6%) | 1,317 (100%) |
| DG Justice and Consumers | 178 (14%) | 40 (3.1%) | 132 (10%) | 869 (68%) | 62 (4.8%) | 1,281 (100%) |
| DG Migration and Home Affairs | 78 (7.0%) | 3 (0.3%) | 152 (14%) | 807 (72%) | 82 (7.3%) | 1,122 (100%) |
| DG Energy | 4 (0.4%) | 0 (0%) | 185 (21%) | 648 (73%) | 52 (5.8%) | 889 (100%) |
| DG Research and Innovation | 385 (44%) | 38 (4.3%) | 44 (5.0%) | 324 (37%) | 90 (10%) | 881 (100%) |
| DG Communications Networks, Content and Technology | 53 (6.6%) | 1 (0.1%) | 50 (6.2%) | 633 (78%) | 70 (8.7%) | 807 (100%) |
| DG Education and Culture | 65 (8.3%) | 0 (0%) | 106 (14%) | 483 (62%) | 130 (17%) | 784 (100%) |
| DG Defence Industry and Space | 0 (0%) | 0 (0%) | 184 (34%) | 316 (59%) | 37 (6.9%) | 537 (100%) |
| DG Financial Stability, Financial Services and Capital Markets Union | 18 (3.4%) | 73 (14%) | 60 (11%) | 324 (61%) | 56 (11%) | 531 (100%) |
| DG Maritime Affairs and Fisheries | 100 (23%) | 7 (1.6%) | 26 (5.9%) | 297 (67%) | 12 (2.7%) | 442 (100%) |
| DG Climate Action | 11 (3.3%) | 4 (1.2%) | 136 (41%) | 162 (49%) | 16 (4.9%) | 329 (100%) |
| DG Regional and Urban Policy | 0 (0%) | 0 (0%) | 47 (19%) | 189 (76%) | 14 (5.6%) | 250 (100%) |
| DG International Partnerships | 0 (0%) | 0 (0%) | 0 (0%) | 243 (98%) | 5 (2.0%) | 248 (100%) |
| DG Trade | 0 (0%) | 0 (0%) | 0 (0%) | 221 (100%) | 0 (0%) | 221 (100%) |
| European Anti-Fraud Office | 0 (0%) | 0 (0%) | 1 (0.5%) | 216 (98%) | 3 (1.4%) | 220 (100%) |
| Secretariat-General | 0 (0%) | 19 (11%) | 0 (0%) | 146 (85%) | 6 (3.5%) | 171 (100%) |
| DG Humanitarian Aid and Civil Protection | 0 (0%) | 0 (0%) | 0 (0%) | 135 (84%) | 26 (16%) | 161 (100%) |
| DG Economic and Financial Affairs | 0 (0%) | 0 (0%) | 15 (9.9%) | 129 (85%) | 7 (4.6%) | 151 (100%) |
| Health Emergency Preparedness and Response Authority | 15 (32%) | 0 (0%) | 0 (0%) | 27 (57%) | 5 (11%) | 47 (100%) |
| Service for Foreign Policy Instruments | 4 (10%) | 0 (0%) | 6 (15%) | 28 (70%) | 2 (5.0%) | 40 (100%) |
| DG Budget | 10 (27%) | 0 (0%) | 0 (0%) | 27 (73%) | 0 (0%) | 37 (100%) |
| DG for Structural Reform Support | 0 (0%) | 0 (0%) | 3 (8.6%) | 27 (77%) | 5 (14%) | 35 (100%) |
| DG Informatics | 0 (0%) | 0 (0%) | 0 (0%) | 27 (84%) | 5 (16%) | 32 (100%) |
| DG Human Resources and Security | 0 (0%) | 0 (0%) | 0 (0%) | 27 (100%) | 0 (0%) | 27 (100%) |
| European Personnel Selection Office | 0 (0%) | 0 (0%) | 0 (0%) | 27 (100%) | 0 (0%) | 27 (100%) |
| DG Competition | 16 (100%) | 0 (0%) | 0 (0%) | 0 (0%) | 0 (0%) | 16 (100%) |
| Joint Research Centre | 14 (100%) | 0 (0%) | 0 (0%) | 0 (0%) | 0 (0%) | 14 (100%) |
| DG Translation | 6 (50%) | 0 (0%) | 6 (50%) | 0 (0%) | 0 (0%) | 12 (100%) |
| 1 n (%) | ||||||
Nombre de groupes et sous-groupes par DG
| Characteristic | N = 6601 |
|---|---|
| lead_dg | |
| Eurostat | 79 (12%) |
| DG Internal Market, Industry, Entrepreneurship and SMEs | 69 (10%) |
| DG Environment | 52 (7.9%) |
| DG Taxation and Customs Union | 49 (7.4%) |
| DG Mobility and Transport | 47 (7.1%) |
| DG Health and Food Safety | 45 (6.8%) |
| DG Justice and Consumers | 36 (5.5%) |
| DG Research and Innovation | 32 (4.8%) |
| DG Agriculture and Rural Development | 30 (4.5%) |
| DG Migration and Home Affairs | 28 (4.2%) |
| DG Energy | 25 (3.8%) |
| DG Employment, Social Affairs and Inclusion | 24 (3.6%) |
| DG Communications Networks, Content and Technology | 23 (3.5%) |
| DG Education and Culture | 18 (2.7%) |
| DG Financial Stability, Financial Services and Capital Markets Union | 17 (2.6%) |
| DG International Partnerships | 11 (1.7%) |
| DG Defence Industry and Space | 10 (1.5%) |
| DG Maritime Affairs and Fisheries | 10 (1.5%) |
| DG Regional and Urban Policy | 8 (1.2%) |
| DG Trade | 7 (1.1%) |
| DG Climate Action | 6 (0.9%) |
| DG Economic and Financial Affairs | 6 (0.9%) |
| DG Humanitarian Aid and Civil Protection | 5 (0.8%) |
| Secretariat-General | 5 (0.8%) |
| European Anti-Fraud Office | 4 (0.6%) |
| DG Budget | 2 (0.3%) |
| Health Emergency Preparedness and Response Authority | 2 (0.3%) |
| Joint Research Centre | 2 (0.3%) |
| Service for Foreign Policy Instruments | 2 (0.3%) |
| DG Competition | 1 (0.2%) |
| DG for Structural Reform Support | 1 (0.2%) |
| DG Human Resources and Security | 1 (0.2%) |
| DG Informatics | 1 (0.2%) |
| DG Translation | 1 (0.2%) |
| European Personnel Selection Office | 1 (0.2%) |
| 1 n (%) | |
[1] 149
Il y a donc 149 groupes (sans les sous-groupes) qui ont plusieurs DG associées.
Regarder les appariements les plus courant entre DG :
Récupérer les infos liées aux DGs
Spliter en plusieurs lignes
tbl_summary
`summarise()` has grouped output by 'lead_dg'. You can override using the
`.groups` argument.
























| Characteristic | DG Agriculture and Rural Development N = 91 |
DG Budget N = 11 |
DG Communications Networks, Content and Technology N = 191 |
DG Economic and Financial Affairs N = 31 |
DG Education and Culture N = 111 |
DG Employment, Social Affairs and Inclusion N = 51 |
DG Energy N = 111 |
DG Environment N = 511 |
DG Financial Stability, Financial Services and Capital Markets Union N = 351 |
DG Health and Food Safety N = 101 |
DG Humanitarian Aid and Civil Protection N = 31 |
DG Internal Market, Industry, Entrepreneurship and SMEs N = 421 |
DG International Partnerships N = 171 |
DG Justice and Consumers N = 71 |
DG Maritime Affairs and Fisheries N = 141 |
DG Migration and Home Affairs N = 81 |
DG Mobility and Transport N = 211 |
DG Regional and Urban Policy N = 271 |
DG Research and Innovation N = 131 |
DG Taxation and Customs Union N = 21 |
European Anti-Fraud Office N = 41 |
Eurostat N = 381 |
Health Emergency Preparedness and Response Authority N = 11 |
Secretariat-General N = 11 |
|---|---|---|---|---|---|---|---|---|---|---|---|---|---|---|---|---|---|---|---|---|---|---|---|---|
| associated_dgs | ||||||||||||||||||||||||
| DG Agriculture and Rural Development | 0 (0%) | 0 (0%) | 0 (0%) | 0 (0%) | 0 (0%) | 0 (0%) | 0 (0%) | 0 (0%) | 1 (2.9%) | 1 (10%) | 0 (0%) | 1 (2.4%) | 0 (0%) | 0 (0%) | 1 (7.1%) | 0 (0%) | 0 (0%) | 2 (7.4%) | 1 (7.7%) | 0 (0%) | 0 (0%) | 5 (13%) | 0 (0%) | 0 (0%) |
| DG Budget | 0 (0%) | 0 (0%) | 0 (0%) | 0 (0%) | 0 (0%) | 0 (0%) | 0 (0%) | 0 (0%) | 0 (0%) | 0 (0%) | 0 (0%) | 1 (2.4%) | 0 (0%) | 0 (0%) | 0 (0%) | 0 (0%) | 0 (0%) | 0 (0%) | 0 (0%) | 0 (0%) | 1 (25%) | 3 (7.9%) | 0 (0%) | 0 (0%) |
| DG Climate Action | 2 (22%) | 0 (0%) | 0 (0%) | 0 (0%) | 0 (0%) | 0 (0%) | 1 (9.1%) | 1 (2.0%) | 2 (5.7%) | 0 (0%) | 0 (0%) | 0 (0%) | 2 (12%) | 0 (0%) | 0 (0%) | 0 (0%) | 2 (9.5%) | 1 (3.7%) | 1 (7.7%) | 0 (0%) | 0 (0%) | 4 (11%) | 0 (0%) | 0 (0%) |
| DG Communications Networks, Content and Technology | 0 (0%) | 0 (0%) | 0 (0%) | 0 (0%) | 3 (27%) | 0 (0%) | 0 (0%) | 0 (0%) | 1 (2.9%) | 0 (0%) | 0 (0%) | 4 (9.5%) | 0 (0%) | 2 (29%) | 0 (0%) | 0 (0%) | 4 (19%) | 1 (3.7%) | 4 (31%) | 0 (0%) | 0 (0%) | 0 (0%) | 0 (0%) | 0 (0%) |
| DG Competition | 0 (0%) | 0 (0%) | 0 (0%) | 0 (0%) | 0 (0%) | 0 (0%) | 0 (0%) | 0 (0%) | 2 (5.7%) | 0 (0%) | 0 (0%) | 1 (2.4%) | 0 (0%) | 0 (0%) | 1 (7.1%) | 0 (0%) | 0 (0%) | 0 (0%) | 0 (0%) | 0 (0%) | 0 (0%) | 0 (0%) | 0 (0%) | 0 (0%) |
| DG Defence Industry and Space | 0 (0%) | 0 (0%) | 3 (16%) | 0 (0%) | 0 (0%) | 0 (0%) | 0 (0%) | 0 (0%) | 0 (0%) | 0 (0%) | 0 (0%) | 0 (0%) | 0 (0%) | 0 (0%) | 0 (0%) | 0 (0%) | 0 (0%) | 0 (0%) | 0 (0%) | 0 (0%) | 0 (0%) | 0 (0%) | 0 (0%) | 0 (0%) |
| DG Economic and Financial Affairs | 0 (0%) | 0 (0%) | 0 (0%) | 0 (0%) | 1 (9.1%) | 0 (0%) | 0 (0%) | 0 (0%) | 2 (5.7%) | 0 (0%) | 0 (0%) | 0 (0%) | 0 (0%) | 0 (0%) | 0 (0%) | 1 (13%) | 0 (0%) | 0 (0%) | 0 (0%) | 0 (0%) | 0 (0%) | 3 (7.9%) | 0 (0%) | 1 (100%) |
| DG Education and Culture | 0 (0%) | 0 (0%) | 0 (0%) | 0 (0%) | 0 (0%) | 1 (20%) | 0 (0%) | 0 (0%) | 0 (0%) | 0 (0%) | 0 (0%) | 1 (2.4%) | 0 (0%) | 0 (0%) | 0 (0%) | 1 (13%) | 0 (0%) | 1 (3.7%) | 0 (0%) | 0 (0%) | 0 (0%) | 0 (0%) | 0 (0%) | 0 (0%) |
| DG Employment, Social Affairs and Inclusion | 0 (0%) | 0 (0%) | 1 (5.3%) | 0 (0%) | 3 (27%) | 0 (0%) | 0 (0%) | 3 (5.9%) | 1 (2.9%) | 0 (0%) | 0 (0%) | 1 (2.4%) | 0 (0%) | 1 (14%) | 1 (7.1%) | 1 (13%) | 2 (9.5%) | 4 (15%) | 0 (0%) | 0 (0%) | 0 (0%) | 1 (2.6%) | 0 (0%) | 0 (0%) |
| DG Energy | 0 (0%) | 0 (0%) | 1 (5.3%) | 0 (0%) | 0 (0%) | 0 (0%) | 0 (0%) | 2 (3.9%) | 2 (5.7%) | 0 (0%) | 0 (0%) | 1 (2.4%) | 1 (5.9%) | 0 (0%) | 1 (7.1%) | 0 (0%) | 0 (0%) | 1 (3.7%) | 1 (7.7%) | 0 (0%) | 0 (0%) | 1 (2.6%) | 0 (0%) | 0 (0%) |
| DG Environment | 2 (22%) | 0 (0%) | 0 (0%) | 0 (0%) | 0 (0%) | 0 (0%) | 1 (9.1%) | 0 (0%) | 2 (5.7%) | 3 (30%) | 0 (0%) | 5 (12%) | 2 (12%) | 0 (0%) | 1 (7.1%) | 0 (0%) | 3 (14%) | 1 (3.7%) | 1 (7.7%) | 0 (0%) | 0 (0%) | 3 (7.9%) | 0 (0%) | 0 (0%) |
| DG Financial Stability, Financial Services and Capital Markets Union | 0 (0%) | 1 (100%) | 2 (11%) | 1 (33%) | 0 (0%) | 1 (20%) | 0 (0%) | 2 (3.9%) | 0 (0%) | 0 (0%) | 0 (0%) | 0 (0%) | 1 (5.9%) | 1 (14%) | 0 (0%) | 0 (0%) | 0 (0%) | 0 (0%) | 0 (0%) | 0 (0%) | 0 (0%) | 1 (2.6%) | 0 (0%) | 0 (0%) |
| DG for Structural Reform Support | 0 (0%) | 0 (0%) | 0 (0%) | 0 (0%) | 0 (0%) | 0 (0%) | 0 (0%) | 0 (0%) | 0 (0%) | 0 (0%) | 0 (0%) | 0 (0%) | 0 (0%) | 0 (0%) | 0 (0%) | 0 (0%) | 0 (0%) | 0 (0%) | 0 (0%) | 0 (0%) | 0 (0%) | 1 (2.6%) | 0 (0%) | 0 (0%) |
| DG Health and Food Safety | 2 (22%) | 0 (0%) | 2 (11%) | 0 (0%) | 1 (9.1%) | 0 (0%) | 0 (0%) | 5 (9.8%) | 1 (2.9%) | 0 (0%) | 0 (0%) | 5 (12%) | 0 (0%) | 1 (14%) | 1 (7.1%) | 0 (0%) | 0 (0%) | 0 (0%) | 1 (7.7%) | 0 (0%) | 0 (0%) | 3 (7.9%) | 0 (0%) | 0 (0%) |
| DG Humanitarian Aid and Civil Protection | 0 (0%) | 0 (0%) | 0 (0%) | 0 (0%) | 0 (0%) | 0 (0%) | 0 (0%) | 0 (0%) | 1 (2.9%) | 0 (0%) | 0 (0%) | 0 (0%) | 1 (5.9%) | 1 (14%) | 0 (0%) | 0 (0%) | 0 (0%) | 0 (0%) | 0 (0%) | 0 (0%) | 0 (0%) | 0 (0%) | 0 (0%) | 0 (0%) |
| DG Informatics | 0 (0%) | 0 (0%) | 1 (5.3%) | 0 (0%) | 0 (0%) | 0 (0%) | 0 (0%) | 0 (0%) | 0 (0%) | 0 (0%) | 0 (0%) | 2 (4.8%) | 0 (0%) | 1 (14%) | 0 (0%) | 0 (0%) | 0 (0%) | 0 (0%) | 1 (7.7%) | 0 (0%) | 0 (0%) | 0 (0%) | 0 (0%) | 0 (0%) |
| DG Internal Market, Industry, Entrepreneurship and SMEs | 0 (0%) | 0 (0%) | 3 (16%) | 1 (33%) | 0 (0%) | 0 (0%) | 3 (27%) | 7 (14%) | 2 (5.7%) | 2 (20%) | 0 (0%) | 0 (0%) | 1 (5.9%) | 0 (0%) | 1 (7.1%) | 3 (38%) | 4 (19%) | 1 (3.7%) | 0 (0%) | 0 (0%) | 1 (25%) | 3 (7.9%) | 0 (0%) | 0 (0%) |
| DG International Partnerships | 0 (0%) | 0 (0%) | 0 (0%) | 0 (0%) | 0 (0%) | 0 (0%) | 0 (0%) | 0 (0%) | 0 (0%) | 1 (10%) | 0 (0%) | 0 (0%) | 0 (0%) | 0 (0%) | 0 (0%) | 0 (0%) | 0 (0%) | 1 (3.7%) | 0 (0%) | 0 (0%) | 0 (0%) | 0 (0%) | 0 (0%) | 0 (0%) |
| DG Justice and Consumers | 0 (0%) | 0 (0%) | 1 (5.3%) | 1 (33%) | 1 (9.1%) | 1 (20%) | 0 (0%) | 2 (3.9%) | 7 (20%) | 0 (0%) | 0 (0%) | 1 (2.4%) | 0 (0%) | 0 (0%) | 0 (0%) | 1 (13%) | 0 (0%) | 0 (0%) | 0 (0%) | 0 (0%) | 0 (0%) | 0 (0%) | 0 (0%) | 0 (0%) |
| DG Maritime Affairs and Fisheries | 2 (22%) | 0 (0%) | 0 (0%) | 0 (0%) | 0 (0%) | 0 (0%) | 0 (0%) | 1 (2.0%) | 1 (2.9%) | 0 (0%) | 0 (0%) | 0 (0%) | 0 (0%) | 0 (0%) | 0 (0%) | 0 (0%) | 1 (4.8%) | 4 (15%) | 1 (7.7%) | 0 (0%) | 0 (0%) | 1 (2.6%) | 0 (0%) | 0 (0%) |
| DG Migration and Home Affairs | 0 (0%) | 0 (0%) | 2 (11%) | 0 (0%) | 0 (0%) | 1 (20%) | 0 (0%) | 0 (0%) | 3 (8.6%) | 0 (0%) | 0 (0%) | 3 (7.1%) | 0 (0%) | 0 (0%) | 1 (7.1%) | 0 (0%) | 0 (0%) | 4 (15%) | 0 (0%) | 1 (50%) | 0 (0%) | 0 (0%) | 0 (0%) | 0 (0%) |
| DG Mobility and Transport | 0 (0%) | 0 (0%) | 1 (5.3%) | 0 (0%) | 0 (0%) | 0 (0%) | 1 (9.1%) | 1 (2.0%) | 1 (2.9%) | 0 (0%) | 0 (0%) | 1 (2.4%) | 0 (0%) | 0 (0%) | 1 (7.1%) | 0 (0%) | 0 (0%) | 1 (3.7%) | 1 (7.7%) | 0 (0%) | 0 (0%) | 0 (0%) | 0 (0%) | 0 (0%) |
| DG Neighbourhood and Enlargement Negotiations | 0 (0%) | 0 (0%) | 0 (0%) | 0 (0%) | 0 (0%) | 0 (0%) | 0 (0%) | 0 (0%) | 0 (0%) | 0 (0%) | 0 (0%) | 0 (0%) | 4 (24%) | 0 (0%) | 0 (0%) | 0 (0%) | 1 (4.8%) | 1 (3.7%) | 0 (0%) | 0 (0%) | 0 (0%) | 0 (0%) | 0 (0%) | 0 (0%) |
| DG Regional and Urban Policy | 0 (0%) | 0 (0%) | 0 (0%) | 0 (0%) | 0 (0%) | 0 (0%) | 1 (9.1%) | 3 (5.9%) | 0 (0%) | 0 (0%) | 0 (0%) | 1 (2.4%) | 0 (0%) | 0 (0%) | 1 (7.1%) | 0 (0%) | 1 (4.8%) | 0 (0%) | 0 (0%) | 0 (0%) | 0 (0%) | 0 (0%) | 0 (0%) | 0 (0%) |
| DG Research and Innovation | 1 (11%) | 0 (0%) | 2 (11%) | 0 (0%) | 0 (0%) | 0 (0%) | 0 (0%) | 3 (5.9%) | 1 (2.9%) | 0 (0%) | 0 (0%) | 1 (2.4%) | 0 (0%) | 0 (0%) | 1 (7.1%) | 1 (13%) | 2 (9.5%) | 1 (3.7%) | 0 (0%) | 0 (0%) | 0 (0%) | 0 (0%) | 1 (100%) | 0 (0%) |
| DG Taxation and Customs Union | 0 (0%) | 0 (0%) | 0 (0%) | 0 (0%) | 0 (0%) | 0 (0%) | 0 (0%) | 0 (0%) | 2 (5.7%) | 0 (0%) | 0 (0%) | 2 (4.8%) | 0 (0%) | 0 (0%) | 1 (7.1%) | 0 (0%) | 0 (0%) | 0 (0%) | 0 (0%) | 0 (0%) | 2 (50%) | 0 (0%) | 0 (0%) | 0 (0%) |
| DG Trade | 0 (0%) | 0 (0%) | 0 (0%) | 0 (0%) | 0 (0%) | 0 (0%) | 0 (0%) | 0 (0%) | 1 (2.9%) | 1 (10%) | 0 (0%) | 6 (14%) | 1 (5.9%) | 0 (0%) | 1 (7.1%) | 0 (0%) | 0 (0%) | 0 (0%) | 0 (0%) | 0 (0%) | 0 (0%) | 3 (7.9%) | 0 (0%) | 0 (0%) |
| European Anti-Fraud Office | 0 (0%) | 0 (0%) | 0 (0%) | 0 (0%) | 0 (0%) | 0 (0%) | 0 (0%) | 0 (0%) | 0 (0%) | 0 (0%) | 0 (0%) | 0 (0%) | 0 (0%) | 0 (0%) | 0 (0%) | 0 (0%) | 0 (0%) | 0 (0%) | 0 (0%) | 1 (50%) | 0 (0%) | 0 (0%) | 0 (0%) | 0 (0%) |
| Eurostat | 0 (0%) | 0 (0%) | 0 (0%) | 0 (0%) | 0 (0%) | 0 (0%) | 1 (9.1%) | 3 (5.9%) | 0 (0%) | 0 (0%) | 0 (0%) | 0 (0%) | 0 (0%) | 0 (0%) | 0 (0%) | 0 (0%) | 0 (0%) | 1 (3.7%) | 0 (0%) | 0 (0%) | 0 (0%) | 0 (0%) | 0 (0%) | 0 (0%) |
| Health Emergency Preparedness and Response Authority | 0 (0%) | 0 (0%) | 0 (0%) | 0 (0%) | 0 (0%) | 0 (0%) | 0 (0%) | 0 (0%) | 0 (0%) | 1 (10%) | 1 (33%) | 0 (0%) | 0 (0%) | 0 (0%) | 0 (0%) | 0 (0%) | 0 (0%) | 0 (0%) | 0 (0%) | 0 (0%) | 0 (0%) | 0 (0%) | 0 (0%) | 0 (0%) |
| Joint Research Centre | 0 (0%) | 0 (0%) | 0 (0%) | 0 (0%) | 2 (18%) | 0 (0%) | 3 (27%) | 16 (31%) | 1 (2.9%) | 1 (10%) | 1 (33%) | 3 (7.1%) | 1 (5.9%) | 0 (0%) | 1 (7.1%) | 0 (0%) | 1 (4.8%) | 1 (3.7%) | 1 (7.7%) | 0 (0%) | 0 (0%) | 6 (16%) | 0 (0%) | 0 (0%) |
| Legal Service | 0 (0%) | 0 (0%) | 0 (0%) | 0 (0%) | 0 (0%) | 1 (20%) | 0 (0%) | 0 (0%) | 1 (2.9%) | 0 (0%) | 0 (0%) | 0 (0%) | 0 (0%) | 0 (0%) | 0 (0%) | 0 (0%) | 0 (0%) | 0 (0%) | 0 (0%) | 0 (0%) | 0 (0%) | 0 (0%) | 0 (0%) | 0 (0%) |
| Publications Office | 0 (0%) | 0 (0%) | 0 (0%) | 0 (0%) | 0 (0%) | 0 (0%) | 0 (0%) | 0 (0%) | 0 (0%) | 0 (0%) | 0 (0%) | 1 (2.4%) | 0 (0%) | 0 (0%) | 0 (0%) | 0 (0%) | 0 (0%) | 0 (0%) | 0 (0%) | 0 (0%) | 0 (0%) | 0 (0%) | 0 (0%) | 0 (0%) |
| Secretariat-General | 0 (0%) | 0 (0%) | 0 (0%) | 0 (0%) | 0 (0%) | 0 (0%) | 0 (0%) | 2 (3.9%) | 0 (0%) | 0 (0%) | 0 (0%) | 1 (2.4%) | 1 (5.9%) | 0 (0%) | 0 (0%) | 0 (0%) | 0 (0%) | 1 (3.7%) | 0 (0%) | 0 (0%) | 0 (0%) | 0 (0%) | 0 (0%) | 0 (0%) |
| Service for Foreign Policy Instruments | 0 (0%) | 0 (0%) | 0 (0%) | 0 (0%) | 0 (0%) | 0 (0%) | 0 (0%) | 0 (0%) | 0 (0%) | 0 (0%) | 1 (33%) | 0 (0%) | 2 (12%) | 0 (0%) | 0 (0%) | 0 (0%) | 0 (0%) | 0 (0%) | 0 (0%) | 0 (0%) | 0 (0%) | 0 (0%) | 0 (0%) | 0 (0%) |
| 1 n (%) | ||||||||||||||||||||||||
Sous-groupes par groupe
Nombre de sous-groupe par groupe
| id | n |
|---|---|
| E03419 | 16 |
| X01211 | 14 |
| X03565 | 14 |
| E01217 | 10 |
| E02210 | 10 |
| E02730 | 9 |
| E03422 | 9 |
| E03794 | 9 |
| E01108 | 8 |
| E01516 | 8 |
| E01539 | 8 |
| E02550 | 8 |
| E03776 | 8 |
| X02543 | 8 |
| E01295 | 7 |
| E01384 | 7 |
| E02239 | 7 |
| E03504 | 7 |
| E03643 | 7 |
| E03657 | 7 |
| E01485 | 6 |
| E02296 | 6 |
| E03835 | 6 |
| X00817 | 6 |
| E00656 | 5 |
| E01302 | 5 |
| E01484 | 5 |
| E01560 | 5 |
| E02264 | 5 |
| E02681 | 5 |
| E02750 | 5 |
| E02861 | 5 |
| E02869 | 5 |
| E02892 | 5 |
| E03006 | 5 |
| E03190 | 5 |
| E03321 | 5 |
| E03421 | 5 |
| E03653 | 5 |
| E03820 | 5 |
| E03829 | 5 |
| E03833 | 5 |
| E03834 | 5 |
| E00860 | 4 |
| E01521 | 4 |
| E01540 | 4 |
| E01552 | 4 |
| E01711 | 4 |
| E01718 | 4 |
| E01732 | 4 |
| E01735 | 4 |
| E02038 | 4 |
| E02734 | 4 |
| E03150 | 4 |
| E03151 | 4 |
| E03280 | 4 |
| E03450 | 4 |
| E03686 | 4 |
| E03746 | 4 |
| E03756 | 4 |
| E03775 | 4 |
| X00892 | 4 |
| X01028 | 4 |
| X03731 | 4 |
| E00520 | 3 |
| E00935 | 3 |
| E00937 | 3 |
| E00947 | 3 |
| E01329 | 3 |
| E01353 | 3 |
| E01422 | 3 |
| E01465 | 3 |
| E01476 | 3 |
| E01479 | 3 |
| E01480 | 3 |
| E01487 | 3 |
| E01490 | 3 |
| E01496 | 3 |
| E01515 | 3 |
| E01542 | 3 |
| E01564 | 3 |
| E01682 | 3 |
| E02666 | 3 |
| E02845 | 3 |
| E02989 | 3 |
| E03277 | 3 |
| E03318 | 3 |
| E03326 | 3 |
| E03364 | 3 |
| E03542 | 3 |
| E03622 | 3 |
| E03652 | 3 |
| E03690 | 3 |
| E03710 | 3 |
| E03777 | 3 |
| E03828 | 3 |
| E03865 | 3 |
| E03884 | 3 |
| X00814 | 3 |
| E00374 | 2 |
| E00470 | 2 |
| E00545 | 2 |
| E00658 | 2 |
| E00944 | 2 |
| E01111 | 2 |
| E01255 | 2 |
| E01296 | 2 |
| E01297 | 2 |
| E01346 | 2 |
| E01360 | 2 |
| E01456 | 2 |
| E01466 | 2 |
| E01469 | 2 |
| E01482 | 2 |
| E01486 | 2 |
| E01489 | 2 |
| E01491 | 2 |
| E01497 | 2 |
| E01499 | 2 |
| E01510 | 2 |
| E01528 | 2 |
| E01544 | 2 |
| E01546 | 2 |
| E01875 | 2 |
| E01941 | 2 |
| E02021 | 2 |
| E02061 | 2 |
| E02547 | 2 |
| E02663 | 2 |
| E02673 | 2 |
| E02679 | 2 |
| E02713 | 2 |
| E02733 | 2 |
| E02758 | 2 |
| E02790 | 2 |
| E02792 | 2 |
| E02795 | 2 |
| E02798 | 2 |
| E02852 | 2 |
| E02936 | 2 |
| E02958 | 2 |
| E02985 | 2 |
| E02987 | 2 |
| E03026 | 2 |
| E03030 | 2 |
| E03076 | 2 |
| E03084 | 2 |
| E03112 | 2 |
| E03118 | 2 |
| E03196 | 2 |
| E03317 | 2 |
| E03328 | 2 |
| E03391 | 2 |
| E03417 | 2 |
| E03425 | 2 |
| E03460 | 2 |
| E03497 | 2 |
| E03511 | 2 |
| E03574 | 2 |
| E03576 | 2 |
| E03642 | 2 |
| E03669 | 2 |
| E03763 | 2 |
| E03773 | 2 |
| E03790 | 2 |
| E03800 | 2 |
| E03832 | 2 |
| E03840 | 2 |
| E03874 | 2 |
| X03550 | 2 |
| E00021 | 1 |
| E00028 | 1 |
| E00151 | 1 |
| E00187 | 1 |
| E00189 | 1 |
| E00214 | 1 |
| E00261 | 1 |
| E00269 | 1 |
| E00373 | 1 |
| E00382 | 1 |
| E00390 | 1 |
| E00391 | 1 |
| E00416 | 1 |
| E00452 | 1 |
| E00453 | 1 |
| E00483 | 1 |
| E00508 | 1 |
| E00510 | 1 |
| E00597 | 1 |
| E00602 | 1 |
| E00608 | 1 |
| E00609 | 1 |
| E00611 | 1 |
| E00612 | 1 |
| E00617 | 1 |
| E00636 | 1 |
| E00638 | 1 |
| E00651 | 1 |
| E00657 | 1 |
| E00660 | 1 |
| E00683 | 1 |
| E00895 | 1 |
| E00911 | 1 |
| E00925 | 1 |
| E00929 | 1 |
| E00930 | 1 |
| E00953 | 1 |
| E00956 | 1 |
| E00978 | 1 |
| E01027 | 1 |
| E01084 | 1 |
| E01087 | 1 |
| E01092 | 1 |
| E01101 | 1 |
| E01106 | 1 |
| E01119 | 1 |
| E01120 | 1 |
| E01216 | 1 |
| E01238 | 1 |
| E01240 | 1 |
| E01242 | 1 |
| E01246 | 1 |
| E01274 | 1 |
| E01317 | 1 |
| E01320 | 1 |
| E01321 | 1 |
| E01322 | 1 |
| E01323 | 1 |
| E01341 | 1 |
| E01342 | 1 |
| E01347 | 1 |
| E01348 | 1 |
| E01349 | 1 |
| E01356 | 1 |
| E01394 | 1 |
| E01464 | 1 |
| E01471 | 1 |
| E01474 | 1 |
| E01475 | 1 |
| E01488 | 1 |
| E01492 | 1 |
| E01498 | 1 |
| E01504 | 1 |
| E01505 | 1 |
| E01506 | 1 |
| E01509 | 1 |
| E01511 | 1 |
| E01518 | 1 |
| E01519 | 1 |
| E01520 | 1 |
| E01522 | 1 |
| E01523 | 1 |
| E01524 | 1 |
| E01525 | 1 |
| E01527 | 1 |
| E01547 | 1 |
| E01553 | 1 |
| E01561 | 1 |
| E01562 | 1 |
| E01566 | 1 |
| E01604 | 1 |
| E01605 | 1 |
| E01607 | 1 |
| E01633 | 1 |
| E01654 | 1 |
| E01655 | 1 |
| E01656 | 1 |
| E01727 | 1 |
| E01728 | 1 |
| E01734 | 1 |
| E01750 | 1 |
| E01781 | 1 |
| E01810 | 1 |
| E01829 | 1 |
| E01860 | 1 |
| E01908 | 1 |
| E01917 | 1 |
| E01922 | 1 |
| E02011 | 1 |
| E02100 | 1 |
| E02107 | 1 |
| E02134 | 1 |
| E02175 | 1 |
| E02176 | 1 |
| E02180 | 1 |
| E02195 | 1 |
| E02211 | 1 |
| E02232 | 1 |
| E02241 | 1 |
| E02287 | 1 |
| E02301 | 1 |
| E02370 | 1 |
| E02380 | 1 |
| E02385 | 1 |
| E02389 | 1 |
| E02392 | 1 |
| E02397 | 1 |
| E02405 | 1 |
| E02415 | 1 |
| E02450 | 1 |
| E02455 | 1 |
| E02469 | 1 |
| E02481 | 1 |
| E02486 | 1 |
| E02519 | 1 |
| E02532 | 1 |
| E02539 | 1 |
| E02541 | 1 |
| E02551 | 1 |
| E02553 | 1 |
| E02561 | 1 |
| E02594 | 1 |
| E02607 | 1 |
| E02609 | 1 |
| E02611 | 1 |
| E02612 | 1 |
| E02653 | 1 |
| E02665 | 1 |
| E02699 | 1 |
| E02700 | 1 |
| E02710 | 1 |
| E02714 | 1 |
| E02719 | 1 |
| E02726 | 1 |
| E02735 | 1 |
| E02736 | 1 |
| E02743 | 1 |
| E02747 | 1 |
| E02748 | 1 |
| E02760 | 1 |
| E02769 | 1 |
| E02770 | 1 |
| E02773 | 1 |
| E02780 | 1 |
| E02793 | 1 |
| E02797 | 1 |
| E02805 | 1 |
| E02806 | 1 |
| E02807 | 1 |
| E02809 | 1 |
| E02810 | 1 |
| E02811 | 1 |
| E02813 | 1 |
| E02821 | 1 |
| E02834 | 1 |
| E02836 | 1 |
| E02854 | 1 |
| E02857 | 1 |
| E02884 | 1 |
| E02885 | 1 |
| E02893 | 1 |
| E02897 | 1 |
| E02904 | 1 |
| E02914 | 1 |
| E02921 | 1 |
| E02978 | 1 |
| E02990 | 1 |
| E02993 | 1 |
| E03004 | 1 |
| E03013 | 1 |
| E03016 | 1 |
| E03020 | 1 |
| E03022 | 1 |
| E03023 | 1 |
| E03027 | 1 |
| E03031 | 1 |
| E03032 | 1 |
| E03036 | 1 |
| E03037 | 1 |
| E03054 | 1 |
| E03063 | 1 |
| E03067 | 1 |
| E03070 | 1 |
| E03071 | 1 |
| E03097 | 1 |
| E03105 | 1 |
| E03110 | 1 |
| E03123 | 1 |
| E03125 | 1 |
| E03128 | 1 |
| E03139 | 1 |
| E03140 | 1 |
| E03142 | 1 |
| E03143 | 1 |
| E03159 | 1 |
| E03160 | 1 |
| E03173 | 1 |
| E03189 | 1 |
| E03204 | 1 |
| E03208 | 1 |
| E03211 | 1 |
| E03213 | 1 |
| E03215 | 1 |
| E03219 | 1 |
| E03224 | 1 |
| E03228 | 1 |
| E03234 | 1 |
| E03245 | 1 |
| E03251 | 1 |
| E03252 | 1 |
| E03253 | 1 |
| E03256 | 1 |
| E03273 | 1 |
| E03276 | 1 |
| E03278 | 1 |
| E03282 | 1 |
| E03291 | 1 |
| E03292 | 1 |
| E03297 | 1 |
| E03298 | 1 |
| E03313 | 1 |
| E03324 | 1 |
| E03334 | 1 |
| E03343 | 1 |
| E03346 | 1 |
| E03349 | 1 |
| E03355 | 1 |
| E03362 | 1 |
| E03376 | 1 |
| E03378 | 1 |
| E03380 | 1 |
| E03392 | 1 |
| E03396 | 1 |
| E03401 | 1 |
| E03403 | 1 |
| E03410 | 1 |
| E03412 | 1 |
| E03418 | 1 |
| E03424 | 1 |
| E03430 | 1 |
| E03431 | 1 |
| E03441 | 1 |
| E03452 | 1 |
| E03457 | 1 |
| E03461 | 1 |
| E03475 | 1 |
| E03477 | 1 |
| E03493 | 1 |
| E03496 | 1 |
| E03499 | 1 |
| E03500 | 1 |
| E03505 | 1 |
| E03519 | 1 |
| E03522 | 1 |
| E03524 | 1 |
| E03525 | 1 |
| E03526 | 1 |
| E03533 | 1 |
| E03534 | 1 |
| E03535 | 1 |
| E03536 | 1 |
| E03537 | 1 |
| E03546 | 1 |
| E03553 | 1 |
| E03560 | 1 |
| E03562 | 1 |
| E03564 | 1 |
| E03569 | 1 |
| E03581 | 1 |
| E03587 | 1 |
| E03590 | 1 |
| E03593 | 1 |
| E03595 | 1 |
| E03600 | 1 |
| E03602 | 1 |
| E03603 | 1 |
| E03604 | 1 |
| E03605 | 1 |
| E03607 | 1 |
| E03611 | 1 |
| E03612 | 1 |
| E03613 | 1 |
| E03614 | 1 |
| E03617 | 1 |
| E03624 | 1 |
| E03626 | 1 |
| E03627 | 1 |
| E03629 | 1 |
| E03636 | 1 |
| E03639 | 1 |
| E03644 | 1 |
| E03648 | 1 |
| E03650 | 1 |
| E03654 | 1 |
| E03661 | 1 |
| E03663 | 1 |
| E03671 | 1 |
| E03672 | 1 |
| E03673 | 1 |
| E03674 | 1 |
| E03675 | 1 |
| E03676 | 1 |
| E03677 | 1 |
| E03678 | 1 |
| E03679 | 1 |
| E03681 | 1 |
| E03682 | 1 |
| E03687 | 1 |
| E03688 | 1 |
| E03689 | 1 |
| E03693 | 1 |
| E03694 | 1 |
| E03695 | 1 |
| E03696 | 1 |
| E03698 | 1 |
| E03701 | 1 |
| E03702 | 1 |
| E03703 | 1 |
| E03704 | 1 |
| E03709 | 1 |
| E03714 | 1 |
| E03715 | 1 |
| E03716 | 1 |
| E03717 | 1 |
| E03718 | 1 |
| E03719 | 1 |
| E03720 | 1 |
| E03721 | 1 |
| E03725 | 1 |
| E03727 | 1 |
| E03728 | 1 |
| E03729 | 1 |
| E03732 | 1 |
| E03733 | 1 |
| E03734 | 1 |
| E03738 | 1 |
| E03742 | 1 |
| E03743 | 1 |
| E03745 | 1 |
| E03750 | 1 |
| E03751 | 1 |
| E03752 | 1 |
| E03753 | 1 |
| E03754 | 1 |
| E03757 | 1 |
| E03758 | 1 |
| E03759 | 1 |
| E03761 | 1 |
| E03762 | 1 |
| E03764 | 1 |
| E03765 | 1 |
| E03767 | 1 |
| E03769 | 1 |
| E03770 | 1 |
| E03772 | 1 |
| E03774 | 1 |
| E03778 | 1 |
| E03779 | 1 |
| E03780 | 1 |
| E03781 | 1 |
| E03782 | 1 |
| E03783 | 1 |
| E03784 | 1 |
| E03786 | 1 |
| E03787 | 1 |
| E03788 | 1 |
| E03789 | 1 |
| E03791 | 1 |
| E03792 | 1 |
| E03793 | 1 |
| E03795 | 1 |
| E03796 | 1 |
| E03797 | 1 |
| E03798 | 1 |
| E03799 | 1 |
| E03802 | 1 |
| E03804 | 1 |
| E03806 | 1 |
| E03808 | 1 |
| E03809 | 1 |
| E03810 | 1 |
| E03811 | 1 |
| E03813 | 1 |
| E03814 | 1 |
| E03815 | 1 |
| E03816 | 1 |
| E03817 | 1 |
| E03822 | 1 |
| E03823 | 1 |
| E03824 | 1 |
| E03826 | 1 |
| E03831 | 1 |
| E03836 | 1 |
| E03837 | 1 |
| E03838 | 1 |
| E03841 | 1 |
| E03843 | 1 |
| E03844 | 1 |
| E03846 | 1 |
| E03847 | 1 |
| E03848 | 1 |
| E03852 | 1 |
| E03853 | 1 |
| E03854 | 1 |
| E03855 | 1 |
| E03860 | 1 |
| E03861 | 1 |
| E03862 | 1 |
| E03863 | 1 |
| E03864 | 1 |
| E03873 | 1 |
| E03875 | 1 |
| E03876 | 1 |
| E03877 | 1 |
| E03878 | 1 |
| E03879 | 1 |
| E03880 | 1 |
| E03881 | 1 |
| E03882 | 1 |
| E03883 | 1 |
| E03885 | 1 |
| E03886 | 1 |
| E03887 | 1 |
| E03888 | 1 |
| E03890 | 1 |
| E03892 | 1 |
| E03893 | 1 |
| E03894 | 1 |
| E03896 | 1 |
| E03898 | 1 |
| E03899 | 1 |
| X00233 | 1 |
| X00365 | 1 |
| X00615 | 1 |
| X00807 | 1 |
| X00808 | 1 |
| X01032 | 1 |
| X01096 | 1 |
| X01312 | 1 |
| X01351 | 1 |
| X01373 | 1 |
| X01419 | 1 |
| X01748 | 1 |
| X01783 | 1 |
| X01784 | 1 |
| X01803 | 1 |
| X01843 | 1 |
| X01900 | 1 |
| X02147 | 1 |
| X02584 | 1 |
| X02757 | 1 |
| X02858 | 1 |
| X02871 | 1 |
| X02883 | 1 |
| X03338 | 1 |
| X03488 | 1 |
| X03531 | 1 |
| X03609 | 1 |
| X03634 | 1 |
| X03771 | 1 |
| X03839 | 1 |
| X03849 | 1 |
| X03866 | 1 |
| X03867 | 1 |
| X03868 | 1 |
| X03869 | 1 |
| X03870 | 1 |
| X03871 | 1 |
| X03872 | 1 |
| X03889 | 1 |
Nombre de siège par groupe (y compris les sous-groupes inclut dans les groupes)
| id | n |
|---|---|
| X01211 | 485 |
| E02210 | 419 |
| E03419 | 410 |
| E03657 | 355 |
| E02550 | 318 |
| E01516 | 275 |
| E01295 | 228 |
| E03421 | 223 |
| E03643 | 217 |
| E01539 | 216 |
| E03833 | 205 |
| E03776 | 199 |
| E03832 | 198 |
| E03829 | 197 |
| E01217 | 188 |
| E03775 | 184 |
| X00817 | 178 |
| E03277 | 171 |
| E01485 | 168 |
| E00860 | 166 |
| E01540 | 161 |
| E01384 | 158 |
| E01560 | 153 |
| E02239 | 153 |
| E02861 | 151 |
| X01803 | 150 |
| E01735 | 147 |
| E01353 | 145 |
| E03321 | 144 |
| E03151 | 141 |
| E03504 | 140 |
| E01496 | 138 |
| E01480 | 137 |
| E03318 | 137 |
| E03820 | 137 |
| E00656 | 135 |
| E02296 | 131 |
| E03280 | 130 |
| E03450 | 129 |
| E03710 | 126 |
| E03326 | 125 |
| X01784 | 124 |
| E01108 | 119 |
| E02611 | 119 |
| E03652 | 114 |
| E01490 | 111 |
| X00892 | 110 |
| E01564 | 109 |
| E03391 | 109 |
| E02734 | 108 |
| E03150 | 108 |
| E01297 | 105 |
| E01476 | 105 |
| E00470 | 103 |
| E01682 | 102 |
| E00520 | 100 |
| E03874 | 100 |
| E01302 | 99 |
| E01479 | 99 |
| E01487 | 99 |
| X02543 | 99 |
| E01484 | 98 |
| E01542 | 95 |
| E01552 | 95 |
| E01711 | 94 |
| E02681 | 94 |
| E00935 | 91 |
| E00374 | 90 |
| E03576 | 89 |
| E01497 | 88 |
| E01718 | 87 |
| E02892 | 87 |
| E03884 | 87 |
| E01422 | 86 |
| E01941 | 86 |
| E03690 | 86 |
| E01329 | 85 |
| E00947 | 84 |
| E02038 | 84 |
| E03497 | 83 |
| E01732 | 82 |
| E03392 | 82 |
| E02730 | 81 |
| E03622 | 81 |
| E01296 | 79 |
| E03317 | 79 |
| E03542 | 79 |
| E03746 | 79 |
| E01465 | 78 |
| E03422 | 78 |
| E03826 | 78 |
| E01489 | 76 |
| E02666 | 76 |
| E02758 | 76 |
| E03282 | 75 |
| E03076 | 74 |
| E03861 | 74 |
| E03642 | 73 |
| E03511 | 72 |
| E03790 | 72 |
| E02845 | 71 |
| E02958 | 70 |
| E03650 | 70 |
| E01491 | 69 |
| E01111 | 68 |
| E02385 | 68 |
| E02798 | 68 |
| E02869 | 68 |
| E03777 | 68 |
| E01469 | 67 |
| E01515 | 67 |
| E02987 | 67 |
| E01544 | 66 |
| E02061 | 66 |
| E02790 | 65 |
| E02809 | 65 |
| E03245 | 65 |
| E03834 | 65 |
| X03338 | 65 |
| X03565 | 65 |
| E01546 | 64 |
| E03125 | 64 |
| E03425 | 64 |
| E03460 | 64 |
| E03593 | 64 |
| E03676 | 64 |
| E01456 | 62 |
| E03590 | 62 |
| E01521 | 60 |
| E01875 | 60 |
| E02792 | 60 |
| E03396 | 60 |
| E03417 | 60 |
| E01346 | 59 |
| E02713 | 59 |
| E02985 | 59 |
| E03587 | 59 |
| X01028 | 59 |
| E02021 | 58 |
| E03756 | 58 |
| E01087 | 57 |
| E01255 | 57 |
| E01320 | 57 |
| E01466 | 57 |
| E01486 | 57 |
| E02547 | 57 |
| E02821 | 57 |
| E03743 | 57 |
| X03609 | 57 |
| E00545 | 55 |
| E01349 | 55 |
| E02301 | 55 |
| E03846 | 55 |
| E00944 | 54 |
| E01356 | 54 |
| E01360 | 54 |
| E02107 | 54 |
| E02733 | 54 |
| E02936 | 54 |
| X03550 | 54 |
| E02806 | 53 |
| E03653 | 53 |
| E03720 | 53 |
| E02415 | 52 |
| E02663 | 52 |
| E03863 | 52 |
| E01510 | 51 |
| E01348 | 50 |
| E01528 | 50 |
| E02989 | 50 |
| E03030 | 50 |
| X02883 | 50 |
| E01342 | 49 |
| E02134 | 49 |
| E03084 | 49 |
| E03536 | 49 |
| E03787 | 49 |
| E01505 | 48 |
| E02481 | 48 |
| E03278 | 48 |
| E03613 | 48 |
| E03644 | 48 |
| E03729 | 48 |
| E03750 | 48 |
| E03797 | 48 |
| E03798 | 48 |
| E01341 | 47 |
| E01509 | 47 |
| E02813 | 47 |
| E03678 | 47 |
| E03778 | 47 |
| E03799 | 47 |
| E03810 | 47 |
| E01504 | 46 |
| E03811 | 46 |
| E03862 | 46 |
| E03883 | 46 |
| X01783 | 46 |
| E01553 | 45 |
| E01728 | 45 |
| E02287 | 45 |
| E02773 | 45 |
| E03761 | 45 |
| E03800 | 45 |
| E00683 | 44 |
| E01498 | 44 |
| E01518 | 44 |
| E01519 | 44 |
| E02551 | 44 |
| E02673 | 44 |
| E03505 | 44 |
| E03519 | 44 |
| E03673 | 44 |
| E03877 | 44 |
| E01520 | 43 |
| E01562 | 43 |
| E01633 | 43 |
| E02665 | 43 |
| E02834 | 43 |
| E03430 | 43 |
| E00416 | 42 |
| E00937 | 42 |
| E01488 | 42 |
| E01511 | 42 |
| E02612 | 42 |
| E02897 | 42 |
| E03112 | 42 |
| E01238 | 41 |
| E01323 | 41 |
| E01474 | 41 |
| E01522 | 41 |
| E01523 | 41 |
| E01524 | 41 |
| E01525 | 41 |
| E01527 | 41 |
| E02455 | 41 |
| E03142 | 41 |
| E03328 | 41 |
| E03669 | 41 |
| E03725 | 41 |
| E03880 | 41 |
| E01475 | 40 |
| E01561 | 40 |
| E01727 | 40 |
| E01734 | 40 |
| E02380 | 40 |
| E02769 | 40 |
| E03533 | 40 |
| E03672 | 40 |
| E03674 | 40 |
| X00814 | 40 |
| X01748 | 40 |
| E00483 | 39 |
| E00658 | 39 |
| E01471 | 39 |
| E02539 | 39 |
| E03671 | 39 |
| X01096 | 39 |
| E01322 | 38 |
| E01492 | 38 |
| E01656 | 38 |
| E03675 | 38 |
| E03698 | 38 |
| E03767 | 38 |
| E03865 | 38 |
| E00189 | 37 |
| E01317 | 37 |
| E01347 | 37 |
| E02921 | 37 |
| E03006 | 37 |
| E03071 | 37 |
| E03364 | 37 |
| E03574 | 37 |
| E03878 | 37 |
| E00382 | 36 |
| E02885 | 36 |
| E02914 | 36 |
| E03362 | 36 |
| E03694 | 36 |
| E03732 | 36 |
| E03802 | 36 |
| E03881 | 36 |
| X00233 | 36 |
| X01351 | 36 |
| X01373 | 36 |
| E02653 | 35 |
| E02679 | 35 |
| E02795 | 35 |
| E03118 | 35 |
| E03553 | 35 |
| E03792 | 35 |
| E03794 | 35 |
| E03831 | 35 |
| E03882 | 35 |
| X02871 | 35 |
| E00453 | 34 |
| E00510 | 34 |
| E02405 | 34 |
| E03687 | 34 |
| E03780 | 34 |
| E00214 | 33 |
| E01321 | 33 |
| E01654 | 33 |
| E01655 | 33 |
| E02397 | 33 |
| E03031 | 33 |
| E03190 | 33 |
| E03636 | 33 |
| E03718 | 33 |
| E03733 | 33 |
| E03847 | 33 |
| E03879 | 33 |
| E00452 | 32 |
| E00508 | 32 |
| E00911 | 32 |
| E01781 | 32 |
| E01908 | 32 |
| E02743 | 32 |
| E02857 | 32 |
| E03140 | 32 |
| E03213 | 32 |
| E03251 | 32 |
| E03477 | 32 |
| E03537 | 32 |
| E03581 | 32 |
| E03603 | 32 |
| E03614 | 32 |
| E03677 | 32 |
| E03714 | 32 |
| E03716 | 32 |
| E00187 | 31 |
| E00660 | 31 |
| E00930 | 31 |
| E01120 | 31 |
| E01394 | 31 |
| E01464 | 31 |
| E01547 | 31 |
| E01750 | 31 |
| E02175 | 31 |
| E02180 | 31 |
| E02232 | 31 |
| E02392 | 31 |
| E02553 | 31 |
| E02735 | 31 |
| E02893 | 31 |
| E03016 | 31 |
| E03334 | 31 |
| E03461 | 31 |
| E03475 | 31 |
| E03496 | 31 |
| E03562 | 31 |
| E03564 | 31 |
| E03604 | 31 |
| E03605 | 31 |
| E03679 | 31 |
| E03689 | 31 |
| E03709 | 31 |
| E03727 | 31 |
| E03752 | 31 |
| E03828 | 31 |
| X01032 | 31 |
| X01900 | 31 |
| X02858 | 31 |
| E00391 | 30 |
| E00609 | 30 |
| E00978 | 30 |
| E01246 | 30 |
| E01810 | 30 |
| E02370 | 30 |
| E02450 | 30 |
| E02469 | 30 |
| E02486 | 30 |
| E02532 | 30 |
| E02854 | 30 |
| E03228 | 30 |
| E03349 | 30 |
| E03418 | 30 |
| E03524 | 30 |
| E03535 | 30 |
| E03612 | 30 |
| E03639 | 30 |
| E03648 | 30 |
| E03686 | 30 |
| E03757 | 30 |
| E03860 | 30 |
| E03887 | 30 |
| X01312 | 30 |
| X01419 | 30 |
| X02584 | 30 |
| X03839 | 30 |
| E00373 | 29 |
| E00602 | 29 |
| E00611 | 29 |
| E00657 | 29 |
| E01242 | 29 |
| E01604 | 29 |
| E01605 | 29 |
| E01860 | 29 |
| E02241 | 29 |
| E02541 | 29 |
| E03026 | 29 |
| E03027 | 29 |
| E03424 | 29 |
| E03624 | 29 |
| E03695 | 29 |
| E03783 | 29 |
| E03835 | 29 |
| E00895 | 28 |
| E01506 | 28 |
| E02700 | 28 |
| E02852 | 28 |
| E02884 | 28 |
| E03097 | 28 |
| E03189 | 28 |
| E03204 | 28 |
| E03493 | 28 |
| E03728 | 28 |
| E03770 | 28 |
| E03804 | 28 |
| E03848 | 28 |
| X03771 | 28 |
| E00021 | 27 |
| E00028 | 27 |
| E00151 | 27 |
| E00269 | 27 |
| E00390 | 27 |
| E00597 | 27 |
| E00608 | 27 |
| E00612 | 27 |
| E00617 | 27 |
| E00636 | 27 |
| E00925 | 27 |
| E00929 | 27 |
| E00953 | 27 |
| E00956 | 27 |
| E01027 | 27 |
| E01084 | 27 |
| E01092 | 27 |
| E01106 | 27 |
| E01119 | 27 |
| E01240 | 27 |
| E01274 | 27 |
| E01607 | 27 |
| E01829 | 27 |
| E01917 | 27 |
| E01922 | 27 |
| E02011 | 27 |
| E02100 | 27 |
| E02176 | 27 |
| E02195 | 27 |
| E02211 | 27 |
| E02389 | 27 |
| E02607 | 27 |
| E02609 | 27 |
| E02699 | 27 |
| E02710 | 27 |
| E02714 | 27 |
| E02719 | 27 |
| E02726 | 27 |
| E02748 | 27 |
| E02750 | 27 |
| E02770 | 27 |
| E02780 | 27 |
| E02793 | 27 |
| E02797 | 27 |
| E02805 | 27 |
| E02810 | 27 |
| E02836 | 27 |
| E02904 | 27 |
| E02978 | 27 |
| E02990 | 27 |
| E02993 | 27 |
| E03004 | 27 |
| E03013 | 27 |
| E03020 | 27 |
| E03022 | 27 |
| E03023 | 27 |
| E03032 | 27 |
| E03054 | 27 |
| E03067 | 27 |
| E03070 | 27 |
| E03105 | 27 |
| E03110 | 27 |
| E03123 | 27 |
| E03128 | 27 |
| E03143 | 27 |
| E03159 | 27 |
| E03160 | 27 |
| E03173 | 27 |
| E03208 | 27 |
| E03211 | 27 |
| E03215 | 27 |
| E03219 | 27 |
| E03224 | 27 |
| E03234 | 27 |
| E03256 | 27 |
| E03273 | 27 |
| E03276 | 27 |
| E03291 | 27 |
| E03292 | 27 |
| E03297 | 27 |
| E03313 | 27 |
| E03324 | 27 |
| E03343 | 27 |
| E03346 | 27 |
| E03355 | 27 |
| E03376 | 27 |
| E03380 | 27 |
| E03401 | 27 |
| E03403 | 27 |
| E03410 | 27 |
| E03441 | 27 |
| E03522 | 27 |
| E03534 | 27 |
| E03546 | 27 |
| E03560 | 27 |
| E03569 | 27 |
| E03595 | 27 |
| E03611 | 27 |
| E03626 | 27 |
| E03627 | 27 |
| E03681 | 27 |
| E03682 | 27 |
| E03696 | 27 |
| E03701 | 27 |
| E03704 | 27 |
| E03715 | 27 |
| E03745 | 27 |
| E03751 | 27 |
| E03758 | 27 |
| E03763 | 27 |
| E03764 | 27 |
| E03772 | 27 |
| E03773 | 27 |
| E03779 | 27 |
| E03786 | 27 |
| E03788 | 27 |
| E03789 | 27 |
| E03793 | 27 |
| E03795 | 27 |
| E03806 | 27 |
| E03809 | 27 |
| E03822 | 27 |
| E03836 | 27 |
| E03837 | 27 |
| E03838 | 27 |
| E03841 | 27 |
| E03854 | 27 |
| E03875 | 27 |
| E03885 | 27 |
| E03886 | 27 |
| E03890 | 27 |
| E03892 | 27 |
| E03893 | 27 |
| E03894 | 27 |
| X00365 | 27 |
| X01843 | 27 |
| X03488 | 27 |
| X03531 | 27 |
| X03634 | 27 |
| X03849 | 27 |
| X03889 | 27 |
| E00638 | 26 |
| E03781 | 26 |
| X00615 | 26 |
| X03731 | 26 |
| E03774 | 25 |
| E03784 | 25 |
| E03617 | 24 |
| E03734 | 24 |
| E03844 | 24 |
| E01101 | 23 |
| E01216 | 23 |
| E01482 | 23 |
| E03196 | 23 |
| E03457 | 23 |
| E03721 | 23 |
| E02736 | 22 |
| E03525 | 22 |
| E03852 | 22 |
| X00808 | 22 |
| E03063 | 21 |
| E03139 | 21 |
| E03252 | 21 |
| E02594 | 20 |
| E02760 | 20 |
| E03500 | 20 |
| E03753 | 20 |
| E03754 | 20 |
| E03823 | 20 |
| X02757 | 20 |
| E03253 | 19 |
| E03873 | 19 |
| E02807 | 18 |
| E03036 | 18 |
| E03840 | 18 |
| E03412 | 17 |
| E03765 | 17 |
| E03791 | 17 |
| E00261 | 16 |
| E00651 | 16 |
| E02811 | 16 |
| E03629 | 16 |
| E03693 | 16 |
| X00807 | 16 |
| E01566 | 15 |
| E02519 | 15 |
| E03526 | 15 |
| E03607 | 15 |
| E03717 | 15 |
| E03759 | 15 |
| E02264 | 14 |
| E03808 | 14 |
| E03813 | 14 |
| E03814 | 14 |
| E03815 | 14 |
| E03816 | 14 |
| E03600 | 13 |
| E03719 | 13 |
| E03762 | 13 |
| E03855 | 13 |
| E02747 | 12 |
| E03688 | 12 |
| E03817 | 12 |
| E03661 | 11 |
| E03703 | 11 |
| E03769 | 11 |
| E03796 | 11 |
| E01499 | 10 |
| E03663 | 10 |
| E03702 | 10 |
| E03742 | 10 |
| E03602 | 9 |
| E03654 | 9 |
| E03738 | 9 |
| E03037 | 8 |
| E03298 | 8 |
| E03876 | 8 |
| E02561 | 7 |
| E03378 | 7 |
| E03431 | 7 |
| E03452 | 6 |
| X02147 | 6 |
| E03499 | 5 |
Sur l’ensemble des groupes
[1] "Il y a 1121 groupes et sous-groupes dans la population"
[1] "Il y a 660 groupes dans la population"
Liste des groupes et sous-groupes sans sièges
| ID_GROUP | mission | is_sbg | policy_areas | scope | name | active_since | tasks | abbreviation | id | lead_dg | typesForm | typesTemp | status | last_updated | associated_dgs | meetings_nb | ID_SEATS | TYPE_SEAT |
|---|---|---|---|---|---|---|---|---|---|---|---|---|---|---|---|---|---|---|
| E01302_1 | To advice the Commission on issue related to Cosmetic Products ingredients To establish close cooperation and exchange of information between MS, Commission and Stakeholders | True | Consumer affairs#Enterprise#Public Health | Limited | WG COS - CPNP-CosIng | 20-01-2006 | Assist the Commission in the preparation of legislative proposals and policy initiatives#Coordinate with Member States, exchange of views#Provides expertise to the Commission when preparing implementing measures, i.e. before the Commission submits these draft measures to a comitology committee | E01302 | DG Internal Market, Industry, Entrepreneurship and SMEs | Informal | Permanent | ACTIVE | 18-02-2023 | 0 | NA | NA | ||
| E01329_1 | To assist the Commission in issues related to the Construction Products Regulation, including for the preparation of Delegated Acts. | True | Enterprise | Limited | SUBGROUP ON FIRE | 27-09-2005 | Assist the Commission in the preparation of delegated acts#Coordinate with Member States, exchange of views | AGCP | E01329 | DG Internal Market, Industry, Entrepreneurship and SMEs | Informal | Permanent | ACTIVE | 01-03-2023 | 0 | NA | NA | |
| E01346_0 | Develop cooperation between the Member States and the European Commission on issues relation to engine emissions intended for use in non-road mobile machinery (Regulation (EU)2016/1628). | True | Enterprise#Internal Market | Limited | Member States Expert Group on Non Road Mobile Machinery | 13-02-2006 | Assist the Commission in the preparation of delegated acts#Assist the Commission in the preparation of legislative proposals and policy initiatives | GEME | E01346 | DG Internal Market, Industry, Entrepreneurship and SMEs | Informal | Permanent | ACTIVE | 27-02-2023 | DG Environment | 0 | NA | NA |
| E01521_1 | to advise the Commission on issues relating to the concerned area/to establish close cooperation between the statistical institutions of the Member States and the Commission/to facilitate the exchange of information, experiences and good practices | True | Statistics | Limited | DGAS Partnership Group | 03-10-2005 | Assist the Commission in the preparation of legislative proposals and policy initiatives#Coordinate with Member States, exchange of views | E01521 | Eurostat | Informal | Permanent | ACTIVE | 09-03-2023 | 0 | NA | NA | ||
| E01732_0 | To advise the Commission on issues relating to the concerned area/to establish close cooperation between the statistical institutions of the Member States and the Commission/to facilitate the exchange of information, experiences and good practices | True | Statistics | Limited | Task force on ecosystem accounting | 13-12-2005 | Assist the Commission in the preparation of legislative proposals and policy initiatives#Coordinate with Member States, exchange of views | E01732 | Eurostat | Informal | Permanent | ACTIVE | 22-12-2022 | 0 | NA | NA | ||
| E02264_0 | The Committee provides opinions on health and safety risks (chemical, biological, mechanical and other physical risks) of non-food consumer products (e.g. cosmetic products and their ingredients, toys, textiles, clothing, personal care and household products) and services (e.g. tattooing, artificial sun tanning). | True | Consumer affairs#Public Health | Limited | Expert group on Cosmetic ingredients | 10-02-2009 | Assist the Commission in the preparation of legislative proposals and policy initiatives | SCCS | E02264 | DG Health and Food Safety | Formal | Permanent | ACTIVE | 16-01-2023 | 0 | NA | NA | |
| E02264_1 | The Committee provides opinions on health and safety risks (chemical, biological, mechanical and other physical risks) of non-food consumer products (e.g. cosmetic products and their ingredients, toys, textiles, clothing, personal care and household products) and services (e.g. tattooing, artificial sun tanning). | True | Consumer affairs#Public Health | Limited | Expert group on Methodologies | 10-02-2009 | Assist the Commission in the preparation of legislative proposals and policy initiatives | SCCS | E02264 | DG Health and Food Safety | Formal | Permanent | ACTIVE | 16-01-2023 | 0 | NA | NA | |
| E02264_2 | The Committee provides opinions on health and safety risks (chemical, biological, mechanical and other physical risks) of non-food consumer products (e.g. cosmetic products and their ingredients, toys, textiles, clothing, personal care and household products) and services (e.g. tattooing, artificial sun tanning). | True | Consumer affairs#Public Health | Limited | Expert group on Nanomaterials | 10-02-2009 | Assist the Commission in the preparation of legislative proposals and policy initiatives | SCCS | E02264 | DG Health and Food Safety | Formal | Permanent | ACTIVE | 16-01-2023 | 0 | NA | NA | |
| E02264_3 | The Committee provides opinions on health and safety risks (chemical, biological, mechanical and other physical risks) of non-food consumer products (e.g. cosmetic products and their ingredients, toys, textiles, clothing, personal care and household products) and services (e.g. tattooing, artificial sun tanning). | True | Consumer affairs#Public Health | Limited | ICCG | 10-02-2009 | Assist the Commission in the preparation of legislative proposals and policy initiatives | SCCS | E02264 | DG Health and Food Safety | Formal | Permanent | ACTIVE | 16-01-2023 | 0 | NA | NA | |
| E02666_1 | The mission of the EU SME Envoy, who chairs the Network, and the Network of SME Envoys is to ensure the implementation effort of the SME Strategy, in particular by contributing to the work of the Single Market Enforcement Task Force. The EU SME Enovy will fulfill this mission furthermore through a regular dialogue with the Regulatory Scrutiny Board, by filtering EU initiatives, in collaboration with SME stakeholders, to signal to the Commission those that merit close attention from an SME perspective, by contributing to the work of the Fit for Future platform and work with regional bodies and authorities; by continuing to accompany the implementation of the Small Business Act for Europe (SBA) and its Review by the Member States where appropriate; by accompanying the implementation of the Start- and Scale-up Initiative (SUI); by presenting to the European Commission progress at national level by fostering an exchange of best practices in SME policy implementation; by the discussion of future initiatives and key deliverables in SME policy at EU and Member State level. Meetings are held regularly with representatives of EU SME business organisations, to enable an improved dialogue between stakeholders and to benefit from input from the business community into the governance process. | True | Enterprise#Internal Market#other (SME Policy) | Limited | Working Group on Economic Performance | 06-07-2011 | Assist the Commission in relation to the implementation of existing Union legislation, programmes and policies#Assist the Commission in the preparation of legislative proposals and policy initiatives#Coordinate with Member States, exchange of views | E02666 | DG Internal Market, Industry, Entrepreneurship and SMEs | Informal | Permanent | ACTIVE | 07-03-2023 | 0 | NA | NA | ||
| E02673_0 | To advise the Commission on issues relating to the concerned area/to establish close cooperation between the statistical institutions of the Member States and the Commission/to facilitate the exchange of information, experiences and good practices | True | Statistics | Limited | TF on Allocation of road transport to NACE/HH | 08-07-2011 | Assist the Commission in the preparation of legislative proposals and policy initiatives#Coordinate with Member States, exchange of views | E02673 | Eurostat | Informal | Permanent | ACTIVE | 24-11-2022 | 0 | NA | NA | ||
| E02679_0 | The EXPP is established to advise the Commission on its policy on public procurement. It is composed of government representatives from all EU MS. Representatives come from a range of government bodies, including ministries of economy or finance, public procurement agencies, competition authorities, etc. The Group's task is to assist the Commission in the definition and development of the public procurement policy for the Internal Market, including its international dimension. It complements the Advisory Committee for Public Contracts, the comitology body in this policy field. | True | Internal Market | Limited | Subgroup on Health Public Procurement (HPP) | 06-09-2011 | Assist the Commission in relation to the implementation of existing Union legislation, programmes and policies#Assist the Commission in the preparation of delegated acts#Assist the Commission in the preparation of legislative proposals and policy initiatives#Coordinate with Member States, exchange of views | EXPP | E02679 | DG Internal Market, Industry, Entrepreneurship and SMEs | Informal | Permanent | ACTIVE | 01-12-2022 | 0 | NA | NA | |
| E02730_1 | 1. To provide advice and expertise to the Commission in relation to Agricultural market related matters, in particular those covered by the single CMO Regulation. 2. In that context, to assist the Commission in the preparation of delegated acts. | True | Agriculture | Broad | Subgroup arable crops and olive oil | 15-12-2011 | Assist the Commission in relation to the implementation of existing Union legislation, programmes and policies#Assist the Commission in the preparation of delegated acts#Assist the Commission in the preparation of legislative proposals and policy initiatives#Coordinate with Member States, exchange of views#Provides expertise to the Commission when preparing implementing measures, i.e. before the Commission submits these draft measures to a comitology committee | Expert Group for Agricultural Markets | E02730 | DG Agriculture and Rural Development | Informal | Permanent | ACTIVE | 09-03-2023 | 11 | NA | NA | |
| E02730_2 | 1. To provide advice and expertise to the Commission in relation to Agricultural market related matters, in particular those covered by the single CMO Regulation. 2. In that context, to assist the Commission in the preparation of delegated acts. | True | Agriculture | Broad | Subgroup beef carcase classification | 15-12-2011 | Assist the Commission in relation to the implementation of existing Union legislation, programmes and policies#Assist the Commission in the preparation of delegated acts#Assist the Commission in the preparation of legislative proposals and policy initiatives#Coordinate with Member States, exchange of views#Provides expertise to the Commission when preparing implementing measures, i.e. before the Commission submits these draft measures to a comitology committee | Expert Group for Agricultural Markets | E02730 | DG Agriculture and Rural Development | Informal | Permanent | ACTIVE | 09-03-2023 | 2 | NA | NA | |
| E02730_4 | 1. To provide advice and expertise to the Commission in relation to Agricultural market related matters, in particular those covered by the single CMO Regulation. 2. In that context, to assist the Commission in the preparation of delegated acts. | True | Agriculture | Broad | Subgroup olive oil chemists | 15-12-2011 | Assist the Commission in relation to the implementation of existing Union legislation, programmes and policies#Assist the Commission in the preparation of delegated acts#Assist the Commission in the preparation of legislative proposals and policy initiatives#Coordinate with Member States, exchange of views#Provides expertise to the Commission when preparing implementing measures, i.e. before the Commission submits these draft measures to a comitology committee | Expert Group for Agricultural Markets | E02730 | DG Agriculture and Rural Development | Informal | Permanent | ACTIVE | 09-03-2023 | 7 | NA | NA | |
| E02730_5 | 1. To provide advice and expertise to the Commission in relation to Agricultural market related matters, in particular those covered by the single CMO Regulation. 2. In that context, to assist the Commission in the preparation of delegated acts. | True | Agriculture | Broad | Subgroup pig carcase classification | 15-12-2011 | Assist the Commission in relation to the implementation of existing Union legislation, programmes and policies#Assist the Commission in the preparation of delegated acts#Assist the Commission in the preparation of legislative proposals and policy initiatives#Coordinate with Member States, exchange of views#Provides expertise to the Commission when preparing implementing measures, i.e. before the Commission submits these draft measures to a comitology committee | Expert Group for Agricultural Markets | E02730 | DG Agriculture and Rural Development | Informal | Permanent | ACTIVE | 09-03-2023 | 2 | NA | NA | |
| E02730_6 | 1. To provide advice and expertise to the Commission in relation to Agricultural market related matters, in particular those covered by the single CMO Regulation. 2. In that context, to assist the Commission in the preparation of delegated acts. | True | Agriculture | Broad | Subgroup spirit drinks | 15-12-2011 | Assist the Commission in relation to the implementation of existing Union legislation, programmes and policies#Assist the Commission in the preparation of delegated acts#Assist the Commission in the preparation of legislative proposals and policy initiatives#Coordinate with Member States, exchange of views#Provides expertise to the Commission when preparing implementing measures, i.e. before the Commission submits these draft measures to a comitology committee | Expert Group for Agricultural Markets | E02730 | DG Agriculture and Rural Development | Informal | Permanent | ACTIVE | 09-03-2023 | 2 | NA | NA | |
| E02730_7 | 1. To provide advice and expertise to the Commission in relation to Agricultural market related matters, in particular those covered by the single CMO Regulation. 2. In that context, to assist the Commission in the preparation of delegated acts. | True | Agriculture | Broad | Subgroup wine | 15-12-2011 | Assist the Commission in relation to the implementation of existing Union legislation, programmes and policies#Assist the Commission in the preparation of delegated acts#Assist the Commission in the preparation of legislative proposals and policy initiatives#Coordinate with Member States, exchange of views#Provides expertise to the Commission when preparing implementing measures, i.e. before the Commission submits these draft measures to a comitology committee | Expert Group for Agricultural Markets | E02730 | DG Agriculture and Rural Development | Informal | Permanent | ACTIVE | 09-03-2023 | 11 | NA | NA | |
| E02750_0 | Expert group to assist the Commission in the implementation of the (DCF) Data Collection Framework concerning the collection, management and use of data in the fisheries sector and support for scientific advice regarding the Common Fisheries Policy. | True | other (Data collection in the fisheries sector) | Broad | Coordination and strengthening regional cooperation (Liaison meeting)) | 24-02-2012 | Assist the Commission in relation to the implementation of existing Union legislation, programmes and policies#Assist the Commission in the preparation of delegated acts#Assist the Commission in the preparation of legislative proposals and policy initiatives#Coordinate with Member States, exchange of views#other (•Coordinates and shares information with Member State representatives in the implementation of DCF; with experts on social and economic data for fisheries, aquaculture and the processing industry; with experts on regional coordination of biological data collection, management and use under the DCF; •Provides advice to the Commission in relation to specific issues linked to the implementation of DCF.)#Provides expertise to the Commission when preparing implementing measures, i.e. before the Commission submits these draft measures to a comitology committee | E02750 | DG Maritime Affairs and Fisheries | Informal | Temporary | ACTIVE | 06-03-2023 | 3 | NA | NA | ||
| E02750_1 | Expert group to assist the Commission in the implementation of the (DCF) Data Collection Framework concerning the collection, management and use of data in the fisheries sector and support for scientific advice regarding the Common Fisheries Policy. | True | other (Data collection in the fisheries sector) | Broad | Coordination of DCF implementation by Member States (National Correspondents' meeting) | 24-02-2012 | Assist the Commission in relation to the implementation of existing Union legislation, programmes and policies#Assist the Commission in the preparation of delegated acts#Assist the Commission in the preparation of legislative proposals and policy initiatives#Coordinate with Member States, exchange of views#other (•Coordinates and shares information with Member State representatives in the implementation of DCF; with experts on social and economic data for fisheries, aquaculture and the processing industry; with experts on regional coordination of biological data collection, management and use under the DCF; •Provides advice to the Commission in relation to specific issues linked to the implementation of DCF.)#Provides expertise to the Commission when preparing implementing measures, i.e. before the Commission submits these draft measures to a comitology committee | E02750 | DG Maritime Affairs and Fisheries | Informal | Temporary | ACTIVE | 06-03-2023 | 12 | NA | NA | ||
| E02750_2 | Expert group to assist the Commission in the implementation of the (DCF) Data Collection Framework concerning the collection, management and use of data in the fisheries sector and support for scientific advice regarding the Common Fisheries Policy. | True | other (Data collection in the fisheries sector) | Broad | Coordination of socio-economic data collection on fisheries processing industry and aquaculture (PGECON) | 24-02-2012 | Assist the Commission in relation to the implementation of existing Union legislation, programmes and policies#Assist the Commission in the preparation of delegated acts#Assist the Commission in the preparation of legislative proposals and policy initiatives#Coordinate with Member States, exchange of views#other (•Coordinates and shares information with Member State representatives in the implementation of DCF; with experts on social and economic data for fisheries, aquaculture and the processing industry; with experts on regional coordination of biological data collection, management and use under the DCF; •Provides advice to the Commission in relation to specific issues linked to the implementation of DCF.)#Provides expertise to the Commission when preparing implementing measures, i.e. before the Commission submits these draft measures to a comitology committee | E02750 | DG Maritime Affairs and Fisheries | Informal | Temporary | ACTIVE | 06-03-2023 | 2 | NA | NA | ||
| E02750_3 | Expert group to assist the Commission in the implementation of the (DCF) Data Collection Framework concerning the collection, management and use of data in the fisheries sector and support for scientific advice regarding the Common Fisheries Policy. | True | other (Data collection in the fisheries sector) | Broad | Data storage, exchange and dissemination (IT development) | 24-02-2012 | Assist the Commission in relation to the implementation of existing Union legislation, programmes and policies#Assist the Commission in the preparation of delegated acts#Assist the Commission in the preparation of legislative proposals and policy initiatives#Coordinate with Member States, exchange of views#other (•Coordinates and shares information with Member State representatives in the implementation of DCF; with experts on social and economic data for fisheries, aquaculture and the processing industry; with experts on regional coordination of biological data collection, management and use under the DCF; •Provides advice to the Commission in relation to specific issues linked to the implementation of DCF.)#Provides expertise to the Commission when preparing implementing measures, i.e. before the Commission submits these draft measures to a comitology committee | E02750 | DG Maritime Affairs and Fisheries | Informal | Temporary | ACTIVE | 06-03-2023 | 0 | NA | NA | ||
| E02795_0 | To support the implementation of Regulation (EU) 2019/631 (CO2 emission standards for cars and vans), Regulation (EU) 2019/1242 (CO2 emission standards for heavy-duty vehicles) and Regulation (EU) 2018/956 (Heavy-duty vehicles CO2 monitoring and reporting Regulation) and further policy development concerning the reduction of CO2 emissions from road vehicles. The expert group is also foreseen to be consulted in connection with delegated acts pursuant to these regulations. | True | Climate | Limited | Sub-group on Eco-innovations under the Commissison Expert Group for CO2 Emissions from Road Vehicles | 15-06-2012 | Assist the Commission in relation to the implementation of existing Union legislation, programmes and policies#Assist the Commission in the preparation of delegated acts#Coordinate with Member States, exchange of views#Provides expertise to the Commission when preparing implementing measures, i.e. before the Commission submits these draft measures to a comitology committee | CO2 from road vehicles | E02795 | DG Climate Action | Informal | Permanent | ACTIVE | 07-03-2023 | 6 | NA | NA | |
| E02852_0 | The overall objective of the Platform will be to improve the quality and efficiency of EU development and external cooperation blending mechanisms, taking due account of the policy frameworks that govern the EU relations with the different partner countries, notably EU Development, Neighbourhood and Enlargement policies. This includes promoting cooperation and coordination between the EU, EIB and other relevant financial institutions (Fis) and other stakeholders, thereby increasing the impact and visibility of EU external cooperation. As for scope, the Platform should deal with all regions of the world where the EU is engaged in external cooperation and development. The Platform should have an advisory role only, aiming to provide guidance and recommendations for the harmonisation of key principles regarding blending activities whilst allowing for differentiation by sectors and regions. The Platform should focus on sectors where financial instruments can be most usefully deployed, within and across geographical regions. The Platform should also help to strengthen coherence of blending activities with EU policies. The Platform should analyse and provide guidance on sectoral issues having a cross-regional dimension and on the development of innovative financial instruments in the external field. The guiding principle would be to focus on EU policy priorities where value added and impact are highest, including in areas of market failure. The Platform should also provide guidance on how to ensure sufficient flexibility in diverse situations such as working with private sector in development, or addressing global challenges such as climate change and economic crises. | True | Development#Economic and Monetary Affairs#Enlargement#External Relations | Broad | Technical Groups-to be defined (title, tasks and composition) by the Policy Group at its first meeting | 04-12-2012 | Assist the Commission in the preparation of legislative proposals and policy initiatives#Coordinate with Member States, exchange of views | EUBEC | E02852 | DG International Partnerships | Informal | Permanent | ACTIVE | 08-06-2022 | DG Neighbourhood and Enlargement Negotiations | 0 | NA | NA |
| E02869_0 | The ESSF should provide a platform for a structural dialogue, exchange of technical knowledge, cooperation, and coordination amongst relevant maritime industries' stakholders and the Commission and its services to better address the environmental sustainability challenges confronting the EU maritime transport sector. | True | Transport | Broad | Air Emissions from Ships | 01-10-2013 | Assist the Commission in the preparation of delegated acts#Assist the Commission in the preparation of legislative proposals and policy initiatives#Coordinate with Member States, exchange of views#Provides expertise to the Commission when preparing implementing measures, i.e. before the Commission submits these draft measures to a comitology committee | ESSF | E02869 | DG Mobility and Transport | Formal | Temporary | ACTIVE | 28-02-2023 | ['DG Climate Action', 'DG Environment'] | 4 | NA | NA |
| E02869_1 | The ESSF should provide a platform for a structural dialogue, exchange of technical knowledge, cooperation, and coordination amongst relevant maritime industries' stakholders and the Commission and its services to better address the environmental sustainability challenges confronting the EU maritime transport sector. | True | Transport | Broad | Ship Energy Efficiency | 01-10-2013 | Assist the Commission in the preparation of delegated acts#Assist the Commission in the preparation of legislative proposals and policy initiatives#Coordinate with Member States, exchange of views#Provides expertise to the Commission when preparing implementing measures, i.e. before the Commission submits these draft measures to a comitology committee | ESSF | E02869 | DG Mobility and Transport | Formal | Temporary | ACTIVE | 28-02-2023 | ['DG Climate Action', 'DG Environment'] | 9 | NA | NA |
| E02869_2 | The ESSF should provide a platform for a structural dialogue, exchange of technical knowledge, cooperation, and coordination amongst relevant maritime industries' stakholders and the Commission and its services to better address the environmental sustainability challenges confronting the EU maritime transport sector. | True | Transport | Broad | Sustainable Alternative Power for Shipping- Mid- to Long-Term Solutions for Maritime GHG Emissions Reductions | 01-10-2013 | Assist the Commission in the preparation of delegated acts#Assist the Commission in the preparation of legislative proposals and policy initiatives#Coordinate with Member States, exchange of views#Provides expertise to the Commission when preparing implementing measures, i.e. before the Commission submits these draft measures to a comitology committee | ESSF | E02869 | DG Mobility and Transport | Formal | Temporary | ACTIVE | 28-02-2023 | ['DG Climate Action', 'DG Environment'] | 5 | NA | NA |
| E02869_3 | The ESSF should provide a platform for a structural dialogue, exchange of technical knowledge, cooperation, and coordination amongst relevant maritime industries' stakholders and the Commission and its services to better address the environmental sustainability challenges confronting the EU maritime transport sector. | True | Transport | Broad | Waste from Ships(Port Reception Facilities & Ship-Source Pollution ) | 01-10-2013 | Assist the Commission in the preparation of delegated acts#Assist the Commission in the preparation of legislative proposals and policy initiatives#Coordinate with Member States, exchange of views#Provides expertise to the Commission when preparing implementing measures, i.e. before the Commission submits these draft measures to a comitology committee | ESSF | E02869 | DG Mobility and Transport | Formal | Temporary | ACTIVE | 28-02-2023 | ['DG Climate Action', 'DG Environment'] | 6 | NA | NA |
| E03006_0 | The European Regulators Group for Audiovisual Media Services (ERGA) brings together heads or high level representatives of national independent regulatory bodies in the field of audiovisual services, to advise the European Commission on the implementation of the EU’s Audiovisual Media Services Directive (AVMSD). On 3 February 2014, the Commission adopted a Decision establishing ERGA and setting the objectives for the Group: to advise and assist the Commission in its work, to ensure a consistent implementation of the AVMSD as well as in any other matters related to audiovisual media services within the Commission’s competence; to facilitate cooperation between the regulatory bodies in the EU, as provided for in the directive regulating audiovisual media services; to allow for an exchange of experience and good practices. As set out in Article 30b(3) of the Audiovisual Media Services Directive (AVMSD), ERGA shall have the following tasks: (a) to provide technical expertise to the Commission: — in its task to ensure a consistent implementation of the AVMSD in all Member States, — on matters related to audiovisual media services within its competence; (b) to exchange experience and best practices on the application of the regulatory framework for audiovisual media services, including on accessibility and media literacy; (c) to cooperate and provide its members with the information necessary for the application of the AVMSD, in particular as regards Articles 3, 4 and 7; (d) to give opinions, when requested by the Commission, on the technical and factual aspects of the issues pursuant to Article 2(5c), Article 3(2) and (3), point (c) of Article 4(4) and Article 28a(7) of the AVMSD. | True | Audiovisual | Limited | Action Group 1 - Implementation of the Memorandum of Understanding (MoU) | 26-02-2014 | Assist the Commission in relation to the implementation of existing Union legislation, programmes and policies#Assist the Commission in the preparation of legislative proposals and policy initiatives#Coordinate with Member States, exchange of views#other (Monitors the development of national policies and the enforcement of EU legislation by national authorities) | E03006 | DG Communications Networks, Content and Technology | Formal | Permanent | ACTIVE | 30-06-2022 | 0 | NA | NA | ||
| E03006_1 | The European Regulators Group for Audiovisual Media Services (ERGA) brings together heads or high level representatives of national independent regulatory bodies in the field of audiovisual services, to advise the European Commission on the implementation of the EU’s Audiovisual Media Services Directive (AVMSD). On 3 February 2014, the Commission adopted a Decision establishing ERGA and setting the objectives for the Group: to advise and assist the Commission in its work, to ensure a consistent implementation of the AVMSD as well as in any other matters related to audiovisual media services within the Commission’s competence; to facilitate cooperation between the regulatory bodies in the EU, as provided for in the directive regulating audiovisual media services; to allow for an exchange of experience and good practices. As set out in Article 30b(3) of the Audiovisual Media Services Directive (AVMSD), ERGA shall have the following tasks: (a) to provide technical expertise to the Commission: — in its task to ensure a consistent implementation of the AVMSD in all Member States, — on matters related to audiovisual media services within its competence; (b) to exchange experience and best practices on the application of the regulatory framework for audiovisual media services, including on accessibility and media literacy; (c) to cooperate and provide its members with the information necessary for the application of the AVMSD, in particular as regards Articles 3, 4 and 7; (d) to give opinions, when requested by the Commission, on the technical and factual aspects of the issues pursuant to Article 2(5c), Article 3(2) and (3), point (c) of Article 4(4) and Article 28a(7) of the AVMSD. | True | Audiovisual | Limited | Subgroup 1 - Consistent implementation and enforcement of the AVMSD framework | 26-02-2014 | Assist the Commission in relation to the implementation of existing Union legislation, programmes and policies#Assist the Commission in the preparation of legislative proposals and policy initiatives#Coordinate with Member States, exchange of views#other (Monitors the development of national policies and the enforcement of EU legislation by national authorities) | E03006 | DG Communications Networks, Content and Technology | Formal | Permanent | ACTIVE | 30-06-2022 | 0 | NA | NA | ||
| E03006_2 | The European Regulators Group for Audiovisual Media Services (ERGA) brings together heads or high level representatives of national independent regulatory bodies in the field of audiovisual services, to advise the European Commission on the implementation of the EU’s Audiovisual Media Services Directive (AVMSD). On 3 February 2014, the Commission adopted a Decision establishing ERGA and setting the objectives for the Group: to advise and assist the Commission in its work, to ensure a consistent implementation of the AVMSD as well as in any other matters related to audiovisual media services within the Commission’s competence; to facilitate cooperation between the regulatory bodies in the EU, as provided for in the directive regulating audiovisual media services; to allow for an exchange of experience and good practices. As set out in Article 30b(3) of the Audiovisual Media Services Directive (AVMSD), ERGA shall have the following tasks: (a) to provide technical expertise to the Commission: — in its task to ensure a consistent implementation of the AVMSD in all Member States, — on matters related to audiovisual media services within its competence; (b) to exchange experience and best practices on the application of the regulatory framework for audiovisual media services, including on accessibility and media literacy; (c) to cooperate and provide its members with the information necessary for the application of the AVMSD, in particular as regards Articles 3, 4 and 7; (d) to give opinions, when requested by the Commission, on the technical and factual aspects of the issues pursuant to Article 2(5c), Article 3(2) and (3), point (c) of Article 4(4) and Article 28a(7) of the AVMSD. | True | Audiovisual | Limited | Subgroup 2 - Completion of the EU regulatory framework relevant for media | 26-02-2014 | Assist the Commission in relation to the implementation of existing Union legislation, programmes and policies#Assist the Commission in the preparation of legislative proposals and policy initiatives#Coordinate with Member States, exchange of views#other (Monitors the development of national policies and the enforcement of EU legislation by national authorities) | E03006 | DG Communications Networks, Content and Technology | Formal | Permanent | ACTIVE | 30-06-2022 | 0 | NA | NA | ||
| E03006_3 | The European Regulators Group for Audiovisual Media Services (ERGA) brings together heads or high level representatives of national independent regulatory bodies in the field of audiovisual services, to advise the European Commission on the implementation of the EU’s Audiovisual Media Services Directive (AVMSD). On 3 February 2014, the Commission adopted a Decision establishing ERGA and setting the objectives for the Group: to advise and assist the Commission in its work, to ensure a consistent implementation of the AVMSD as well as in any other matters related to audiovisual media services within the Commission’s competence; to facilitate cooperation between the regulatory bodies in the EU, as provided for in the directive regulating audiovisual media services; to allow for an exchange of experience and good practices. As set out in Article 30b(3) of the Audiovisual Media Services Directive (AVMSD), ERGA shall have the following tasks: (a) to provide technical expertise to the Commission: — in its task to ensure a consistent implementation of the AVMSD in all Member States, — on matters related to audiovisual media services within its competence; (b) to exchange experience and best practices on the application of the regulatory framework for audiovisual media services, including on accessibility and media literacy; (c) to cooperate and provide its members with the information necessary for the application of the AVMSD, in particular as regards Articles 3, 4 and 7; (d) to give opinions, when requested by the Commission, on the technical and factual aspects of the issues pursuant to Article 2(5c), Article 3(2) and (3), point (c) of Article 4(4) and Article 28a(7) of the AVMSD. | True | Audiovisual | Limited | Subgroup 3 - Countering disinformation and strengthening democracy in the digital environment | 26-02-2014 | Assist the Commission in relation to the implementation of existing Union legislation, programmes and policies#Assist the Commission in the preparation of legislative proposals and policy initiatives#Coordinate with Member States, exchange of views#other (Monitors the development of national policies and the enforcement of EU legislation by national authorities) | E03006 | DG Communications Networks, Content and Technology | Formal | Permanent | ACTIVE | 30-06-2022 | 0 | NA | NA | ||
| E03026_0 | To advise the Commission on issues relating to the preparation, implementation and reporting on Multi Annual National Control Plans for official controls performed to ensure the verification of compliance with food and feed law, rules on animal health and welfare, plant health and plant protection products (Regulation (EU) 2017/625).To facilitate the exchange of information, experience and good practice in this area. | True | Development | Limited | Verification of Effectiveness of Official Controls | 13-05-2014 | Coordinate with Member States, exchange of views | MANCP | E03026 | DG Health and Food Safety | Informal | Permanent | ACTIVE | 02-02-2023 | 0 | NA | NA | |
| E03118_0 | Expert Group on the application of the legislation on access for Community air carriers to intra-Community air routes | True | Transport | Limited | Sub-group on social matters related to aircrews | 26-05-2014 | Assist the Commission in the preparation of delegated acts#Assist the Commission in the preparation of legislative proposals and policy initiatives#Coordinate with Member States, exchange of views#Provides expertise to the Commission when preparing implementing measures, i.e. before the Commission submits these draft measures to a comitology committee | E03118 | DG Mobility and Transport | Informal | Permanent | ACTIVE | 30-09-2022 | 0 | NA | NA | ||
| E03280_0 | The Forum shall assist the Commission in implementing the Union's activities and programmes aimed at fostering more efficient exchange of electronic information in transport and logistics, with the objective of removing technical, operational and administrative barriers between and within transport modes. The Forum shall provide a platform for structural dialogue, exchange of technical knowledge, cooperation, and coordination between the Commission, Member States, and relevant transport and logistics stakeholders. | True | Transport | Limited | DLTF II SG I | 04-05-2015 | Assist the Commission in relation to the implementation of existing Union legislation, programmes and policies#Assist the Commission in the preparation of delegated acts#Assist the Commission in the preparation of legislative proposals and policy initiatives#Coordinate with Member States, exchange of views#other (Task of the group is to provide advice and technical expertise to the Commission and its services in relation to the preparation of legislative proposals and policy initiatives in the field of digital transport and logistics, as well as in their implementation. This includes in particular coordination and cooperation with Member States and stakeholders.)#Provides expertise to the Commission when preparing implementing measures, i.e. before the Commission submits these draft measures to a comitology committee | DTLF | E03280 | DG Mobility and Transport | Formal | Permanent | ACTIVE | 28-02-2023 | 0 | NA | NA | |
| E03280_1 | The Forum shall assist the Commission in implementing the Union's activities and programmes aimed at fostering more efficient exchange of electronic information in transport and logistics, with the objective of removing technical, operational and administrative barriers between and within transport modes. The Forum shall provide a platform for structural dialogue, exchange of technical knowledge, cooperation, and coordination between the Commission, Member States, and relevant transport and logistics stakeholders. | True | Transport | Limited | DTLF II SG II | 04-05-2015 | Assist the Commission in relation to the implementation of existing Union legislation, programmes and policies#Assist the Commission in the preparation of delegated acts#Assist the Commission in the preparation of legislative proposals and policy initiatives#Coordinate with Member States, exchange of views#other (Task of the group is to provide advice and technical expertise to the Commission and its services in relation to the preparation of legislative proposals and policy initiatives in the field of digital transport and logistics, as well as in their implementation. This includes in particular coordination and cooperation with Member States and stakeholders.)#Provides expertise to the Commission when preparing implementing measures, i.e. before the Commission submits these draft measures to a comitology committee | DTLF | E03280 | DG Mobility and Transport | Formal | Permanent | ACTIVE | 28-02-2023 | 0 | NA | NA | |
| E03280_2 | The Forum shall assist the Commission in implementing the Union's activities and programmes aimed at fostering more efficient exchange of electronic information in transport and logistics, with the objective of removing technical, operational and administrative barriers between and within transport modes. The Forum shall provide a platform for structural dialogue, exchange of technical knowledge, cooperation, and coordination between the Commission, Member States, and relevant transport and logistics stakeholders. | True | Transport | Limited | DTLF II SG III | 04-05-2015 | Assist the Commission in relation to the implementation of existing Union legislation, programmes and policies#Assist the Commission in the preparation of delegated acts#Assist the Commission in the preparation of legislative proposals and policy initiatives#Coordinate with Member States, exchange of views#other (Task of the group is to provide advice and technical expertise to the Commission and its services in relation to the preparation of legislative proposals and policy initiatives in the field of digital transport and logistics, as well as in their implementation. This includes in particular coordination and cooperation with Member States and stakeholders.)#Provides expertise to the Commission when preparing implementing measures, i.e. before the Commission submits these draft measures to a comitology committee | DTLF | E03280 | DG Mobility and Transport | Formal | Permanent | ACTIVE | 28-02-2023 | 0 | NA | NA | |
| E03321_0 | Help the Commission to advance the application of the Clean Power for Transport strategy and facilitate the implementation of Directive 2014/94/EU | True | Transport | Limited | Sub-group on a common data approach for electric mobility and other alternative fuels | 01-07-2015 | Assist the Commission in relation to the implementation of existing Union legislation, programmes and policies#Assist the Commission in the preparation of delegated acts#Assist the Commission in the preparation of legislative proposals and policy initiatives#Coordinate with Member States, exchange of views#other (The STF shall assist the Commission in implementing the Union’s activities and programmes aimed at fostering the deployment of alternative fuels infrastructure to contribute to the European Union energy and climate goals. The STF shall provide a platform for structural dialogue, exchange of technical knowledge, cooperation and coordination between Union Member States and relevant public and private stakeholders. To achieve the aims referred to before, the STF shall in particular: –provide advice and technical expertise to the Commission on the development and implementation of legislation, policies, projects and programmes in the field of alternative transport fuels and contribute towards an energy-efficient, decarbonised transport sector. –facilitate exchanges of information on initiatives, projects and partnerships dealing with alternative transport fuels; –deliver opinions, submit reports, or develop and propose innovative solutions to the Commission, either at the latter's) | STF | E03321 | DG Mobility and Transport | Formal | Temporary | ACTIVE | 18-02-2023 | DG Climate Action | 0 | NA | NA |
| E03364_0 | The provision of strategic training directions contributing to the realisation of the Europe 2020 Strategy. The relevant committees and policy bodies by providing information on common training initiatives to be addressed at national level able to support human competency building of Customs and Tax administration. | True | Customs#Taxation | Limited | Development of eLearning module on customs control equipment | 01-10-2015 | Coordinate with Member States, exchange of views | TSG | E03364 | DG Taxation and Customs Union | Informal | Temporary | ACTIVE | 09-01-2023 | 0 | NA | NA | |
| E03419_10 | To provide expertise to the Commission and its Services in relation to customs matters | True | Customs | Limited | 12. Customs Status and Transit | 17-05-2016 | Assist the Commission in relation to the implementation of existing Union legislation, programmes and policies#Assist the Commission in the preparation of delegated acts#Assist the Commission in the preparation of legislative proposals and policy initiatives#Coordinate with Member States, exchange of views#other ([1] Preparation of positions for the negotiation of customs provisions in international agreements; [2]Without prejudice of the Council competences, preparation of positions to be adopted on Union's behalf in international bodies; [3] Coordination ofn Union's behalf of WCO Conventions matters (Annexes A and B of EC Membership to WCO); [4] Examination of whether the economic conditions are fulfilled in an application or authorisation for a special procedure) | CEG | E03419 | DG Taxation and Customs Union | Informal | Permanent | ACTIVE | 10-03-2023 | 14 | NA | NA | |
| E03422_0 | The SCHEER, on request of Commission services, addresses questions on: •health and environmental risks related to pollutants in the environmental media and other biological and physical factors, for example in relation to air quality, water, waste and soils. It also addresses issues related to the toxicity and eco-toxicity of biocides and of chemical, biochemical and biological compounds not addressed by other EU bodies. •complex or multidisciplinary issues requiring a comprehensive assessment of risks to consumer safety or public health, for example antimicrobial resistance, nanotechnologies, medical devices and physical hazards such as noise and electromagnetic fields. | True | Environment#Public Health | Limited | Electronic cigarettes | 12-05-2016 | Assist the Commission in the preparation of legislative proposals and policy initiatives | SCHEER | E03422 | DG Health and Food Safety | Formal | Temporary | ACTIVE | 21-02-2023 | 0 | NA | NA | |
| E03542_1 | Exchange information and provide advice on port related matters. Provide advice to the Commission on initiatives to promote and support a uniform implementation of Regulation (EU) 2017/352 establishing a framework for the provision of port services and common rules on the financial transparency of ports. | True | Transport | Limited | Sustainable Ports sub-group | 29-05-2017 | Coordinate with Member States, exchange of views | EPF | E03542 | DG Mobility and Transport | Informal | Permanent | ACTIVE | 01-02-2023 | DG Maritime Affairs and Fisheries | 0 | NA | NA |
| X03565_0 | MDCG provides advice to the Commission and assists the Commission and the Member States in ensuring a harmonised implementation of medical devices Regulations (EU) 2017/745 and 2017/746. | True | Public Health | Broad | 01 - Notified Bodies Oversight (NBO) | 10-01-2018 | Assist the Commission in relation to the implementation of existing Union legislation, programmes and policies#Assist the Commission in the preparation of delegated acts#Coordinate with Member States, exchange of views | MDCG | X03565 | DG Health and Food Safety | Formal | Permanent | ACTIVE | 08-03-2023 | Joint Research Centre | 4 | NA | NA |
| X03565_1 | MDCG provides advice to the Commission and assists the Commission and the Member States in ensuring a harmonised implementation of medical devices Regulations (EU) 2017/745 and 2017/746. | True | Public Health | Broad | 02 - Standards | 10-01-2018 | Assist the Commission in relation to the implementation of existing Union legislation, programmes and policies#Assist the Commission in the preparation of delegated acts#Coordinate with Member States, exchange of views | MDCG | X03565 | DG Health and Food Safety | Formal | Permanent | ACTIVE | 08-03-2023 | Joint Research Centre | 2 | NA | NA |
| X03565_2 | MDCG provides advice to the Commission and assists the Commission and the Member States in ensuring a harmonised implementation of medical devices Regulations (EU) 2017/745 and 2017/746. | True | Public Health | Broad | 03 - Clinical Investigation and Evaluation (CIE) | 10-01-2018 | Assist the Commission in relation to the implementation of existing Union legislation, programmes and policies#Assist the Commission in the preparation of delegated acts#Coordinate with Member States, exchange of views | MDCG | X03565 | DG Health and Food Safety | Formal | Permanent | ACTIVE | 08-03-2023 | Joint Research Centre | 0 | NA | NA |
| X03565_3 | MDCG provides advice to the Commission and assists the Commission and the Member States in ensuring a harmonised implementation of medical devices Regulations (EU) 2017/745 and 2017/746. | True | Public Health | Broad | 04 - Post-Market Surveillance and Vigilance (PMSV) | 10-01-2018 | Assist the Commission in relation to the implementation of existing Union legislation, programmes and policies#Assist the Commission in the preparation of delegated acts#Coordinate with Member States, exchange of views | MDCG | X03565 | DG Health and Food Safety | Formal | Permanent | ACTIVE | 08-03-2023 | Joint Research Centre | 1 | NA | NA |
| X03565_4 | MDCG provides advice to the Commission and assists the Commission and the Member States in ensuring a harmonised implementation of medical devices Regulations (EU) 2017/745 and 2017/746. | True | Public Health | Broad | 05 - Market Surveillance | 10-01-2018 | Assist the Commission in relation to the implementation of existing Union legislation, programmes and policies#Assist the Commission in the preparation of delegated acts#Coordinate with Member States, exchange of views | MDCG | X03565 | DG Health and Food Safety | Formal | Permanent | ACTIVE | 08-03-2023 | Joint Research Centre | 2 | NA | NA |
| X03565_5 | MDCG provides advice to the Commission and assists the Commission and the Member States in ensuring a harmonised implementation of medical devices Regulations (EU) 2017/745 and 2017/746. | True | Public Health | Broad | 06 - Borderline and Classification (B&C) | 10-01-2018 | Assist the Commission in relation to the implementation of existing Union legislation, programmes and policies#Assist the Commission in the preparation of delegated acts#Coordinate with Member States, exchange of views | MDCG | X03565 | DG Health and Food Safety | Formal | Permanent | ACTIVE | 08-03-2023 | Joint Research Centre | 0 | NA | NA |
| X03565_6 | MDCG provides advice to the Commission and assists the Commission and the Member States in ensuring a harmonised implementation of medical devices Regulations (EU) 2017/745 and 2017/746. | True | Public Health | Broad | 07 - New Technologies | 10-01-2018 | Assist the Commission in relation to the implementation of existing Union legislation, programmes and policies#Assist the Commission in the preparation of delegated acts#Coordinate with Member States, exchange of views | MDCG | X03565 | DG Health and Food Safety | Formal | Permanent | ACTIVE | 08-03-2023 | Joint Research Centre | 0 | NA | NA |
| X03565_7 | MDCG provides advice to the Commission and assists the Commission and the Member States in ensuring a harmonised implementation of medical devices Regulations (EU) 2017/745 and 2017/746. | True | Public Health | Broad | 08 - EUDAMED | 10-01-2018 | Assist the Commission in relation to the implementation of existing Union legislation, programmes and policies#Assist the Commission in the preparation of delegated acts#Coordinate with Member States, exchange of views | MDCG | X03565 | DG Health and Food Safety | Formal | Permanent | ACTIVE | 08-03-2023 | Joint Research Centre | 0 | NA | NA |
| X03565_8 | MDCG provides advice to the Commission and assists the Commission and the Member States in ensuring a harmonised implementation of medical devices Regulations (EU) 2017/745 and 2017/746. | True | Public Health | Broad | 09 - Unique Device Identification (UDI) | 10-01-2018 | Assist the Commission in relation to the implementation of existing Union legislation, programmes and policies#Assist the Commission in the preparation of delegated acts#Coordinate with Member States, exchange of views | MDCG | X03565 | DG Health and Food Safety | Formal | Permanent | ACTIVE | 08-03-2023 | Joint Research Centre | 2 | NA | NA |
| X03565_9 | MDCG provides advice to the Commission and assists the Commission and the Member States in ensuring a harmonised implementation of medical devices Regulations (EU) 2017/745 and 2017/746. | True | Public Health | Broad | 10 - International Matters | 10-01-2018 | Assist the Commission in relation to the implementation of existing Union legislation, programmes and policies#Assist the Commission in the preparation of delegated acts#Coordinate with Member States, exchange of views | MDCG | X03565 | DG Health and Food Safety | Formal | Permanent | ACTIVE | 08-03-2023 | Joint Research Centre | 1 | NA | NA |
| X03565_10 | MDCG provides advice to the Commission and assists the Commission and the Member States in ensuring a harmonised implementation of medical devices Regulations (EU) 2017/745 and 2017/746. | True | Public Health | Broad | 11 - In vitro Diagnostic Medical Devices (IVD) | 10-01-2018 | Assist the Commission in relation to the implementation of existing Union legislation, programmes and policies#Assist the Commission in the preparation of delegated acts#Coordinate with Member States, exchange of views | MDCG | X03565 | DG Health and Food Safety | Formal | Permanent | ACTIVE | 08-03-2023 | Joint Research Centre | 0 | NA | NA |
| X03565_11 | MDCG provides advice to the Commission and assists the Commission and the Member States in ensuring a harmonised implementation of medical devices Regulations (EU) 2017/745 and 2017/746. | True | Public Health | Broad | 12 - Nomenclature | 10-01-2018 | Assist the Commission in relation to the implementation of existing Union legislation, programmes and policies#Assist the Commission in the preparation of delegated acts#Coordinate with Member States, exchange of views | MDCG | X03565 | DG Health and Food Safety | Formal | Permanent | ACTIVE | 08-03-2023 | Joint Research Centre | 0 | NA | NA |
| X03565_12 | MDCG provides advice to the Commission and assists the Commission and the Member States in ensuring a harmonised implementation of medical devices Regulations (EU) 2017/745 and 2017/746. | True | Public Health | Broad | 13 - Annex XVI | 10-01-2018 | Assist the Commission in relation to the implementation of existing Union legislation, programmes and policies#Assist the Commission in the preparation of delegated acts#Coordinate with Member States, exchange of views | MDCG | X03565 | DG Health and Food Safety | Formal | Permanent | ACTIVE | 08-03-2023 | Joint Research Centre | 0 | NA | NA |
| E03574_0 | (a)to assist the Commission in the coordination and monitoring of the implementation of the actions to improve environmental compliance and governance as well as in the preparation of legislative proposals or policy initiatives in the field of environmental compliance and governance, including in relation to: •(i) compliance promotion, monitoring and enforcement (compliance assurance); •(ii) access to justice on environmental matters; •(iii) access to environmental information; •(iv) public participation; •(v) any other governance issue. (b)to establish cooperation and coordination between the Commission, Member States and existing pan-European professional networks on questions relating to the implementation of Union legislation, programmes and policies in the field of environment; (c)to bring about an exchange of experience and good practice in the field of environmental compliance and governance. | True | Environment | Limited | Working Group sanctioning of environmental offences | 28-02-2018 | Assist the Commission in relation to the implementation of existing Union legislation, programmes and policies#Assist the Commission in the preparation of legislative proposals and policy initiatives#Coordinate with Member States, exchange of views | E03574 | DG Environment | Formal | Permanent | ACTIVE | 22-11-2022 | 0 | NA | NA | ||
| E03686_0 | In view of the upcoming entry into force of Directive [xxx] amending Directive 2008/96/EC on Road Infrastructure Safety Management (COM(2018)0274; 2018/0129(COD)), a number of new features require the Commission to seek the advice and expertise of Member States and other relevant stakeholders, including for the preparation of non-legislative acts and guidance under the Directive as well as regards actions set out in Strategic Action Plan of the Commission’s 3rd Mobility Package (May 2018). | True | Transport | Limited | Forgiving roadsides and self explaining and self enforcing roads | 13-11-2019 | Assist the Commission in relation to the implementation of existing Union legislation, programmes and policies#Assist the Commission in the preparation of delegated acts#Assist the Commission in the preparation of legislative proposals and policy initiatives#Coordinate with Member States, exchange of views | EGRIS | E03686 | DG Mobility and Transport | Informal | Permanent | ACTIVE | 19-11-2021 | 0 | NA | NA | |
| E03686_1 | In view of the upcoming entry into force of Directive [xxx] amending Directive 2008/96/EC on Road Infrastructure Safety Management (COM(2018)0274; 2018/0129(COD)), a number of new features require the Commission to seek the advice and expertise of Member States and other relevant stakeholders, including for the preparation of non-legislative acts and guidance under the Directive as well as regards actions set out in Strategic Action Plan of the Commission’s 3rd Mobility Package (May 2018). | True | Transport | Limited | SG1: Road Markings & Road Signs | 13-11-2019 | Assist the Commission in relation to the implementation of existing Union legislation, programmes and policies#Assist the Commission in the preparation of delegated acts#Assist the Commission in the preparation of legislative proposals and policy initiatives#Coordinate with Member States, exchange of views | EGRIS | E03686 | DG Mobility and Transport | Informal | Permanent | ACTIVE | 19-11-2021 | 0 | NA | NA | |
| E03686_2 | In view of the upcoming entry into force of Directive [xxx] amending Directive 2008/96/EC on Road Infrastructure Safety Management (COM(2018)0274; 2018/0129(COD)), a number of new features require the Commission to seek the advice and expertise of Member States and other relevant stakeholders, including for the preparation of non-legislative acts and guidance under the Directive as well as regards actions set out in Strategic Action Plan of the Commission’s 3rd Mobility Package (May 2018). | True | Transport | Limited | SG2: Methodology on road safety assessments & safety ratings | 13-11-2019 | Assist the Commission in relation to the implementation of existing Union legislation, programmes and policies#Assist the Commission in the preparation of delegated acts#Assist the Commission in the preparation of legislative proposals and policy initiatives#Coordinate with Member States, exchange of views | EGRIS | E03686 | DG Mobility and Transport | Informal | Permanent | ACTIVE | 19-11-2021 | 0 | NA | NA | |
| X03731_0 | Advise the European Commission on several tasks related to sustainable finance and the development of the EU taxonomy, as stipulated in the EU Taxonomy Regulation | True | other (SUSTAINABLE FINANCE) | Broad | Monitoring of capital flows | 18-06-2020 | Assist the Commission in the preparation of legislative proposals and policy initiatives | X03731 | DG Financial Stability, Financial Services and Capital Markets Union | Formal | Permanent | ACTIVE | 20-02-2023 | ['DG Agriculture and Rural Development', 'DG Climate Action', 'DG Communications Networks, Content and Technology', 'DG Employment, Social Affairs and Inclusion', 'DG Energy', 'DG Environment', 'DG Humanitarian Aid and Civil Protection', 'DG Internal Market, Industry, Entrepreneurship and SMEs', 'DG Justice and Consumers', 'DG Maritime Affairs and Fisheries', 'DG Migration and Home Affairs', 'DG Mobility and Transport', 'DG Research and Innovation', 'Joint Research Centre'] | 0 | NA | NA | |
| X03731_1 | Advise the European Commission on several tasks related to sustainable finance and the development of the EU taxonomy, as stipulated in the EU Taxonomy Regulation | True | other (SUSTAINABLE FINANCE) | Broad | Technical Working Group | 18-06-2020 | Assist the Commission in the preparation of legislative proposals and policy initiatives | X03731 | DG Financial Stability, Financial Services and Capital Markets Union | Formal | Permanent | ACTIVE | 20-02-2023 | ['DG Agriculture and Rural Development', 'DG Climate Action', 'DG Communications Networks, Content and Technology', 'DG Employment, Social Affairs and Inclusion', 'DG Energy', 'DG Environment', 'DG Humanitarian Aid and Civil Protection', 'DG Internal Market, Industry, Entrepreneurship and SMEs', 'DG Justice and Consumers', 'DG Maritime Affairs and Fisheries', 'DG Migration and Home Affairs', 'DG Mobility and Transport', 'DG Research and Innovation', 'Joint Research Centre'] | 0 | NA | NA | |
| X03731_2 | Advise the European Commission on several tasks related to sustainable finance and the development of the EU taxonomy, as stipulated in the EU Taxonomy Regulation | True | other (SUSTAINABLE FINANCE) | Broad | Usability and data | 18-06-2020 | Assist the Commission in the preparation of legislative proposals and policy initiatives | X03731 | DG Financial Stability, Financial Services and Capital Markets Union | Formal | Permanent | ACTIVE | 20-02-2023 | ['DG Agriculture and Rural Development', 'DG Climate Action', 'DG Communications Networks, Content and Technology', 'DG Employment, Social Affairs and Inclusion', 'DG Energy', 'DG Environment', 'DG Humanitarian Aid and Civil Protection', 'DG Internal Market, Industry, Entrepreneurship and SMEs', 'DG Justice and Consumers', 'DG Maritime Affairs and Fisheries', 'DG Migration and Home Affairs', 'DG Mobility and Transport', 'DG Research and Innovation', 'Joint Research Centre'] | 0 | NA | NA | |
| E03756_1 | To ensure continuity of the EOSC coordination between the Commission, the Member States and the Associated Countries. | True | Research and Innovation | Limited | European Open Science Cloud Steering Board Committee | 16-02-2021 | Coordinate with Member States, exchange of views | EOSC SB | E03756 | DG Research and Innovation | Informal | Temporary | ACTIVE | 14-11-2022 | DG Communications Networks, Content and Technology | 9 | NA | NA |
| E03763_0 | The group will provide advice and expertise to DG Financial Stability and Capital Markets Union (FISMA) in relation to the preparation of legislative proposals and policy initiatives in the field of data sharing in the financial sector, to further the establishment of a common financial data space in the EU. The group will also need to assess the need for any interaction with other data spaces and data-sharing beyond the financial sector. As part of its deliberations, the group would also be expected to look into the relevant policy issues associated with such data-sharing, including data confidentiality, privacy, customer consent and potential impact on access to financial services and products, taking into account the ongoing work on the Data Act. | True | Internal Market | Limited | Subgroup on open finance | 15-03-2021 | Assist the Commission in the preparation of legislative proposals and policy initiatives | E03763 | DG Financial Stability, Financial Services and Capital Markets Union | Informal | Temporary | ACTIVE | 06-03-2023 | 2 | NA | NA | ||
| E03773_0 | The European Commission aims to reinforce the Union's open strategic autonomy in the macro-economic and financial fields by improving the implementation and enforcement of EU sanctions regimes and increasing the EU’s resilience to the effects of the unlawful extra-territorial application of unilateral sanctions and other measures by third countries. The European Union, however, can only deliver on this objective by acting in concert with Member States. Thus, the Commission has set up this expert group of representatives of Member States on sanctions and extra-territoriality with the participation of the European External Action Service as observer. On 12 April 2021, the Commission adopted Decision C(2021) 2385, which establishes the Commission expert group on Union restrictive measures and extra-territoriality. This group, which is a consultative body set up to provide the Comission with advice and expertise, should serve two main purposes: first, it should be a forum for the Commission and representatives of Member States to have technical, in-depth exchanges in support of the uniform implementation and effective enforcement of Union restrictive measures. Second, the group should serve as a discussion forum on the application of Regulation (EC) No 2271/96 (Blocking Statute)3 and on the Commission’s efforts to protect the Union against the effects of the extra-territorial application of legislation adopted by third countries. The group should complement and build upon the work of other Commission groups, with adjacent or similar competences, and of other bodies dedicated to the implementation of Union restrictive measures, such as the RELEX Sanctions formation, without prejudice to the competences of the Member States and the Council. | True | External Relations | Limited | Subgroup on asset freezes and reporting | 29-04-2021 | Assist the Commission in relation to the implementation of existing Union legislation, programmes and policies#Assist the Commission in the preparation of delegated acts#Assist the Commission in the preparation of legislative proposals and policy initiatives#Coordinate with Member States, exchange of views#Provides expertise to the Commission when preparing implementing measures, i.e. before the Commission submits these draft measures to a comitology committee | E03773 | DG Financial Stability, Financial Services and Capital Markets Union | Formal | Permanent | ACTIVE | 07-03-2023 | 10 | NA | NA | ||
| E03776_0 | To assist the Commission in issues related to the Construction Products Regulation, mainly in a comprehensive overhaul of the so-called CPR Acquis. | True | Enterprise | Limited | Cement, building limes and other hydraulic binders | 26-08-2021 | Assist the Commission in the preparation of delegated acts#Assist the Commission in the preparation of legislative proposals and policy initiatives#other (- establish cooperation/coordination between the Commission and Member States or stakeholders on questions relating to the implementation of Union legislation, programmes and policies in the field of construction products; - provide input to DG GROW related to specific tasks for the revision of the set of mandates, granted to CEN in the framework of the Council Directive 89/106/EEC repealed by Regulation (EU) 305/2011, intended to be replaced by standardisation requests according to Article 10 of Regulation (EU) 1025/2012; - provide expertise for common issues, within the remit of the CPR Acquis process, including the implementation of provisions that the revision process of the CPR may entail; - adopt any kind of action, within the remit of the CPR Acquis process, that facilitates the establishment of harmonised Technical Specifications (hTS) under the Construction Product Regulation and its potential updates.)#Provides expertise to the Commission when preparing implementing measures, i.e. before the Commission submits these draft measures to a comitology committee | CPR Technical Acquis process | E03776 | DG Internal Market, Industry, Entrepreneurship and SMEs | Informal | Permanent | ACTIVE | 02-03-2023 | 0 | NA | NA | |
| E03776_6 | To assist the Commission in issues related to the Construction Products Regulation, mainly in a comprehensive overhaul of the so-called CPR Acquis. | True | Enterprise | Limited | Thermal insulating products. composite insulating kits/systems | 26-08-2021 | Assist the Commission in the preparation of delegated acts#Assist the Commission in the preparation of legislative proposals and policy initiatives#other (- establish cooperation/coordination between the Commission and Member States or stakeholders on questions relating to the implementation of Union legislation, programmes and policies in the field of construction products; - provide input to DG GROW related to specific tasks for the revision of the set of mandates, granted to CEN in the framework of the Council Directive 89/106/EEC repealed by Regulation (EU) 305/2011, intended to be replaced by standardisation requests according to Article 10 of Regulation (EU) 1025/2012; - provide expertise for common issues, within the remit of the CPR Acquis process, including the implementation of provisions that the revision process of the CPR may entail; - adopt any kind of action, within the remit of the CPR Acquis process, that facilitates the establishment of harmonised Technical Specifications (hTS) under the Construction Product Regulation and its potential updates.)#Provides expertise to the Commission when preparing implementing measures, i.e. before the Commission submits these draft measures to a comitology committee | CPR Technical Acquis process | E03776 | DG Internal Market, Industry, Entrepreneurship and SMEs | Informal | Permanent | ACTIVE | 02-03-2023 | 0 | NA | NA | |
| E03782 | The European Arrest Warrant (EAW) is seen as the flagship instrument of judicial cooperation in criminal matters, being the most successful of the measures adopted and the most used. The purpose of this expert group is to help to solve certain cooperation in criminal matters issues and to enhance the effectiveness of the EAW surrender mechanism. It is intended to better structure and enhance the activities of the EAW in reply to Commissioner Reynders, the Council and the European Parliament calls. The Council conclusions on the EAW, which were adopted under the German Presidency in December 2020 (Council conclusions ‘The European arrest warrant and extradition procedures – current challenges and the way forward’ 2020/C 419/09, OJ C 419, 4.12.2020, p. 23–30), underline that direct contact between practitioners in different Member States enhances mutual trust and thereby contributes to a better application of the EAW Framework Decision (Council Framework Decision of 13 June 2002 on the European arrest warrant and the surrender procedures between Member States, OJ L 190, 18.7.2002, p. 1). They also contain many actions, which will need to be undertaken by the different stakeholders in order to enhance the operation of the EAW. In these conclusions, the Commission is called upon to update the EAW Handbook, to provide guidance to practitioners on how to deal with issues relating to detention conditions and fair trial rights, and to consider the advisability of developing practical solutions, such as templates for information requests under Article 15(2) of the EAW Framework Decision, as well as to consider ways to improve practitioners’ access to information and the sources of information to which practitioners may refer that meet the criteria set out by the CJEU. In order to further improve the application of the EAW Framework Decision, a centralised portal at Union level should be provided where all relevant information, that could make it easier for practitioners to use the EAW, is collected and continuously updated. The Member States, the Commission and the European Judicial Training Network are encouraged in their efforts to support and increase continuous training for practitioners involved in EAW surrender procedures and to further promote the exchange of views between practitioners from different Member States. The Council also invites the Commission to consider the need, in light of the results of the analysis prepared by Eurojust and the European Judicial Network (EJN) , for further EU action in dealing with extradition requests from third countries. The European Parliament, in its recent report on the EAW (Joint report of Eurojust and the European Judicial Network on the extradition of EU citizens to third countries November 2020, 2020/00261) welcomes the EAW coordination group set up by the Commission. The European Parliament believes that this group will contribute to enhancing the exchange of information and good practices and to strengthening cooperation. The European Parliament expressly calls upon the Commission, in order to enhance mutual trust, to promote exchanges between legal practitioners of different Member States and to support the continuous training of legal practitioners involved in the EAW process. The Commission expert group on the EAW will be well placed to inform and contribute to the proper development of the above-mentioned tools by proving expert advice on the scope, priorities and added value of those initiatives. The group will allow policy makers and practitioners (such as judges and public prosecutors) to feed into discussions and highlight particular problems that require systematic address. All Member States have already appointed two representatives, either judges, prosecutors or civil servants from national administrations. So far, the group only functioned as an e-mail group to enhance swift and efficient exchange of information on the EAW. | False | Justice and Home Affairs | Broad | INFORMAL COMMISSION EXPERT GROUP ON THE EUROPEAN ARREST WARRANT (EAW) | 06-07-2021 | Assist the Commission in relation to the implementation of existing Union legislation, programmes and policies#Assist the Commission in the preparation of legislative proposals and policy initiatives#Coordinate with Member States, exchange of views#other ((a)to assist the Commission’s Directorate-General for Justice and Consumers (‘DG JUST’) in the preparation of legislative proposals and policy initiatives in the field of the EAW; (b)to establish cooperation and coordination between the Commission and Member States or stakeholders on questions relating to the correct and uniform implementation and application of Union legislation, programmes and policies in the field of the EAW; (c)to bring about an exchange of experience and good practice in the field of the EAW, in order to build mutual trust in cross-border judicial proceedings.) | INFORMAL COMMISSION EXPERT GROUP ON THE EAW | E03782 | DG Justice and Consumers | Informal | Permanent | ACTIVE | 17-11-2022 | 3 | NA | NA | |
| E03794_1 | The Commission may consult the group on any matter in the field of organic production | True | Agriculture | Limited | Factory farming | 09-08-2021 | Assist the Commission in relation to the implementation of existing Union legislation, programmes and policies#Assist the Commission in the preparation of legislative proposals and policy initiatives#Provides expertise to the Commission when preparing implementing measures, i.e. before the Commission submits these draft measures to a comitology committee | EGTOP | E03794 | DG Agriculture and Rural Development | Formal | Permanent | ACTIVE | 02-03-2023 | 0 | NA | NA | |
| E03794_3 | The Commission may consult the group on any matter in the field of organic production | True | Agriculture | Limited | Fertilisers | 09-08-2021 | Assist the Commission in relation to the implementation of existing Union legislation, programmes and policies#Assist the Commission in the preparation of legislative proposals and policy initiatives#Provides expertise to the Commission when preparing implementing measures, i.e. before the Commission submits these draft measures to a comitology committee | EGTOP | E03794 | DG Agriculture and Rural Development | Formal | Permanent | ACTIVE | 02-03-2023 | 1 | NA | NA | |
| E03794_5 | The Commission may consult the group on any matter in the field of organic production | True | Agriculture | Limited | Innovative buildings and structures | 09-08-2021 | Assist the Commission in relation to the implementation of existing Union legislation, programmes and policies#Assist the Commission in the preparation of legislative proposals and policy initiatives#Provides expertise to the Commission when preparing implementing measures, i.e. before the Commission submits these draft measures to a comitology committee | EGTOP | E03794 | DG Agriculture and Rural Development | Formal | Permanent | ACTIVE | 02-03-2023 | 0 | NA | NA | |
| E03794_6 | The Commission may consult the group on any matter in the field of organic production | True | Agriculture | Limited | Insects | 09-08-2021 | Assist the Commission in relation to the implementation of existing Union legislation, programmes and policies#Assist the Commission in the preparation of legislative proposals and policy initiatives#Provides expertise to the Commission when preparing implementing measures, i.e. before the Commission submits these draft measures to a comitology committee | EGTOP | E03794 | DG Agriculture and Rural Development | Formal | Permanent | ACTIVE | 02-03-2023 | 0 | NA | NA | |
| E03794_7 | The Commission may consult the group on any matter in the field of organic production | True | Agriculture | Limited | Plant protection | 09-08-2021 | Assist the Commission in relation to the implementation of existing Union legislation, programmes and policies#Assist the Commission in the preparation of legislative proposals and policy initiatives#Provides expertise to the Commission when preparing implementing measures, i.e. before the Commission submits these draft measures to a comitology committee | EGTOP | E03794 | DG Agriculture and Rural Development | Formal | Permanent | ACTIVE | 02-03-2023 | 1 | NA | NA | |
| E03824 | The group’s task shall be to assist DG JUST in preparing the proposal for a Council Recommendation on the revision of the Barcelona targets and possible accompanying policy measures. | False | other (Gender Equality) | Limited | INFORMAL COMMISSION EXPERT GROUP ON THE REVISION OF THE BARCELONA TARGETS | 30-11-2021 | Assist the Commission in the preparation of legislative proposals and policy initiatives | E03824 | DG Justice and Consumers | Informal | Permanent | ACTIVE | 06-09-2022 | 1 | NA | NA | ||
| E03828_0 | The Board shall advise the Commission in the management of the Knowledge Network, ensuring that the overall purpose of the Knowledge Network is fulfilled together with its main objectives, in accordance with Article 13 of Decision No 1313/2013/EU. | True | Civil protection#other (Crisis management) | Broad | UNION CIVIL PROTECTION KNOWLEDGE NETWORK DISASTER RISK MANAGEMENT SCIENCE AND PLANNING | 07-12-2021 | Assist the Commission in relation to the implementation of existing Union legislation, programmes and policies#Coordinate with Member States, exchange of views#other (advise on the strategic orientation of the Knowledge Network set by the Commission; review, monitor and ensure compliance with the rules of procedure, membership and governance policies of the Knowledge Network; endorse the Knowledge Network’s annual report; report its activities to the committee referred to in Article 33(1) of Decision No 1313/2013/EU.) | Knowledge Network Board | E03828 | DG Humanitarian Aid and Civil Protection | Formal | Permanent | ACTIVE | 28-10-2022 | ['Health Emergency Preparedness and Response Authority', 'Joint Research Centre'] | 0 | NA | NA |
| E03828_1 | The Board shall advise the Commission in the management of the Knowledge Network, ensuring that the overall purpose of the Knowledge Network is fulfilled together with its main objectives, in accordance with Article 13 of Decision No 1313/2013/EU. | True | Civil protection#other (Crisis management) | Broad | UNION CIVIL PROTECTION KNOWLEDGE NETWORK TRAINING AND EXERCISES WORKING GROUP | 07-12-2021 | Assist the Commission in relation to the implementation of existing Union legislation, programmes and policies#Coordinate with Member States, exchange of views#other (advise on the strategic orientation of the Knowledge Network set by the Commission; review, monitor and ensure compliance with the rules of procedure, membership and governance policies of the Knowledge Network; endorse the Knowledge Network’s annual report; report its activities to the committee referred to in Article 33(1) of Decision No 1313/2013/EU.) | Knowledge Network Board | E03828 | DG Humanitarian Aid and Civil Protection | Formal | Permanent | ACTIVE | 28-10-2022 | ['Health Emergency Preparedness and Response Authority', 'Joint Research Centre'] | 0 | NA | NA |
| E03834_0 | Integrating all the existing types of stakeholders, ranging from policy-makers and security practitioners (law enforcement, border guards, customs, first responders etc.) to societal actors (researchers, academia, industry, civil society, citizens, etc.), and work strands related to security research under one umbrella | True | Justice and Home Affairs#Research and Innovation | Limited | Border Management | 01-02-2022 | Assist the Commission in the preparation of legislative proposals and policy initiatives#Coordinate with Member States, exchange of views#other (To bring about an exchange of experience and good practice in the field of strengthening research and innovation.) | CERIS | E03834 | DG Migration and Home Affairs | Informal | Permanent | ACTIVE | 16-12-2022 | 0 | NA | NA | |
| E03834_1 | Integrating all the existing types of stakeholders, ranging from policy-makers and security practitioners (law enforcement, border guards, customs, first responders etc.) to societal actors (researchers, academia, industry, civil society, citizens, etc.), and work strands related to security research under one umbrella | True | Justice and Home Affairs#Research and Innovation | Limited | Disaster Resilient Societies | 01-02-2022 | Assist the Commission in the preparation of legislative proposals and policy initiatives#Coordinate with Member States, exchange of views#other (To bring about an exchange of experience and good practice in the field of strengthening research and innovation.) | CERIS | E03834 | DG Migration and Home Affairs | Informal | Permanent | ACTIVE | 16-12-2022 | 0 | NA | NA | |
| E03834_2 | Integrating all the existing types of stakeholders, ranging from policy-makers and security practitioners (law enforcement, border guards, customs, first responders etc.) to societal actors (researchers, academia, industry, civil society, citizens, etc.), and work strands related to security research under one umbrella | True | Justice and Home Affairs#Research and Innovation | Limited | Fighting Crime and Terrorism, including resilient infrastructure | 01-02-2022 | Assist the Commission in the preparation of legislative proposals and policy initiatives#Coordinate with Member States, exchange of views#other (To bring about an exchange of experience and good practice in the field of strengthening research and innovation.) | CERIS | E03834 | DG Migration and Home Affairs | Informal | Permanent | ACTIVE | 16-12-2022 | 0 | NA | NA | |
| E03834_3 | Integrating all the existing types of stakeholders, ranging from policy-makers and security practitioners (law enforcement, border guards, customs, first responders etc.) to societal actors (researchers, academia, industry, civil society, citizens, etc.), and work strands related to security research under one umbrella | True | Justice and Home Affairs#Research and Innovation | Limited | Strengthened Security Research and Innovation | 01-02-2022 | Assist the Commission in the preparation of legislative proposals and policy initiatives#Coordinate with Member States, exchange of views#other (To bring about an exchange of experience and good practice in the field of strengthening research and innovation.) | CERIS | E03834 | DG Migration and Home Affairs | Informal | Permanent | ACTIVE | 16-12-2022 | 0 | NA | NA | |
| E03835_0 | To ensure the proper functioning and further development of the EU Customs Union, key strategic decisions about customs policy made by the Commission in close co-operation with Member States have to be underpinned by a common system of indicators measuring performance at the national and EU Customs Union level. The CUP tool and its commonly agreed measurement framework, is essential for the monitoring and improvement of the EU Customs Union in terms of effectiveness, efficiency and uniformity. This helps ensuring the equivalence of results in the implementation of customs legislation. The CUP expert group monitor trends in the EU Customs Union, to ensure balance between protection/controls and facilitation/competitiveness and to identify areas with a need for a particular attention, or in response to particular challenges or circumstances. Finally, the deliverables of the group are used to raise awareness about the EU Customs Union and show the amount and results of the customs activity (both at the aggregated EU or national level). The CUP also contributes to highlighting the impact of customs in ensuring safety and security of the EU citizens and emphasising the importance of the customs contribution to the overall policy goals. The information gathered by the unified performance measurement framework brought about by the activity of the CUP Expert Group is essential to shed light on current CU organisation strengths and weaknesses, and an important part of the policy-making cycle. | True | Customs | Broad | Cooperation | 26-01-2022 | Assist the Commission in relation to the implementation of existing Union legislation, programmes and policies#Coordinate with Member States, exchange of views | CUP | E03835 | DG Taxation and Customs Union | Informal | Permanent | ACTIVE | 07-03-2023 | 0 | NA | NA | |
| E03835_1 | To ensure the proper functioning and further development of the EU Customs Union, key strategic decisions about customs policy made by the Commission in close co-operation with Member States have to be underpinned by a common system of indicators measuring performance at the national and EU Customs Union level. The CUP tool and its commonly agreed measurement framework, is essential for the monitoring and improvement of the EU Customs Union in terms of effectiveness, efficiency and uniformity. This helps ensuring the equivalence of results in the implementation of customs legislation. The CUP expert group monitor trends in the EU Customs Union, to ensure balance between protection/controls and facilitation/competitiveness and to identify areas with a need for a particular attention, or in response to particular challenges or circumstances. Finally, the deliverables of the group are used to raise awareness about the EU Customs Union and show the amount and results of the customs activity (both at the aggregated EU or national level). The CUP also contributes to highlighting the impact of customs in ensuring safety and security of the EU citizens and emphasising the importance of the customs contribution to the overall policy goals. The information gathered by the unified performance measurement framework brought about by the activity of the CUP Expert Group is essential to shed light on current CU organisation strengths and weaknesses, and an important part of the policy-making cycle. | True | Customs | Broad | Customs Controls | 26-01-2022 | Assist the Commission in relation to the implementation of existing Union legislation, programmes and policies#Coordinate with Member States, exchange of views | CUP | E03835 | DG Taxation and Customs Union | Informal | Permanent | ACTIVE | 07-03-2023 | 0 | NA | NA | |
| E03835_2 | To ensure the proper functioning and further development of the EU Customs Union, key strategic decisions about customs policy made by the Commission in close co-operation with Member States have to be underpinned by a common system of indicators measuring performance at the national and EU Customs Union level. The CUP tool and its commonly agreed measurement framework, is essential for the monitoring and improvement of the EU Customs Union in terms of effectiveness, efficiency and uniformity. This helps ensuring the equivalence of results in the implementation of customs legislation. The CUP expert group monitor trends in the EU Customs Union, to ensure balance between protection/controls and facilitation/competitiveness and to identify areas with a need for a particular attention, or in response to particular challenges or circumstances. Finally, the deliverables of the group are used to raise awareness about the EU Customs Union and show the amount and results of the customs activity (both at the aggregated EU or national level). The CUP also contributes to highlighting the impact of customs in ensuring safety and security of the EU citizens and emphasising the importance of the customs contribution to the overall policy goals. The information gathered by the unified performance measurement framework brought about by the activity of the CUP Expert Group is essential to shed light on current CU organisation strengths and weaknesses, and an important part of the policy-making cycle. | True | Customs | Broad | Data Analytics/Indicators Definition/Guidance Notes | 26-01-2022 | Assist the Commission in relation to the implementation of existing Union legislation, programmes and policies#Coordinate with Member States, exchange of views | CUP | E03835 | DG Taxation and Customs Union | Informal | Permanent | ACTIVE | 07-03-2023 | 1 | NA | NA | |
| E03835_3 | To ensure the proper functioning and further development of the EU Customs Union, key strategic decisions about customs policy made by the Commission in close co-operation with Member States have to be underpinned by a common system of indicators measuring performance at the national and EU Customs Union level. The CUP tool and its commonly agreed measurement framework, is essential for the monitoring and improvement of the EU Customs Union in terms of effectiveness, efficiency and uniformity. This helps ensuring the equivalence of results in the implementation of customs legislation. The CUP expert group monitor trends in the EU Customs Union, to ensure balance between protection/controls and facilitation/competitiveness and to identify areas with a need for a particular attention, or in response to particular challenges or circumstances. Finally, the deliverables of the group are used to raise awareness about the EU Customs Union and show the amount and results of the customs activity (both at the aggregated EU or national level). The CUP also contributes to highlighting the impact of customs in ensuring safety and security of the EU citizens and emphasising the importance of the customs contribution to the overall policy goals. The information gathered by the unified performance measurement framework brought about by the activity of the CUP Expert Group is essential to shed light on current CU organisation strengths and weaknesses, and an important part of the policy-making cycle. | True | Customs | Broad | Facilitation | 26-01-2022 | Assist the Commission in relation to the implementation of existing Union legislation, programmes and policies#Coordinate with Member States, exchange of views | CUP | E03835 | DG Taxation and Customs Union | Informal | Permanent | ACTIVE | 07-03-2023 | 1 | NA | NA | |
| E03835_4 | To ensure the proper functioning and further development of the EU Customs Union, key strategic decisions about customs policy made by the Commission in close co-operation with Member States have to be underpinned by a common system of indicators measuring performance at the national and EU Customs Union level. The CUP tool and its commonly agreed measurement framework, is essential for the monitoring and improvement of the EU Customs Union in terms of effectiveness, efficiency and uniformity. This helps ensuring the equivalence of results in the implementation of customs legislation. The CUP expert group monitor trends in the EU Customs Union, to ensure balance between protection/controls and facilitation/competitiveness and to identify areas with a need for a particular attention, or in response to particular challenges or circumstances. Finally, the deliverables of the group are used to raise awareness about the EU Customs Union and show the amount and results of the customs activity (both at the aggregated EU or national level). The CUP also contributes to highlighting the impact of customs in ensuring safety and security of the EU citizens and emphasising the importance of the customs contribution to the overall policy goals. The information gathered by the unified performance measurement framework brought about by the activity of the CUP Expert Group is essential to shed light on current CU organisation strengths and weaknesses, and an important part of the policy-making cycle. | True | Customs | Broad | Protection | 26-01-2022 | Assist the Commission in relation to the implementation of existing Union legislation, programmes and policies#Coordinate with Member States, exchange of views | CUP | E03835 | DG Taxation and Customs Union | Informal | Permanent | ACTIVE | 07-03-2023 | 0 | NA | NA | |
| E03840_0 | Assist the Commission in its work on developing model contractual clauses for B2B data sharing and standard contractual clauses for cloud computing contracts | True | Justice and Home Affairs#other (data economy) | Limited | Expert Group on B2B data sharing and cloud computing contracts / Sub-group - stakeholders | 23-02-2022 | Assist the Commission in the preparation of legislative proposals and policy initiatives | E03840 | DG Justice and Consumers | Informal | Temporary | ACTIVE | 19-12-2022 | DG Communications Networks, Content and Technology | 0 | NA | NA | |
| E03843 | The European Commission’s Strategy for Financing the Transition to a Sustainable Economy (July 2021) establishes that in order to set a high level of ambition in developing international sustainable finance initiatives, the Commission will support low- and middle-income countries in scaling up their access to sustainable finance by developing a comprehensive strategy and by promoting sustainable-related financial instruments (action 6c). To this end, a dedicated high-level expert group (HLEG) is created to identify the challenges and opportunities that sustainable finance presents in low- and middle-income countries, and to provide recommendations to the Commission, so as to accelerate private financial flows for the implementation of the external dimension of the Green Deal and a green, just and resilient recovery in low- and middle-income countries. These recommendations should build on the EU sustainable finance experience and frameworks, as well as on the developments in the field at international level (including at G20 Sustainable Finance Working Group, the G20 Development Working Group, the G7 Development Track and the International Platform on Sustainable Finance), while taking into account the specific challenges of low- and middle-income countries. | False | Climate#Development#Energy#Environment#External Relations#other (Sustainable finance) | Limited | High-Level Expert Group (HLEG) on Scaling up Sustainable Finance in low- and middle-income countries | 21-03-2022 | Assist the Commission in the preparation of legislative proposals and policy initiatives | HLEG-SF-LMICS | E03843 | DG International Partnerships | Informal | Temporary | ACTIVE | 24-10-2022 | ['DG Climate Action', 'DG Environment', 'DG Financial Stability, Financial Services and Capital Markets Union', 'DG Neighbourhood and Enlargement Negotiations', 'Joint Research Centre'] | 1 | NA | NA |
| E03853 | Enhance the coordination and dialogue between the human health, veterinary and environmental sectors in the EU institutions, Member States and with stakeholders, in policies to combat Antimicrobial Resistance. | False | Agriculture#Environment#Food Safety#Public Health#Research and Innovation | Broad | Antimicrobial Resistance One Health Network | 10-06-2022 | Assist the Commission in relation to the implementation of existing Union legislation, programmes and policies#Coordinate with Member States, exchange of views#other ((a)to assist DG Health and Food Safety (DG SANTE) and associated DGs (in particular DG RTD, DG AGRI, DG REFORM, DG MARE, DG ENV, DG TRADE, HERA, JRC) in identyfing the needs for policy initiatives in the field of AMR One Health and providing input for their development (b)to support coordination between the Commission services and Member States as well as stakeholders on questions relating to the implementation of Union legislation, programmes and policies in the field of AMR in the context of the One Health approach (c)to exchange experience and identify best practices in the field of AMR in the context of the One Health approach; (d)to foster a common understanding and promote an implementation in practice of the concept of the One Health approach in the case of the fight against AMR (e)to work towards facilitating mutual learning, sharing innovative ideas, building consensus, comparing progress made in key areas and, where necessary, accelerating national efforts to tackle ) | AMR OHN | E03853 | DG Health and Food Safety | Informal | Permanent | ACTIVE | 10-06-2022 | 0 | NA | NA | |
| E03864 | to support the implementation of the Action Plans on customs cooperation on Intellectual Property Rights (IPR) signed with China and with Hong Kong, which are the two main countries of origin for IPR infringing goods arriving at the EU Single market. The Action Plans concentrate on the exchange of detention statistics, of general risk information and of case-specific information, as well as the joint analysis of such information to improve customs risk management. The expert group will operate for the entire duration of the Action Plans. | False | Customs | Limited | EXPERT GROUP ON THE IMPLEMENTATION OF THE ACTION PLANS ON CUSTOMS COOPERATION IN IPR BETWEEN THE EU AND CHINA AND HONG-KONG | 04-01-2023 | Assist the Commission in relation to the implementation of existing Union legislation, programmes and policies#other (1.to establish cooperation and coordination between the Commission and Member States on questions relating to the implementation of the Action Plans on customs cooperation on IPR signed with China and Hong-Kong; 2.to discuss the implementation of the Action Plans on customs cooperation on IPR with the customs administrations of China and Hong-Kong; 3.to bring about an exchange of experience and good practice in the field of customs enforcement of IPR, by liaising with the customs administrations of China and Hong-Kong.) | E03864 | DG Taxation and Customs Union | Informal | Permanent | ACTIVE | 03-01-2023 | 0 | NA | NA | ||
| E03865_0 | The Group shall assist the Commission in delivering on the objectives identified in the RePower EU Communication and subsequent Plan. | True | Energy | Limited | Matching bids | 06-09-2022 | Assist the Commission in the preparation of legislative proposals and policy initiatives | E03865 | DG Energy | Informal | Permanent | ACTIVE | 01-03-2023 | 0 | NA | NA | ||
| E03865_1 | The Group shall assist the Commission in delivering on the objectives identified in the RePower EU Communication and subsequent Plan. | True | Energy | Limited | Product standardisation | 06-09-2022 | Assist the Commission in the preparation of legislative proposals and policy initiatives | E03865 | DG Energy | Informal | Permanent | ACTIVE | 01-03-2023 | 0 | NA | NA | ||
| X03866 | The monitoring of steel research projects | False | Research and Innovation | Limited | Technical Group on Steel 1 - Iron and steelmaking | 30-08-2022 | other (To monitor research and pilot or demonstration projects) | TGA1 | X03866 | DG Research and Innovation | Formal | Permanent | ACTIVE | 03-10-2022 | 0 | NA | NA | |
| X03867 | The monitoring of steel research projects | False | Research and Innovation | Limited | Technical Group on Steel 2 - Downstream steel processing | 30-08-2022 | other (To monitor research and pilot or demonstration projects) | TGA 2 | X03867 | DG Research and Innovation | Formal | Permanent | ACTIVE | 03-10-2022 | 0 | NA | NA | |
| X03868 | The monitoring of steel research projects | False | Research and Innovation | Limited | Technical Group on Steel 3 - Conception of steel products | 30-08-2022 | other (To monitor research and pilot or demonstration projects) | TGA3 | X03868 | DG Research and Innovation | Formal | Permanent | ACTIVE | 03-10-2022 | 0 | NA | NA | |
| X03869 | The monitoring of steel research projects | False | Research and Innovation | Limited | Technical Group on Steel 4 - Steel solutions for existing and new markets | 30-08-2022 | other (To monitor research and pilot or demonstration projects) | TGA4 | X03869 | DG Research and Innovation | Formal | Permanent | ACTIVE | 03-10-2022 | 0 | NA | NA | |
| X03870 | The monitoring of steel research projects | False | Research and Innovation | Limited | Technical Group on Steel 5 - Steel factories - smart and human | 30-08-2022 | other (To monitor research and pilot or demonstration projects) | TGA5 | X03870 | DG Research and Innovation | Formal | Permanent | ACTIVE | 03-10-2022 | 0 | NA | NA | |
| X03871 | The monitoring of steel research projects | False | Research and Innovation | Limited | Technical Group on Coal 1 - Post-Mining Issues, Safe and Productive Coal Mining Operations | 30-08-2022 | other (To monitor research and pilot or demonstration projects) | TGK1 | X03871 | DG Research and Innovation | Formal | Permanent | ACTIVE | 03-10-2022 | 0 | NA | NA | |
| X03872 | The monitoring of steel research projects | False | Research and Innovation | Limited | Technical Group on Coal 2 - Environmental, Technical and Economic Issues related to Coal Treatment and Use | 30-08-2022 | other (To monitor research and pilot or demonstration projects) | TGK2 | X03872 | DG Research and Innovation | Formal | Permanent | ACTIVE | 03-10-2022 | 0 | NA | NA | |
| E03888 | All matters related to forests and forestry, in particular as regards the implementation of the New EU Forest Strategy for 2030, preparation of policy initiatives in this field, exchange of experience and good practice, including in the field of Sustainable Forest Management and , monitoring of policy developments | False | Agriculture#Climate#Environment | Limited | Forest and Forestry Stakeholder Platform | 09-01-2023 | Assist the Commission in relation to the implementation of existing Union legislation, programmes and policies#Coordinate with Member States, exchange of views | E03888 | DG Agriculture and Rural Development | Informal | Temporary | ACTIVE | 18-01-2023 | ['DG Climate Action', 'DG Environment'] | 0 | NA | NA | |
| E03896 | The Assembly should notably promote exchange and networking among public and private entities active in the CAP and provide the strategic framework for their activity, including the thematic work, and ensure appropriate monitoring and assessment of the same activity. | False | Agriculture#other (Network related to the CAP Strategic Plans, innovation) | Limited | EUROPEAN CAP NETWORK | 17-02-2023 | Coordinate with Member States, exchange of views | E03896 | DG Agriculture and Rural Development | Formal | Permanent | ACTIVE | 17-02-2023 | 0 | NA | NA | ||
| E03898 | The overall mission of the group will be to assist the European Commission to strengthen cooperation with the European private sector in a structured way as part of the Global Gateway strategy and implementation. | False | Development | Broad | Expert Group Global Gateway Business Advisory Group | 08-03-2023 | other (Exchange of views with the EU private sector) | GG BAG | E03898 | DG International Partnerships | Informal | Permanent | ACTIVE | 08-03-2023 | ['DG Internal Market, Industry, Entrepreneurship and SMEs', 'DG Neighbourhood and Enlargement Negotiations', 'DG Trade'] | 0 | NA | NA |
| E03899 | In its Communication of 9 November 2022 entitled ‘Ensuring availability and affordability of fertilisers’ the Commission committed to establish an observatory for fertilisers markets in the EU. To this end, the Commission's responsible services - Directorate-General for Agriculture and Rural Development ('DG AGRI') – has been charged to set up the EU Fertilisers Market Observatory as a group of experts on availability and affordability of fertilisers | False | Agriculture | Limited | EU FERTILISERS MARKET OBSERVATORY | 03-03-2023 | other (- to provide the Commission with advice and expertise regarding the economic and other relevant factors affecting fertiliser markets developments -to provide the Commission with "first hand" information about fertiliser markets situation including data; -to highlight and assess the current fertilisersmarkets situation for the sake of economic operators, the Commission and the public at large; -to assist the Commission in fostering market transparency along the supply chain in the fertiliser markets; -to exchange experience and good practices in the field of fertilisers markets) | E03899 | DG Agriculture and Rural Development | Informal | Temporary | ACTIVE | 03-03-2023 | 0 | NA | NA |
Liste des groupes sans siège
| id | ID_GROUP | name | last_updated | active_since |
|---|---|---|---|---|
| E01302 | E01302_1 | WG COS - CPNP-CosIng | 18-02-2023 | 20-01-2006 |
| E01329 | E01329_1 | SUBGROUP ON FIRE | 01-03-2023 | 27-09-2005 |
| E01346 | E01346_0 | Member States Expert Group on Non Road Mobile Machinery | 27-02-2023 | 13-02-2006 |
| E01521 | E01521_1 | DGAS Partnership Group | 09-03-2023 | 03-10-2005 |
| E01732 | E01732_0 | Task force on ecosystem accounting | 22-12-2022 | 13-12-2005 |
| E02264 | E02264_0 | Expert group on Cosmetic ingredients | 16-01-2023 | 10-02-2009 |
| E02264 | E02264_1 | Expert group on Methodologies | 16-01-2023 | 10-02-2009 |
| E02264 | E02264_2 | Expert group on Nanomaterials | 16-01-2023 | 10-02-2009 |
| E02264 | E02264_3 | ICCG | 16-01-2023 | 10-02-2009 |
| E02666 | E02666_1 | Working Group on Economic Performance | 07-03-2023 | 06-07-2011 |
| E02673 | E02673_0 | TF on Allocation of road transport to NACE/HH | 24-11-2022 | 08-07-2011 |
| E02679 | E02679_0 | Subgroup on Health Public Procurement (HPP) | 01-12-2022 | 06-09-2011 |
| E02730 | E02730_1 | Subgroup arable crops and olive oil | 09-03-2023 | 15-12-2011 |
| E02730 | E02730_2 | Subgroup beef carcase classification | 09-03-2023 | 15-12-2011 |
| E02730 | E02730_4 | Subgroup olive oil chemists | 09-03-2023 | 15-12-2011 |
| E02730 | E02730_5 | Subgroup pig carcase classification | 09-03-2023 | 15-12-2011 |
| E02730 | E02730_6 | Subgroup spirit drinks | 09-03-2023 | 15-12-2011 |
| E02730 | E02730_7 | Subgroup wine | 09-03-2023 | 15-12-2011 |
| E02750 | E02750_0 | Coordination and strengthening regional cooperation (Liaison meeting)) | 06-03-2023 | 24-02-2012 |
| E02750 | E02750_1 | Coordination of DCF implementation by Member States (National Correspondents' meeting) | 06-03-2023 | 24-02-2012 |
| E02750 | E02750_2 | Coordination of socio-economic data collection on fisheries processing industry and aquaculture (PGECON) | 06-03-2023 | 24-02-2012 |
| E02750 | E02750_3 | Data storage, exchange and dissemination (IT development) | 06-03-2023 | 24-02-2012 |
| E02795 | E02795_0 | Sub-group on Eco-innovations under the Commissison Expert Group for CO2 Emissions from Road Vehicles | 07-03-2023 | 15-06-2012 |
| E02852 | E02852_0 | Technical Groups-to be defined (title, tasks and composition) by the Policy Group at its first meeting | 08-06-2022 | 04-12-2012 |
| E02869 | E02869_0 | Air Emissions from Ships | 28-02-2023 | 01-10-2013 |
| E02869 | E02869_1 | Ship Energy Efficiency | 28-02-2023 | 01-10-2013 |
| E02869 | E02869_2 | Sustainable Alternative Power for Shipping- Mid- to Long-Term Solutions for Maritime GHG Emissions Reductions | 28-02-2023 | 01-10-2013 |
| E02869 | E02869_3 | Waste from Ships(Port Reception Facilities & Ship-Source Pollution ) | 28-02-2023 | 01-10-2013 |
| E03006 | E03006_0 | Action Group 1 - Implementation of the Memorandum of Understanding (MoU) | 30-06-2022 | 26-02-2014 |
| E03006 | E03006_1 | Subgroup 1 - Consistent implementation and enforcement of the AVMSD framework | 30-06-2022 | 26-02-2014 |
| E03006 | E03006_2 | Subgroup 2 - Completion of the EU regulatory framework relevant for media | 30-06-2022 | 26-02-2014 |
| E03006 | E03006_3 | Subgroup 3 - Countering disinformation and strengthening democracy in the digital environment | 30-06-2022 | 26-02-2014 |
| E03026 | E03026_0 | Verification of Effectiveness of Official Controls | 02-02-2023 | 13-05-2014 |
| E03118 | E03118_0 | Sub-group on social matters related to aircrews | 30-09-2022 | 26-05-2014 |
| E03280 | E03280_0 | DLTF II SG I | 28-02-2023 | 04-05-2015 |
| E03280 | E03280_1 | DTLF II SG II | 28-02-2023 | 04-05-2015 |
| E03280 | E03280_2 | DTLF II SG III | 28-02-2023 | 04-05-2015 |
| E03321 | E03321_0 | Sub-group on a common data approach for electric mobility and other alternative fuels | 18-02-2023 | 01-07-2015 |
| E03364 | E03364_0 | Development of eLearning module on customs control equipment | 09-01-2023 | 01-10-2015 |
| E03419 | E03419_10 | 12. Customs Status and Transit | 10-03-2023 | 17-05-2016 |
| E03422 | E03422_0 | Electronic cigarettes | 21-02-2023 | 12-05-2016 |
| E03542 | E03542_1 | Sustainable Ports sub-group | 01-02-2023 | 29-05-2017 |
| X03565 | X03565_0 | 01 - Notified Bodies Oversight (NBO) | 08-03-2023 | 10-01-2018 |
| X03565 | X03565_1 | 02 - Standards | 08-03-2023 | 10-01-2018 |
| X03565 | X03565_2 | 03 - Clinical Investigation and Evaluation (CIE) | 08-03-2023 | 10-01-2018 |
| X03565 | X03565_3 | 04 - Post-Market Surveillance and Vigilance (PMSV) | 08-03-2023 | 10-01-2018 |
| X03565 | X03565_4 | 05 - Market Surveillance | 08-03-2023 | 10-01-2018 |
| X03565 | X03565_5 | 06 - Borderline and Classification (B&C) | 08-03-2023 | 10-01-2018 |
| X03565 | X03565_6 | 07 - New Technologies | 08-03-2023 | 10-01-2018 |
| X03565 | X03565_7 | 08 - EUDAMED | 08-03-2023 | 10-01-2018 |
| X03565 | X03565_8 | 09 - Unique Device Identification (UDI) | 08-03-2023 | 10-01-2018 |
| X03565 | X03565_9 | 10 - International Matters | 08-03-2023 | 10-01-2018 |
| X03565 | X03565_10 | 11 - In vitro Diagnostic Medical Devices (IVD) | 08-03-2023 | 10-01-2018 |
| X03565 | X03565_11 | 12 - Nomenclature | 08-03-2023 | 10-01-2018 |
| X03565 | X03565_12 | 13 - Annex XVI | 08-03-2023 | 10-01-2018 |
| E03574 | E03574_0 | Working Group sanctioning of environmental offences | 22-11-2022 | 28-02-2018 |
| E03686 | E03686_0 | Forgiving roadsides and self explaining and self enforcing roads | 19-11-2021 | 13-11-2019 |
| E03686 | E03686_1 | SG1: Road Markings & Road Signs | 19-11-2021 | 13-11-2019 |
| E03686 | E03686_2 | SG2: Methodology on road safety assessments & safety ratings | 19-11-2021 | 13-11-2019 |
| X03731 | X03731_0 | Monitoring of capital flows | 20-02-2023 | 18-06-2020 |
| X03731 | X03731_1 | Technical Working Group | 20-02-2023 | 18-06-2020 |
| X03731 | X03731_2 | Usability and data | 20-02-2023 | 18-06-2020 |
| E03756 | E03756_1 | European Open Science Cloud Steering Board Committee | 14-11-2022 | 16-02-2021 |
| E03763 | E03763_0 | Subgroup on open finance | 06-03-2023 | 15-03-2021 |
| E03773 | E03773_0 | Subgroup on asset freezes and reporting | 07-03-2023 | 29-04-2021 |
| E03776 | E03776_0 | Cement, building limes and other hydraulic binders | 02-03-2023 | 26-08-2021 |
| E03776 | E03776_6 | Thermal insulating products. composite insulating kits/systems | 02-03-2023 | 26-08-2021 |
| E03782 | E03782 | INFORMAL COMMISSION EXPERT GROUP ON THE EUROPEAN ARREST WARRANT (EAW) | 17-11-2022 | 06-07-2021 |
| E03794 | E03794_1 | Factory farming | 02-03-2023 | 09-08-2021 |
| E03794 | E03794_3 | Fertilisers | 02-03-2023 | 09-08-2021 |
| E03794 | E03794_5 | Innovative buildings and structures | 02-03-2023 | 09-08-2021 |
| E03794 | E03794_6 | Insects | 02-03-2023 | 09-08-2021 |
| E03794 | E03794_7 | Plant protection | 02-03-2023 | 09-08-2021 |
| E03824 | E03824 | INFORMAL COMMISSION EXPERT GROUP ON THE REVISION OF THE BARCELONA TARGETS | 06-09-2022 | 30-11-2021 |
| E03828 | E03828_0 | UNION CIVIL PROTECTION KNOWLEDGE NETWORK DISASTER RISK MANAGEMENT SCIENCE AND PLANNING | 28-10-2022 | 07-12-2021 |
| E03828 | E03828_1 | UNION CIVIL PROTECTION KNOWLEDGE NETWORK TRAINING AND EXERCISES WORKING GROUP | 28-10-2022 | 07-12-2021 |
| E03834 | E03834_0 | Border Management | 16-12-2022 | 01-02-2022 |
| E03834 | E03834_1 | Disaster Resilient Societies | 16-12-2022 | 01-02-2022 |
| E03834 | E03834_2 | Fighting Crime and Terrorism, including resilient infrastructure | 16-12-2022 | 01-02-2022 |
| E03834 | E03834_3 | Strengthened Security Research and Innovation | 16-12-2022 | 01-02-2022 |
| E03835 | E03835_0 | Cooperation | 07-03-2023 | 26-01-2022 |
| E03835 | E03835_1 | Customs Controls | 07-03-2023 | 26-01-2022 |
| E03835 | E03835_2 | Data Analytics/Indicators Definition/Guidance Notes | 07-03-2023 | 26-01-2022 |
| E03835 | E03835_3 | Facilitation | 07-03-2023 | 26-01-2022 |
| E03835 | E03835_4 | Protection | 07-03-2023 | 26-01-2022 |
| E03840 | E03840_0 | Expert Group on B2B data sharing and cloud computing contracts / Sub-group - stakeholders | 19-12-2022 | 23-02-2022 |
| E03843 | E03843 | High-Level Expert Group (HLEG) on Scaling up Sustainable Finance in low- and middle-income countries | 24-10-2022 | 21-03-2022 |
| E03853 | E03853 | Antimicrobial Resistance One Health Network | 10-06-2022 | 10-06-2022 |
| E03864 | E03864 | EXPERT GROUP ON THE IMPLEMENTATION OF THE ACTION PLANS ON CUSTOMS COOPERATION IN IPR BETWEEN THE EU AND CHINA AND HONG-KONG | 03-01-2023 | 04-01-2023 |
| E03865 | E03865_0 | Matching bids | 01-03-2023 | 06-09-2022 |
| E03865 | E03865_1 | Product standardisation | 01-03-2023 | 06-09-2022 |
| X03866 | X03866 | Technical Group on Steel 1 - Iron and steelmaking | 03-10-2022 | 30-08-2022 |
| X03867 | X03867 | Technical Group on Steel 2 - Downstream steel processing | 03-10-2022 | 30-08-2022 |
| X03868 | X03868 | Technical Group on Steel 3 - Conception of steel products | 03-10-2022 | 30-08-2022 |
| X03869 | X03869 | Technical Group on Steel 4 - Steel solutions for existing and new markets | 03-10-2022 | 30-08-2022 |
| X03870 | X03870 | Technical Group on Steel 5 - Steel factories - smart and human | 03-10-2022 | 30-08-2022 |
| X03871 | X03871 | Technical Group on Coal 1 - Post-Mining Issues, Safe and Productive Coal Mining Operations | 03-10-2022 | 30-08-2022 |
| X03872 | X03872 | Technical Group on Coal 2 - Environmental, Technical and Economic Issues related to Coal Treatment and Use | 03-10-2022 | 30-08-2022 |
| E03888 | E03888 | Forest and Forestry Stakeholder Platform | 18-01-2023 | 09-01-2023 |
| E03896 | E03896 | EUROPEAN CAP NETWORK | 17-02-2023 | 17-02-2023 |
| E03898 | E03898 | Expert Group Global Gateway Business Advisory Group | 08-03-2023 | 08-03-2023 |
| E03899 | E03899 | EU FERTILISERS MARKET OBSERVATORY | 03-03-2023 | 03-03-2023 |
On a 102 groupes et sous-groupes qui n’ont pas de sièges, qui se retrouvent sur 53 groupes différents.
Répartition par policy_area des groupes et des sièges
`summarise()` has grouped output by 'id'. You can override using the `.groups`
argument.
| policy_areas | n_group | group_pct | siege | siege_pct |
|---|---|---|---|---|
| Statistics | 79 | 9 % | 5389 | 13 % |
| Environment | 67 | 7 % | 3639 | 9 % |
| Transport | 52 | 6 % | 2978 | 7 % |
| Enterprise | 44 | 5 % | 2654 | 6 % |
| Internal Market | 66 | 7 % | 2628 | 6 % |
| Justice and Home Affairs | 61 | 7 % | 2372 | 6 % |
| Other | 44 | 5 % | 2313 | 6 % |
| Agriculture | 39 | 4 % | 1824 | 4 % |
| Public Health | 35 | 4 % | 1577 | 4 % |
| Employment and Social Affairs | 24 | 3 % | 1558 | 4 % |
| Food Safety | 25 | 3 % | 1544 | 4 % |
| Customs | 35 | 4 % | 1325 | 3 % |
| Research and Innovation | 44 | 5 % | 1309 | 3 % |
| Education | 27 | 3 % | 1087 | 3 % |
| Energy | 32 | 4 % | 1052 | 3 % |
| Fisheries and Maritime Affairs | 16 | 2 % | 942 | 2 % |
| Climate | 20 | 2 % | 873 | 2 % |
| Information Society | 22 | 2 % | 839 | 2 % |
| Taxation | 19 | 2 % | 675 | 2 % |
| Consumer affairs | 16 | 2 % | 650 | 2 % |
| External Trade | 14 | 2 % | 396 | 1 % |
| Human rights | 9 | 1 % | 370 | 1 % |
| Economic and Monetary Affairs | 13 | 1 % | 346 | 1 % |
| Development | 14 | 2 % | 317 | 1 % |
| Civil protection | 8 | 1 % | 265 | 1 % |
| Regional Policy | 9 | 1 % | 264 | 1 % |
| Fraud prevention | 6 | 1 % | 258 | 1 % |
| External Relations | 10 | 1 % | 234 | 1 % |
| Communication | 5 | 1 % | 211 | 1 % |
| Training | 5 | 1 % | 186 | 0 % |
| Administration | 6 | 1 % | 164 | 0 % |
| Culture | 4 | 0 % | 164 | 0 % |
| Sport | 3 | 0 % | 149 | 0 % |
| Institutional affairs | 2 | 0 % | 114 | 0 % |
| Youth | 3 | 0 % | 97 | 0 % |
| Budget | 3 | 0 % | 85 | 0 % |
| Enlargement | 3 | 0 % | 84 | 0 % |
| Audiovisual | 2 | 0 % | 77 | 0 % |
| Competition | 3 | 0 % | 71 | 0 % |
| Nuclear safety | 3 | 0 % | 43 | 0 % |
| Languages and multilingualism | 2 | 0 % | 36 | 0 % |
| Humanitarian aid | 2 | 0 % | 34 | 0 % |
| Foreign and Security Policy | 1 | 0 % | 7 | 0 % |
Répartition des tasks
`summarise()` has grouped output by 'id'. You can override using the `.groups`
argument.
| tasks | n_group | group_pct | siege | siege_pct |
|---|---|---|---|---|
| coord MS | 417 | 29 % | 21707 | 28 % |
| prep legis | 320 | 22 % | 18048 | 23 % |
| implement | 253 | 17 % | 12567 | 16 % |
| prep deleg acts | 173 | 12 % | 9322 | 12 % |
| Other | 163 | 11 % | 7825 | 10 % |
| prep act implement comito | 131 | 9 % | 7384 | 10 % |
En fonction de la DG
Pourcentage colonne
| Characteristic | coord MS N = 4171 |
implement N = 2531 |
Other N = 1631 |
prep act implement comito N = 1311 |
prep deleg acts N = 1731 |
prep legis N = 3201 |
Overall N = 1,4571 |
|---|---|---|---|---|---|---|---|
| lead_dg | |||||||
| DG Agriculture and Rural Development | 13 (3.1%) | 10 (4.0%) | 14 (8.6%) | 9 (6.9%) | 6 (3.5%) | 11 (3.4%) | 63 (4.3%) |
| DG Budget | 0 (0%) | 0 (0%) | 0 (0%) | 0 (0%) | 1 (0.6%) | 1 (0.3%) | 2 (0.1%) |
| DG Climate Action | 4 (1.0%) | 3 (1.2%) | 2 (1.2%) | 4 (3.1%) | 6 (3.5%) | 3 (0.9%) | 22 (1.5%) |
| DG Communications Networks, Content and Technology | 15 (3.6%) | 13 (5.1%) | 8 (4.9%) | 6 (4.6%) | 6 (3.5%) | 7 (2.2%) | 55 (3.8%) |
| DG Competition | 0 (0%) | 0 (0%) | 1 (0.6%) | 0 (0%) | 0 (0%) | 0 (0%) | 1 (<0.1%) |
| DG Defence Industry and Space | 6 (1.4%) | 3 (1.2%) | 2 (1.2%) | 2 (1.5%) | 5 (2.9%) | 5 (1.6%) | 23 (1.6%) |
| DG Economic and Financial Affairs | 4 (1.0%) | 1 (0.4%) | 2 (1.2%) | 0 (0%) | 0 (0%) | 2 (0.6%) | 9 (0.6%) |
| DG Education and Culture | 14 (3.4%) | 5 (2.0%) | 4 (2.5%) | 0 (0%) | 2 (1.2%) | 9 (2.8%) | 34 (2.3%) |
| DG Employment, Social Affairs and Inclusion | 12 (2.9%) | 6 (2.4%) | 6 (3.7%) | 2 (1.5%) | 1 (0.6%) | 8 (2.5%) | 35 (2.4%) |
| DG Energy | 16 (3.8%) | 13 (5.1%) | 4 (2.5%) | 3 (2.3%) | 8 (4.6%) | 14 (4.4%) | 58 (4.0%) |
| DG Environment | 38 (9.1%) | 26 (10%) | 8 (4.9%) | 16 (12%) | 20 (12%) | 22 (6.9%) | 130 (8.9%) |
| DG Financial Stability, Financial Services and Capital Markets Union | 8 (1.9%) | 5 (2.0%) | 2 (1.2%) | 3 (2.3%) | 5 (2.9%) | 15 (4.7%) | 38 (2.6%) |
| DG for Structural Reform Support | 1 (0.2%) | 0 (0%) | 0 (0%) | 0 (0%) | 0 (0%) | 0 (0%) | 1 (<0.1%) |
| DG Health and Food Safety | 29 (7.0%) | 23 (9.1%) | 13 (8.0%) | 11 (8.4%) | 22 (13%) | 18 (5.6%) | 116 (8.0%) |
| DG Human Resources and Security | 1 (0.2%) | 0 (0%) | 0 (0%) | 0 (0%) | 0 (0%) | 1 (0.3%) | 2 (0.1%) |
| DG Humanitarian Aid and Civil Protection | 3 (0.7%) | 2 (0.8%) | 1 (0.6%) | 2 (1.5%) | 1 (0.6%) | 2 (0.6%) | 11 (0.8%) |
| DG Informatics | 1 (0.2%) | 1 (0.4%) | 0 (0%) | 0 (0%) | 1 (0.6%) | 1 (0.3%) | 4 (0.3%) |
| DG Internal Market, Industry, Entrepreneurship and SMEs | 43 (10%) | 30 (12%) | 15 (9.2%) | 23 (18%) | 20 (12%) | 34 (11%) | 165 (11%) |
| DG International Partnerships | 9 (2.2%) | 1 (0.4%) | 1 (0.6%) | 0 (0%) | 0 (0%) | 2 (0.6%) | 13 (0.9%) |
| DG Justice and Consumers | 17 (4.1%) | 13 (5.1%) | 6 (3.7%) | 3 (2.3%) | 2 (1.2%) | 19 (5.9%) | 60 (4.1%) |
| DG Maritime Affairs and Fisheries | 8 (1.9%) | 5 (2.0%) | 6 (3.7%) | 3 (2.3%) | 4 (2.3%) | 8 (2.5%) | 34 (2.3%) |
| DG Migration and Home Affairs | 15 (3.6%) | 9 (3.6%) | 10 (6.1%) | 4 (3.1%) | 8 (4.6%) | 8 (2.5%) | 54 (3.7%) |
| DG Mobility and Transport | 31 (7.4%) | 29 (11%) | 8 (4.9%) | 19 (15%) | 27 (16%) | 37 (12%) | 151 (10%) |
| DG Regional and Urban Policy | 6 (1.4%) | 6 (2.4%) | 4 (2.5%) | 2 (1.5%) | 1 (0.6%) | 2 (0.6%) | 21 (1.4%) |
| DG Research and Innovation | 7 (1.7%) | 10 (4.0%) | 10 (6.1%) | 3 (2.3%) | 0 (0%) | 11 (3.4%) | 41 (2.8%) |
| DG Taxation and Customs Union | 28 (6.7%) | 19 (7.5%) | 11 (6.7%) | 4 (3.1%) | 6 (3.5%) | 11 (3.4%) | 79 (5.4%) |
| DG Trade | 5 (1.2%) | 1 (0.4%) | 1 (0.6%) | 0 (0%) | 3 (1.7%) | 1 (0.3%) | 11 (0.8%) |
| DG Translation | 0 (0%) | 0 (0%) | 1 (0.6%) | 0 (0%) | 0 (0%) | 0 (0%) | 1 (<0.1%) |
| European Anti-Fraud Office | 4 (1.0%) | 1 (0.4%) | 0 (0%) | 1 (0.8%) | 2 (1.2%) | 2 (0.6%) | 10 (0.7%) |
| European Personnel Selection Office | 0 (0%) | 0 (0%) | 1 (0.6%) | 0 (0%) | 0 (0%) | 0 (0%) | 1 (<0.1%) |
| Eurostat | 71 (17%) | 10 (4.0%) | 19 (12%) | 10 (7.6%) | 12 (6.9%) | 64 (20%) | 186 (13%) |
| Health Emergency Preparedness and Response Authority | 2 (0.5%) | 2 (0.8%) | 2 (1.2%) | 0 (0%) | 0 (0%) | 0 (0%) | 6 (0.4%) |
| Joint Research Centre | 0 (0%) | 2 (0.8%) | 0 (0%) | 0 (0%) | 0 (0%) | 0 (0%) | 2 (0.1%) |
| Secretariat-General | 4 (1.0%) | 3 (1.2%) | 1 (0.6%) | 1 (0.8%) | 2 (1.2%) | 1 (0.3%) | 12 (0.8%) |
| Service for Foreign Policy Instruments | 2 (0.5%) | 1 (0.4%) | 0 (0%) | 0 (0%) | 2 (1.2%) | 1 (0.3%) | 6 (0.4%) |
| 1 n (%) | |||||||
`summarise()` has grouped output by 'lead_dg'. You can override using the
`.groups` argument.
| n_group | Other | coord MS | implement | prep act implement comito | prep deleg acts | prep legis | |
|---|---|---|---|---|---|---|---|
| DG Agriculture and Rural Development | 30 | 14 ( 47 % ) | 13 ( 43 % ) | 10 ( 33 % ) | 9 ( 30 % ) | 6 ( 20 % ) | 11 ( 37 % ) |
| DG Budget | 2 | 0 ( 0 % ) | 0 ( 0 % ) | 0 ( 0 % ) | 0 ( 0 % ) | 1 ( 50 % ) | 1 ( 50 % ) |
| DG Climate Action | 6 | 2 ( 33 % ) | 4 ( 67 % ) | 3 ( 50 % ) | 4 ( 67 % ) | 6 ( 100 % ) | 3 ( 50 % ) |
| DG Communications Networks, Content and Technology | 23 | 8 ( 35 % ) | 15 ( 65 % ) | 13 ( 57 % ) | 6 ( 26 % ) | 6 ( 26 % ) | 7 ( 30 % ) |
| DG Competition | 1 | 1 ( 100 % ) | 0 ( 0 % ) | 0 ( 0 % ) | 0 ( 0 % ) | 0 ( 0 % ) | 0 ( 0 % ) |
| DG Defence Industry and Space | 10 | 2 ( 20 % ) | 6 ( 60 % ) | 3 ( 30 % ) | 2 ( 20 % ) | 5 ( 50 % ) | 5 ( 50 % ) |
| DG Economic and Financial Affairs | 6 | 2 ( 33 % ) | 4 ( 67 % ) | 1 ( 17 % ) | 0 ( 0 % ) | 0 ( 0 % ) | 2 ( 33 % ) |
| DG Education and Culture | 18 | 4 ( 22 % ) | 14 ( 78 % ) | 5 ( 28 % ) | 0 ( 0 % ) | 2 ( 11 % ) | 9 ( 50 % ) |
| DG Employment, Social Affairs and Inclusion | 24 | 6 ( 25 % ) | 12 ( 50 % ) | 6 ( 25 % ) | 2 ( 8 % ) | 1 ( 4 % ) | 8 ( 33 % ) |
| DG Energy | 25 | 4 ( 16 % ) | 16 ( 64 % ) | 13 ( 52 % ) | 3 ( 12 % ) | 8 ( 32 % ) | 14 ( 56 % ) |
| DG Environment | 52 | 8 ( 15 % ) | 38 ( 73 % ) | 26 ( 50 % ) | 16 ( 31 % ) | 20 ( 38 % ) | 22 ( 42 % ) |
| DG Financial Stability, Financial Services and Capital Markets Union | 17 | 2 ( 12 % ) | 8 ( 47 % ) | 5 ( 29 % ) | 3 ( 18 % ) | 5 ( 29 % ) | 15 ( 88 % ) |
| DG Health and Food Safety | 45 | 13 ( 29 % ) | 29 ( 64 % ) | 23 ( 51 % ) | 11 ( 24 % ) | 22 ( 49 % ) | 18 ( 40 % ) |
| DG Human Resources and Security | 1 | 0 ( 0 % ) | 1 ( 100 % ) | 0 ( 0 % ) | 0 ( 0 % ) | 0 ( 0 % ) | 1 ( 100 % ) |
| DG Humanitarian Aid and Civil Protection | 5 | 1 ( 20 % ) | 3 ( 60 % ) | 2 ( 40 % ) | 2 ( 40 % ) | 1 ( 20 % ) | 2 ( 40 % ) |
| DG Informatics | 1 | 0 ( 0 % ) | 1 ( 100 % ) | 1 ( 100 % ) | 0 ( 0 % ) | 1 ( 100 % ) | 1 ( 100 % ) |
| DG Internal Market, Industry, Entrepreneurship and SMEs | 69 | 15 ( 22 % ) | 43 ( 62 % ) | 30 ( 43 % ) | 23 ( 33 % ) | 20 ( 29 % ) | 34 ( 49 % ) |
| DG International Partnerships | 11 | 1 ( 9 % ) | 9 ( 82 % ) | 1 ( 9 % ) | 0 ( 0 % ) | 0 ( 0 % ) | 2 ( 18 % ) |
| DG Justice and Consumers | 36 | 6 ( 17 % ) | 17 ( 47 % ) | 13 ( 36 % ) | 3 ( 8 % ) | 2 ( 6 % ) | 19 ( 53 % ) |
| DG Maritime Affairs and Fisheries | 10 | 6 ( 60 % ) | 8 ( 80 % ) | 5 ( 50 % ) | 3 ( 30 % ) | 4 ( 40 % ) | 8 ( 80 % ) |
| DG Migration and Home Affairs | 28 | 10 ( 36 % ) | 15 ( 54 % ) | 9 ( 32 % ) | 4 ( 14 % ) | 8 ( 29 % ) | 8 ( 29 % ) |
| DG Mobility and Transport | 47 | 8 ( 17 % ) | 31 ( 66 % ) | 29 ( 62 % ) | 19 ( 40 % ) | 27 ( 57 % ) | 37 ( 79 % ) |
| DG Regional and Urban Policy | 8 | 4 ( 50 % ) | 6 ( 75 % ) | 6 ( 75 % ) | 2 ( 25 % ) | 1 ( 12 % ) | 2 ( 25 % ) |
| DG Research and Innovation | 32 | 10 ( 31 % ) | 7 ( 22 % ) | 10 ( 31 % ) | 3 ( 9 % ) | 0 ( 0 % ) | 11 ( 34 % ) |
| DG Taxation and Customs Union | 49 | 11 ( 22 % ) | 28 ( 57 % ) | 19 ( 39 % ) | 4 ( 8 % ) | 6 ( 12 % ) | 11 ( 22 % ) |
| DG Trade | 7 | 1 ( 14 % ) | 5 ( 71 % ) | 1 ( 14 % ) | 0 ( 0 % ) | 3 ( 43 % ) | 1 ( 14 % ) |
| DG Translation | 1 | 1 ( 100 % ) | 0 ( 0 % ) | 0 ( 0 % ) | 0 ( 0 % ) | 0 ( 0 % ) | 0 ( 0 % ) |
| DG for Structural Reform Support | 1 | 0 ( 0 % ) | 1 ( 100 % ) | 0 ( 0 % ) | 0 ( 0 % ) | 0 ( 0 % ) | 0 ( 0 % ) |
| European Anti-Fraud Office | 4 | 0 ( 0 % ) | 4 ( 100 % ) | 1 ( 25 % ) | 1 ( 25 % ) | 2 ( 50 % ) | 2 ( 50 % ) |
| European Personnel Selection Office | 1 | 1 ( 100 % ) | 0 ( 0 % ) | 0 ( 0 % ) | 0 ( 0 % ) | 0 ( 0 % ) | 0 ( 0 % ) |
| Eurostat | 79 | 19 ( 24 % ) | 71 ( 90 % ) | 10 ( 13 % ) | 10 ( 13 % ) | 12 ( 15 % ) | 64 ( 81 % ) |
| Health Emergency Preparedness and Response Authority | 2 | 2 ( 100 % ) | 2 ( 100 % ) | 2 ( 100 % ) | 0 ( 0 % ) | 0 ( 0 % ) | 0 ( 0 % ) |
| Joint Research Centre | 2 | 0 ( 0 % ) | 0 ( 0 % ) | 2 ( 100 % ) | 0 ( 0 % ) | 0 ( 0 % ) | 0 ( 0 % ) |
| Secretariat-General | 5 | 1 ( 20 % ) | 4 ( 80 % ) | 3 ( 60 % ) | 1 ( 20 % ) | 2 ( 40 % ) | 1 ( 20 % ) |
| Service for Foreign Policy Instruments | 2 | 0 ( 0 % ) | 2 ( 100 % ) | 1 ( 50 % ) | 0 ( 0 % ) | 2 ( 100 % ) | 1 ( 50 % ) |
Tasks par type de siège
| Characteristic | Type A N = 2,0771 |
Type B N = 1,0481 |
Type C N = 13,9071 |
Type D N = 50,8241 |
Type E N = 8,7041 |
Overall N = 76,5601 |
|---|---|---|---|---|---|---|
| tasks | ||||||
| coord MS | 217 (10%) | 8 (0.8%) | 2,787 (20%) | 15,772 (31%) | 2,853 (33%) | 21,637 (28%) |
| prep legis | 583 (28%) | 520 (50%) | 2,859 (21%) | 11,492 (23%) | 2,531 (29%) | 17,985 (23%) |
| implement | 406 (20%) | 406 (39%) | 2,754 (20%) | 7,896 (16%) | 1,049 (12%) | 12,511 (16%) |
| prep deleg acts | 53 (2.6%) | 10 (1.0%) | 1,498 (11%) | 6,761 (13%) | 957 (11%) | 9,279 (12%) |
| Other | 685 (33%) | 45 (4.3%) | 2,215 (16%) | 4,188 (8.2%) | 659 (7.6%) | 7,792 (10%) |
| prep act implement comito | 133 (6.4%) | 59 (5.6%) | 1,794 (13%) | 4,715 (9.3%) | 655 (7.5%) | 7,356 (9.6%) |
| 1 n (%) | ||||||
`summarise()` has grouped output by 'TYPE_SEAT'. You can override using the
`.groups` argument.
| n_seats | Other | coord MS | implement | prep act implement comito | prep deleg acts | prep legis | |
|---|---|---|---|---|---|---|---|
| Type A | 1329 | 685 ( 52 % ) | 217 ( 16 % ) | 406 ( 31 % ) | 133 ( 10 % ) | 53 ( 4 % ) | 583 ( 44 % ) |
| Type B | 566 | 45 ( 8 % ) | 8 ( 1 % ) | 406 ( 72 % ) | 59 ( 10 % ) | 10 ( 2 % ) | 520 ( 92 % ) |
| Type C | 5820 | 2215 ( 38 % ) | 2787 ( 48 % ) | 2754 ( 47 % ) | 1794 ( 31 % ) | 1498 ( 26 % ) | 2859 ( 49 % ) |
| Type D | 20423 | 4188 ( 21 % ) | 15772 ( 77 % ) | 7896 ( 39 % ) | 4715 ( 23 % ) | 6761 ( 33 % ) | 11492 ( 56 % ) |
| Type E | 3581 | 659 ( 18 % ) | 2853 ( 80 % ) | 1049 ( 29 % ) | 655 ( 18 % ) | 957 ( 27 % ) | 2531 ( 71 % ) |
Tasks ‘Other’
MISSIONS
2. Analyse des types
Sur les groupes hybrides
Tableau pour l’ensemble des types
| Composition des groupes | ||
| Effectif et fréquence | ||
| dif_type | n | percent |
|---|---|---|
| Type D-Type E | 332 | 32.58 |
| Type D | 270 | 26.50 |
| Type C-Type D-Type E | 180 | 17.66 |
| Type A | 54 | 5.30 |
| Type C | 46 | 4.51 |
| Type C-Type D | 40 | 3.93 |
| Type C-Type E | 17 | 1.67 |
| Type A-Type C-Type D-Type E | 15 | 1.47 |
| Type A-Type C | 10 | 0.98 |
| Type B-Type D | 9 | 0.88 |
| Type A-Type C-Type D | 5 | 0.49 |
| Type A-Type C-Type E | 5 | 0.49 |
| Type A-Type B-Type E | 4 | 0.39 |
| Type A-Type B | 3 | 0.29 |
| Type A-Type B-Type C-Type D-Type E | 3 | 0.29 |
| Type A-Type B-Type C-Type E | 3 | 0.29 |
| Type A-Type D-Type E | 3 | 0.29 |
| Type A-Type E | 3 | 0.29 |
| Type B | 3 | 0.29 |
| Type A-Type B-Type C | 2 | 0.20 |
| Type B-Type C | 2 | 0.20 |
| Type B-Type C-Type D | 2 | 0.20 |
| Type E | 2 | 0.20 |
| Type A-Type B-Type C-Type D | 1 | 0.10 |
| Type A-Type B-Type D | 1 | 0.10 |
| Type A-Type D | 1 | 0.10 |
| Type B-Type C-Type D-Type E | 1 | 0.10 |
| Type B-Type D-Type E | 1 | 0.10 |
| Type B-Type E | 1 | 0.10 |
Analyse Type D
[1] 864
[1] 551
Les types D sont présents dans 864 groupes et sous-groupes au total. Si on regarde uniquement les groupes, les types D sont présents dans 551 groupes sur 660 (644 si on compte seulement les groupes qui ont des sièges).
| Composition des groupes avec un Type D | ||
| Effectif et fréquence | ||
| dif_type | n | percent |
|---|---|---|
| Type D-Type E | 332 | 38.43 |
| Type D | 270 | 31.25 |
| Type C-Type D-Type E | 180 | 20.83 |
| Type C-Type D | 40 | 4.63 |
| Type A-Type C-Type D-Type E | 15 | 1.74 |
| Type B-Type D | 9 | 1.04 |
| Type A-Type C-Type D | 5 | 0.58 |
| Type A-Type B-Type C-Type D-Type E | 3 | 0.35 |
| Type A-Type D-Type E | 3 | 0.35 |
| Type B-Type C-Type D | 2 | 0.23 |
| Type A-Type B-Type C-Type D | 1 | 0.12 |
| Type A-Type B-Type D | 1 | 0.12 |
| Type A-Type D | 1 | 0.12 |
| Type B-Type C-Type D-Type E | 1 | 0.12 |
| Type B-Type D-Type E | 1 | 0.12 |
Le plus souvent, les types D sont présent seulement avec des types E (38,43%), seul (31,25%), ou avec des types C et E (20,83%). Ces trois combinaisons représententent plus de 90% des groupes et sous-groupes où un type D est présent.
Indicateurs de présences des types avec le Type D
`summarise()` has grouped output by 'ID_GROUP'. You can override using the
`.groups` argument.
| TYPE_SEAT | MEAN | VARIANCE | Standard_dev | MEDIANE | n | CI-95 |
|---|---|---|---|---|---|---|
| Type A | 5.48 | 40.40 | 6.36 | 2 | 29 | 3.06 - 7.9 |
| Type B | 17.33 | 1859.53 | 43.12 | 10 | 18 | -4.11 - 38.77 |
| Type C | 16.06 | 294.94 | 17.17 | 11 | 247 | 13.91 - 18.21 |
| Type D | 23.64 | 48.81 | 6.99 | 27 | 864 | 23.17 - 24.11 |
| Type E | 6.47 | 28.00 | 5.29 | 4 | 535 | 6.02 - 6.92 |
Dans les groupes où l’on a des types D, on a en moyene 5,48 type A, une médiane à 2, et on retrouve 29 groupes avec des types A et des types D (pas forcément exclusivement). On a un intervalle de confiance à 95% pour la moyenne, qui se situe entre 3 et 8 type A dans un groupe avec un type D.
`summarise()` has grouped output by 'ID_GROUP'. You can override using the
`.groups` argument.

En moyenne, dans les groupes où les types D sont présents, il y a 23,64 sièges de type D et 6, 47 sièeges de type E.
Pourcentage pour les types avec le type D
`summarise()` has grouped output by 'ID_GROUP'. You can override using the
`.groups` argument.
| TYPE_SEAT | n | percent |
|---|---|---|
| Type A | 159 | 1 % |
| Type B | 312 | 1 % |
| Type C | 3967 | 14 % |
| Type D | 20423 | 72 % |
| Type E | 3462 | 12 % |
Dans l’ensemble des groupes où un type D est présent, 72% des sièges sont occupés par les types D et 14% des types C.
Analyse Type A
| TYPE_SEAT | MEAN | VARIANCE | Standard_dev | MEDIANE | n | CI-95 |
|---|---|---|---|---|---|---|
| Type A | 11.76 | 137.22 | 11.71 | 10.0 | 113 | 9.58 - 13.94 |
| Type B | 18.65 | 2017.24 | 44.91 | 4.0 | 17 | -4.44 - 41.74 |
| Type C | 17.05 | 487.81 | 22.09 | 8.5 | 44 | 10.33 - 23.77 |
| Type D | 16.24 | 129.98 | 11.40 | 23.0 | 29 | 11.9 - 20.58 |
| Type E | 4.69 | 19.02 | 4.36 | 3.0 | 36 | 3.21 - 6.17 |
| Composition des groupes avec un Type A | |||
| Effectif et fréquence | |||
| dif_type | n | percent | percent_tot |
|---|---|---|---|
| Type A | 54 | 47.79 % | 8.39 % |
| Type A-Type C-Type D-Type E | 15 | 13.27 % | 2.33 % |
| Type A-Type C | 10 | 8.85 % | 1.55 % |
| Type A-Type C-Type D | 5 | 4.42 % | 0.78 % |
| Type A-Type C-Type E | 5 | 4.42 % | 0.78 % |
| Type A-Type B-Type E | 4 | 3.54 % | 0.62 % |
| Type A-Type B | 3 | 2.65 % | 0.47 % |
| Type A-Type B-Type C-Type D-Type E | 3 | 2.65 % | 0.47 % |
| Type A-Type B-Type C-Type E | 3 | 2.65 % | 0.47 % |
| Type A-Type D-Type E | 3 | 2.65 % | 0.47 % |
| Type A-Type E | 3 | 2.65 % | 0.47 % |
| Type A-Type B-Type C | 2 | 1.77 % | 0.31 % |
| Type A-Type B-Type C-Type D | 1 | 0.88 % | 0.16 % |
| Type A-Type B-Type D | 1 | 0.88 % | 0.16 % |
| Type A-Type D | 1 | 0.88 % | 0.16 % |
| TYPE_SEAT | n | percent |
|---|---|---|
| Type A | 1329 | 44 % |
| Type B | 317 | 10 % |
| Type C | 750 | 25 % |
| Type D | 471 | 16 % |
| Type E | 169 | 6 % |

Analyse Type B
| TYPE_SEAT | MEAN | VARIANCE | Standard_dev | MEDIANE | n | CI-95 |
|---|---|---|---|---|---|---|
| Type A | 8.71 | 40.85 | 6.39 | 8.0 | 17 | 5.42 - 12 |
| Type B | 15.72 | 1025.81 | 32.03 | 10.0 | 36 | 4.88 - 26.56 |
| Type C | 19.21 | 463.72 | 21.53 | 17.5 | 14 | 6.78 - 31.64 |
| Type D | 13.56 | 122.85 | 11.08 | 5.0 | 18 | 8.05 - 19.07 |
| Type E | 3.38 | 3.59 | 1.89 | 3.0 | 13 | 2.24 - 4.52 |
| Composition des groupes avec un Type B | |||
| Effectif et fréquence | |||
| dif_type | n | percent | percent_tot |
|---|---|---|---|
| Type B-Type D | 9 | 25 % | 1.4 % |
| Type A-Type B-Type E | 4 | 11.11 % | 0.62 % |
| Type A-Type B | 3 | 8.33 % | 0.47 % |
| Type A-Type B-Type C-Type D-Type E | 3 | 8.33 % | 0.47 % |
| Type A-Type B-Type C-Type E | 3 | 8.33 % | 0.47 % |
| Type B | 3 | 8.33 % | 0.47 % |
| Type A-Type B-Type C | 2 | 5.56 % | 0.31 % |
| Type B-Type C | 2 | 5.56 % | 0.31 % |
| Type B-Type C-Type D | 2 | 5.56 % | 0.31 % |
| Type A-Type B-Type C-Type D | 1 | 2.78 % | 0.16 % |
| Type A-Type B-Type D | 1 | 2.78 % | 0.16 % |
| Type B-Type C-Type D-Type E | 1 | 2.78 % | 0.16 % |
| Type B-Type D-Type E | 1 | 2.78 % | 0.16 % |
| Type B-Type E | 1 | 2.78 % | 0.16 % |
| TYPE_SEAT | n | percent |
|---|---|---|
| Type A | 148 | 12 % |
| Type B | 566 | 45 % |
| Type C | 269 | 21 % |
| Type D | 244 | 19 % |
| Type E | 44 | 3 % |

Analyse Type C
| TYPE_SEAT | MEAN | VARIANCE | Standard_dev | MEDIANE | n | CI-95 |
|---|---|---|---|---|---|---|
| Type A | 7.25 | 38.01 | 6.16 | 6 | 44 | 5.38 - 9.12 |
| Type B | 15.86 | 2487.82 | 49.88 | 2 | 14 | -12.94 - 44.66 |
| Type C | 17.53 | 304.21 | 17.44 | 11 | 332 | 15.65 - 19.41 |
| Type D | 22.38 | 68.18 | 8.26 | 27 | 247 | 21.34 - 23.42 |
| Type E | 5.88 | 24.03 | 4.90 | 4 | 224 | 5.23 - 6.53 |
| Composition des groupes avec un Type C | |||
| Effectif et fréquence | |||
| dif_type | n | percent | percent_tot |
|---|---|---|---|
| Type C-Type D-Type E | 180 | 54.22 % | 27.95 % |
| Type C | 46 | 13.86 % | 7.14 % |
| Type C-Type D | 40 | 12.05 % | 6.21 % |
| Type C-Type E | 17 | 5.12 % | 2.64 % |
| Type A-Type C-Type D-Type E | 15 | 4.52 % | 2.33 % |
| Type A-Type C | 10 | 3.01 % | 1.55 % |
| Type A-Type C-Type D | 5 | 1.51 % | 0.78 % |
| Type A-Type C-Type E | 5 | 1.51 % | 0.78 % |
| Type A-Type B-Type C-Type D-Type E | 3 | 0.9 % | 0.47 % |
| Type A-Type B-Type C-Type E | 3 | 0.9 % | 0.47 % |
| Type A-Type B-Type C | 2 | 0.6 % | 0.31 % |
| Type B-Type C | 2 | 0.6 % | 0.31 % |
| Type B-Type C-Type D | 2 | 0.6 % | 0.31 % |
| Type A-Type B-Type C-Type D | 1 | 0.3 % | 0.16 % |
| Type B-Type C-Type D-Type E | 1 | 0.3 % | 0.16 % |
| TYPE_SEAT | n | percent |
|---|---|---|
| Type A | 319 | 2 % |
| Type B | 222 | 2 % |
| Type C | 5820 | 44 % |
| Type D | 5529 | 42 % |
| Type E | 1317 | 10 % |

Analyse Type E
| TYPE_SEAT | MEAN | VARIANCE | Standard_dev | MEDIANE | n | CI-95 |
|---|---|---|---|---|---|---|
| Type A | 8.64 | 55.38 | 7.44 | 7 | 36 | 6.12 - 11.16 |
| Type B | 28.31 | 2623.56 | 51.22 | 10 | 13 | -2.64 - 59.26 |
| Type C | 17.14 | 342.47 | 18.51 | 11 | 224 | 14.7 - 19.58 |
| Type D | 24.33 | 38.49 | 6.20 | 27 | 535 | 23.8 - 24.86 |
| Type E | 6.28 | 27.41 | 5.24 | 4 | 570 | 5.85 - 6.71 |
| Composition des groupes avec un Type E | |||
| Effectif et fréquence | |||
| dif_type | n | percent | percent_tot |
|---|---|---|---|
| Type D-Type E | 332 | 58.25 % | 51.55 % |
| Type C-Type D-Type E | 180 | 31.58 % | 27.95 % |
| Type C-Type E | 17 | 2.98 % | 2.64 % |
| Type A-Type C-Type D-Type E | 15 | 2.63 % | 2.33 % |
| Type A-Type C-Type E | 5 | 0.88 % | 0.78 % |
| Type A-Type B-Type E | 4 | 0.7 % | 0.62 % |
| Type A-Type B-Type C-Type D-Type E | 3 | 0.53 % | 0.47 % |
| Type A-Type B-Type C-Type E | 3 | 0.53 % | 0.47 % |
| Type A-Type D-Type E | 3 | 0.53 % | 0.47 % |
| Type A-Type E | 3 | 0.53 % | 0.47 % |
| Type E | 2 | 0.35 % | 0.31 % |
| Type B-Type C-Type D-Type E | 1 | 0.18 % | 0.16 % |
| Type B-Type D-Type E | 1 | 0.18 % | 0.16 % |
| Type B-Type E | 1 | 0.18 % | 0.16 % |
| TYPE_SEAT | n | percent |
|---|---|---|
| Type A | 311 | 1 % |
| Type B | 368 | 2 % |
| Type C | 3839 | 18 % |
| Type D | 13015 | 62 % |
| Type E | 3581 | 17 % |

Tasks en fonction des compositions des groupes
`summarise()` has grouped output by 'TYPE_SEAT'. You can override using the
`.groups` argument.
| n_group | Other | coord MS | implement | prep act implement comito | prep legis | prep deleg acts |
|---|---|---|---|---|---|---|
| Type A | ||||||
| 54 | 18 ( 33 % ) | 2 ( 4 % ) | 14 ( 26 % ) | 5 ( 9 % ) | 27 ( 50 % ) | 0 ( 0 % ) |
| Type A-Type B | ||||||
| 3 | 2 ( 67 % ) | 0 ( 0 % ) | 0 ( 0 % ) | 1 ( 33 % ) | 2 ( 67 % ) | 0 ( 0 % ) |
| Type A-Type B-Type C | ||||||
| 2 | 0 ( 0 % ) | 0 ( 0 % ) | 1 ( 50 % ) | 0 ( 0 % ) | 2 ( 100 % ) | 0 ( 0 % ) |
| Type A-Type B-Type C-Type D | ||||||
| 1 | 1 ( 100 % ) | 1 ( 100 % ) | 1 ( 100 % ) | 1 ( 100 % ) | 0 ( 0 % ) | 0 ( 0 % ) |
| Type A-Type B-Type C-Type D-Type E | ||||||
| 3 | 2 ( 67 % ) | 2 ( 67 % ) | 3 ( 100 % ) | 2 ( 67 % ) | 3 ( 100 % ) | 2 ( 67 % ) |
| Type A-Type B-Type C-Type E | ||||||
| 3 | 3 ( 100 % ) | 0 ( 0 % ) | 0 ( 0 % ) | 0 ( 0 % ) | 3 ( 100 % ) | 0 ( 0 % ) |
| Type A-Type B-Type D | ||||||
| 1 | 0 ( 0 % ) | 0 ( 0 % ) | 1 ( 100 % ) | 0 ( 0 % ) | 1 ( 100 % ) | 0 ( 0 % ) |
| Type A-Type B-Type E | ||||||
| 4 | 1 ( 25 % ) | 0 ( 0 % ) | 0 ( 0 % ) | 0 ( 0 % ) | 3 ( 75 % ) | 0 ( 0 % ) |
| Type A-Type C | ||||||
| 10 | 4 ( 40 % ) | 0 ( 0 % ) | 5 ( 50 % ) | 2 ( 20 % ) | 5 ( 50 % ) | 1 ( 10 % ) |
| Type A-Type C-Type D | ||||||
| 5 | 5 ( 100 % ) | 5 ( 100 % ) | 5 ( 100 % ) | 0 ( 0 % ) | 0 ( 0 % ) | 0 ( 0 % ) |
| Type A-Type C-Type D-Type E | ||||||
| 15 | 4 ( 27 % ) | 11 ( 73 % ) | 10 ( 67 % ) | 6 ( 40 % ) | 7 ( 47 % ) | 4 ( 27 % ) |
| Type A-Type C-Type E | ||||||
| 5 | 3 ( 60 % ) | 1 ( 20 % ) | 2 ( 40 % ) | 0 ( 0 % ) | 3 ( 60 % ) | 0 ( 0 % ) |
| Type A-Type D | ||||||
| 1 | 1 ( 100 % ) | 1 ( 100 % ) | 1 ( 100 % ) | 0 ( 0 % ) | 0 ( 0 % ) | 0 ( 0 % ) |
| Type A-Type D-Type E | ||||||
| 3 | 2 ( 67 % ) | 3 ( 100 % ) | 0 ( 0 % ) | 0 ( 0 % ) | 1 ( 33 % ) | 0 ( 0 % ) |
| Type A-Type E | ||||||
| 3 | 2 ( 67 % ) | 1 ( 33 % ) | 3 ( 100 % ) | 0 ( 0 % ) | 0 ( 0 % ) | 0 ( 0 % ) |
| Type B | ||||||
| 3 | 0 ( 0 % ) | 0 ( 0 % ) | 1 ( 33 % ) | 2 ( 67 % ) | 3 ( 100 % ) | 0 ( 0 % ) |
| Type B-Type C | ||||||
| 2 | 1 ( 50 % ) | 0 ( 0 % ) | 1 ( 50 % ) | 0 ( 0 % ) | 0 ( 0 % ) | 1 ( 50 % ) |
| Type B-Type C-Type D | ||||||
| 2 | 0 ( 0 % ) | 0 ( 0 % ) | 2 ( 100 % ) | 0 ( 0 % ) | 0 ( 0 % ) | 2 ( 100 % ) |
| Type B-Type C-Type D-Type E | ||||||
| 1 | 0 ( 0 % ) | 1 ( 100 % ) | 0 ( 0 % ) | 0 ( 0 % ) | 0 ( 0 % ) | 1 ( 100 % ) |
| Type B-Type D | ||||||
| 9 | 0 ( 0 % ) | 0 ( 0 % ) | 9 ( 100 % ) | 0 ( 0 % ) | 9 ( 100 % ) | 0 ( 0 % ) |
| Type B-Type D-Type E | ||||||
| 1 | 0 ( 0 % ) | 0 ( 0 % ) | 1 ( 100 % ) | 0 ( 0 % ) | 0 ( 0 % ) | 0 ( 0 % ) |
| Type B-Type E | ||||||
| 1 | 0 ( 0 % ) | 0 ( 0 % ) | 1 ( 100 % ) | 0 ( 0 % ) | 1 ( 100 % ) | 0 ( 0 % ) |
| Type C | ||||||
| 46 | 19 ( 41 % ) | 7 ( 15 % ) | 16 ( 35 % ) | 10 ( 22 % ) | 22 ( 48 % ) | 3 ( 7 % ) |
| Type C-Type D | ||||||
| 40 | 16 ( 40 % ) | 22 ( 55 % ) | 13 ( 32 % ) | 6 ( 15 % ) | 19 ( 48 % ) | 3 ( 7 % ) |
| Type C-Type D-Type E | ||||||
| 180 | 35 ( 19 % ) | 130 ( 72 % ) | 91 ( 51 % ) | 63 ( 35 % ) | 120 ( 67 % ) | 76 ( 42 % ) |
| Type C-Type E | ||||||
| 17 | 13 ( 76 % ) | 0 ( 0 % ) | 1 ( 6 % ) | 2 ( 12 % ) | 5 ( 29 % ) | 2 ( 12 % ) |
| Type D | ||||||
| 270 | 56 ( 21 % ) | 216 ( 80 % ) | 104 ( 39 % ) | 58 ( 21 % ) | 123 ( 46 % ) | 93 ( 34 % ) |
| Type D-Type E | ||||||
| 332 | 59 ( 18 % ) | 265 ( 80 % ) | 94 ( 28 % ) | 56 ( 17 % ) | 207 ( 62 % ) | 87 ( 26 % ) |
| Type E | ||||||
| 2 | 0 ( 0 % ) | 1 ( 50 % ) | 0 ( 0 % ) | 0 ( 0 % ) | 1 ( 50 % ) | 1 ( 50 % ) |
| Characteristic | coord MS N = 6691 |
implement N = 3801 |
Other N = 2471 |
prep act implement comito N = 2141 |
prep deleg acts N = 2761 |
prep legis N = 5671 |
|---|---|---|---|---|---|---|
| TYPE_SEAT | ||||||
| Type A | 2 (0.3%) | 14 (3.7%) | 18 (7.3%) | 5 (2.3%) | 0 (0%) | 27 (4.8%) |
| Type A-Type B | 0 (0%) | 0 (0%) | 2 (0.8%) | 1 (0.5%) | 0 (0%) | 2 (0.4%) |
| Type A-Type B-Type C | 0 (0%) | 1 (0.3%) | 0 (0%) | 0 (0%) | 0 (0%) | 2 (0.4%) |
| Type A-Type B-Type C-Type D | 1 (0.1%) | 1 (0.3%) | 1 (0.4%) | 1 (0.5%) | 0 (0%) | 0 (0%) |
| Type A-Type B-Type C-Type D-Type E | 2 (0.3%) | 3 (0.8%) | 2 (0.8%) | 2 (0.9%) | 2 (0.7%) | 3 (0.5%) |
| Type A-Type B-Type C-Type E | 0 (0%) | 0 (0%) | 3 (1.2%) | 0 (0%) | 0 (0%) | 3 (0.5%) |
| Type A-Type B-Type D | 0 (0%) | 1 (0.3%) | 0 (0%) | 0 (0%) | 0 (0%) | 1 (0.2%) |
| Type A-Type B-Type E | 0 (0%) | 0 (0%) | 1 (0.4%) | 0 (0%) | 0 (0%) | 3 (0.5%) |
| Type A-Type C | 0 (0%) | 5 (1.3%) | 4 (1.6%) | 2 (0.9%) | 1 (0.4%) | 5 (0.9%) |
| Type A-Type C-Type D | 5 (0.7%) | 5 (1.3%) | 5 (2.0%) | 0 (0%) | 0 (0%) | 0 (0%) |
| Type A-Type C-Type D-Type E | 11 (1.6%) | 10 (2.6%) | 4 (1.6%) | 6 (2.8%) | 4 (1.4%) | 7 (1.2%) |
| Type A-Type C-Type E | 1 (0.1%) | 2 (0.5%) | 3 (1.2%) | 0 (0%) | 0 (0%) | 3 (0.5%) |
| Type A-Type D | 1 (0.1%) | 1 (0.3%) | 1 (0.4%) | 0 (0%) | 0 (0%) | 0 (0%) |
| Type A-Type D-Type E | 3 (0.4%) | 0 (0%) | 2 (0.8%) | 0 (0%) | 0 (0%) | 1 (0.2%) |
| Type A-Type E | 1 (0.1%) | 3 (0.8%) | 2 (0.8%) | 0 (0%) | 0 (0%) | 0 (0%) |
| Type B | 0 (0%) | 1 (0.3%) | 0 (0%) | 2 (0.9%) | 0 (0%) | 3 (0.5%) |
| Type B-Type C | 0 (0%) | 1 (0.3%) | 1 (0.4%) | 0 (0%) | 1 (0.4%) | 0 (0%) |
| Type B-Type C-Type D | 0 (0%) | 2 (0.5%) | 0 (0%) | 0 (0%) | 2 (0.7%) | 0 (0%) |
| Type B-Type C-Type D-Type E | 1 (0.1%) | 0 (0%) | 0 (0%) | 0 (0%) | 1 (0.4%) | 0 (0%) |
| Type B-Type D | 0 (0%) | 9 (2.4%) | 0 (0%) | 0 (0%) | 0 (0%) | 9 (1.6%) |
| Type B-Type D-Type E | 0 (0%) | 1 (0.3%) | 0 (0%) | 0 (0%) | 0 (0%) | 0 (0%) |
| Type B-Type E | 0 (0%) | 1 (0.3%) | 0 (0%) | 0 (0%) | 0 (0%) | 1 (0.2%) |
| Type C | 7 (1.0%) | 16 (4.2%) | 19 (7.7%) | 10 (4.7%) | 3 (1.1%) | 22 (3.9%) |
| Type C-Type D | 22 (3.3%) | 13 (3.4%) | 16 (6.5%) | 6 (2.8%) | 3 (1.1%) | 19 (3.4%) |
| Type C-Type D-Type E | 130 (19%) | 91 (24%) | 35 (14%) | 63 (29%) | 76 (28%) | 120 (21%) |
| Type C-Type E | 0 (0%) | 1 (0.3%) | 13 (5.3%) | 2 (0.9%) | 2 (0.7%) | 5 (0.9%) |
| Type D | 216 (32%) | 104 (27%) | 56 (23%) | 58 (27%) | 93 (34%) | 123 (22%) |
| Type D-Type E | 265 (40%) | 94 (25%) | 59 (24%) | 56 (26%) | 87 (32%) | 207 (37%) |
| Type E | 1 (0.1%) | 0 (0%) | 0 (0%) | 0 (0%) | 1 (0.4%) | 1 (0.2%) |
| 1 n (%) | ||||||
odds ratio ?
3. Les occupants
Individus
L’ensemble des individus uniques
| Characteristic | N = 2,9791 |
|---|---|
| GENDER | |
| male | 1,706 (57%) |
| female | 1,240 (42%) |
| 28 (0.9%) | |
| ? | 5 (0.2%) |
| COUNTRY | |
| 1,483 (50%) | |
| Germany | 178 (6.0%) |
| Italy | 159 (5.3%) |
| France | 119 (4.0%) |
| Spain | 110 (3.7%) |
| Belgium | 96 (3.2%) |
| Netherlands | 86 (2.9%) |
| Poland | 67 (2.2%) |
| Greece | 52 (1.7%) |
| Sweden | 48 (1.6%) |
| Finland | 47 (1.6%) |
| United Kingdom | 44 (1.5%) |
| Austria | 43 (1.4%) |
| Ireland | 43 (1.4%) |
| Portugal | 43 (1.4%) |
| Denmark | 39 (1.3%) |
| Romania | 34 (1.1%) |
| Hungary | 27 (0.9%) |
| Bulgaria | 23 (0.8%) |
| Croatia | 22 (0.7%) |
| Cyprus | 21 (0.7%) |
| Estonia | 21 (0.7%) |
| Lithuania | 20 (0.7%) |
| Czech Republic | 18 (0.6%) |
| Malta | 18 (0.6%) |
| Latvia | 16 (0.5%) |
| Slovenia | 16 (0.5%) |
| Norway | 14 (0.5%) |
| Luxembourg | 13 (0.4%) |
| Slovakia | 13 (0.4%) |
| Switzerland | 8 (0.3%) |
| United States of America | 8 (0.3%) |
| Iceland | 3 (0.1%) |
| Serbia | 3 (0.1%) |
| Australia | 2 (<0.1%) |
| Colombia | 2 (<0.1%) |
| Israel | 2 (<0.1%) |
| Liechtenstein | 2 (<0.1%) |
| North Macedonia | 2 (<0.1%) |
| Türkiye | 2 (<0.1%) |
| Afghanistan | 1 (<0.1%) |
| Albania | 1 (<0.1%) |
| Brazil | 1 (<0.1%) |
| Cameroon | 1 (<0.1%) |
| Canada | 1 (<0.1%) |
| Kenya | 1 (<0.1%) |
| Korea, South | 1 (<0.1%) |
| Kosovo | 1 (<0.1%) |
| Pakistan | 1 (<0.1%) |
| Senegal | 1 (<0.1%) |
| South Africa | 1 (<0.1%) |
| Syria | 1 (<0.1%) |
| TYPE_SEAT | |
| indiv_admin | 1,502 (50%) |
| indiv | 1,477 (50%) |
| 1 n (%) | |
L’ensemble des individus en type A & B
| Characteristic | N = 1,4771 |
|---|---|
| GENDER | |
| male | 887 (60%) |
| female | 590 (40%) |
| COUNTRY | |
| Germany | 177 (12%) |
| Italy | 158 (11%) |
| France | 119 (8.1%) |
| Spain | 109 (7.4%) |
| Belgium | 96 (6.5%) |
| Netherlands | 86 (5.8%) |
| Poland | 66 (4.5%) |
| Greece | 52 (3.5%) |
| Sweden | 48 (3.2%) |
| Finland | 47 (3.2%) |
| United Kingdom | 44 (3.0%) |
| Austria | 43 (2.9%) |
| Ireland | 42 (2.8%) |
| Portugal | 41 (2.8%) |
| Denmark | 39 (2.6%) |
| Romania | 34 (2.3%) |
| Hungary | 26 (1.8%) |
| Bulgaria | 23 (1.6%) |
| Croatia | 22 (1.5%) |
| Estonia | 21 (1.4%) |
| Cyprus | 19 (1.3%) |
| Lithuania | 19 (1.3%) |
| Czech Republic | 17 (1.2%) |
| Malta | 16 (1.1%) |
| Slovenia | 16 (1.1%) |
| Latvia | 14 (0.9%) |
| Norway | 14 (0.9%) |
| Luxembourg | 12 (0.8%) |
| Slovakia | 11 (0.7%) |
| Switzerland | 8 (0.5%) |
| United States of America | 8 (0.5%) |
| Iceland | 3 (0.2%) |
| Serbia | 3 (0.2%) |
| Australia | 2 (0.1%) |
| Colombia | 2 (0.1%) |
| Israel | 2 (0.1%) |
| Liechtenstein | 2 (0.1%) |
| North Macedonia | 2 (0.1%) |
| Türkiye | 2 (0.1%) |
| Afghanistan | 1 (<0.1%) |
| Albania | 1 (<0.1%) |
| Brazil | 1 (<0.1%) |
| Cameroon | 1 (<0.1%) |
| Canada | 1 (<0.1%) |
| Kenya | 1 (<0.1%) |
| Korea, South | 1 (<0.1%) |
| Kosovo | 1 (<0.1%) |
| Pakistan | 1 (<0.1%) |
| Senegal | 1 (<0.1%) |
| South Africa | 1 (<0.1%) |
| Syria | 1 (<0.1%) |
| 1 n (%) | |
Individus par DG
Nationalités
pour les types A & B
| Nationalités des individus dans les DG | |||||||||||||||||||||||||
| Pourcentage en colonne | |||||||||||||||||||||||||
| Characteristic | DG Agriculture and Rural Development N = 431 |
DG Budget N = 101 |
DG Climate Action N = 151 |
DG Communications Networks, Content and Technology N = 541 |
DG Competition N = 161 |
DG Education and Culture N = 651 |
DG Employment, Social Affairs and Inclusion N = 4101 |
DG Energy N = 41 |
DG Environment N = 661 |
DG Financial Stability, Financial Services and Capital Markets Union N = 911 |
DG Health and Food Safety N = 1311 |
DG Internal Market, Industry, Entrepreneurship and SMEs N = 341 |
DG Justice and Consumers N = 2181 |
DG Maritime Affairs and Fisheries N = 1071 |
DG Migration and Home Affairs N = 811 |
DG Mobility and Transport N = 241 |
DG Research and Innovation N = 4231 |
DG Taxation and Customs Union N = 141 |
DG Translation N = 61 |
Eurostat N = 311 |
Health Emergency Preparedness and Response Authority N = 151 |
Joint Research Centre N = 141 |
Secretariat-General N = 191 |
Service for Foreign Policy Instruments N = 41 |
Overall N = 1,8951 |
|---|---|---|---|---|---|---|---|---|---|---|---|---|---|---|---|---|---|---|---|---|---|---|---|---|---|
| COUNTRY_pers | |||||||||||||||||||||||||
| Germany | 8 (19%) | 2 (20%) | 3 (20%) | 8 (15%) | 2 (13%) | 4 (6.2%) | 37 (9.0%) | 0 (0%) | 15 (23%) | 13 (14%) | 11 (8.4%) | 6 (18%) | 28 (13%) | 9 (8.4%) | 8 (9.9%) | 3 (13%) | 53 (13%) | 1 (7.1%) | 0 (0%) | 2 (6.5%) | 1 (6.7%) | 4 (29%) | 2 (11%) | 0 (0%) | 220 (12%) |
| Italy | 10 (23%) | 0 (0%) | 3 (20%) | 6 (11%) | 5 (31%) | 7 (11%) | 22 (5.4%) | 0 (0%) | 10 (15%) | 9 (9.9%) | 18 (14%) | 2 (5.9%) | 23 (11%) | 13 (12%) | 10 (12%) | 4 (17%) | 40 (9.5%) | 2 (14%) | 3 (50%) | 6 (19%) | 1 (6.7%) | 3 (21%) | 3 (16%) | 0 (0%) | 200 (11%) |
| France | 6 (14%) | 2 (20%) | 0 (0%) | 6 (11%) | 3 (19%) | 3 (4.6%) | 19 (4.6%) | 1 (25%) | 2 (3.0%) | 13 (14%) | 7 (5.3%) | 1 (2.9%) | 17 (7.8%) | 13 (12%) | 8 (9.9%) | 3 (13%) | 43 (10%) | 1 (7.1%) | 0 (0%) | 4 (13%) | 2 (13%) | 0 (0%) | 3 (16%) | 1 (25%) | 158 (8.3%) |
| Spain | 5 (12%) | 0 (0%) | 0 (0%) | 5 (9.3%) | 1 (6.3%) | 3 (4.6%) | 18 (4.4%) | 2 (50%) | 8 (12%) | 7 (7.7%) | 3 (2.3%) | 2 (5.9%) | 17 (7.8%) | 20 (19%) | 4 (4.9%) | 3 (13%) | 41 (9.7%) | 0 (0%) | 0 (0%) | 2 (6.5%) | 1 (6.7%) | 1 (7.1%) | 1 (5.3%) | 0 (0%) | 144 (7.6%) |
| Belgium | 4 (9.3%) | 0 (0%) | 2 (13%) | 1 (1.9%) | 0 (0%) | 3 (4.6%) | 40 (9.8%) | 0 (0%) | 3 (4.5%) | 6 (6.6%) | 8 (6.1%) | 4 (12%) | 10 (4.6%) | 3 (2.8%) | 3 (3.7%) | 2 (8.3%) | 29 (6.9%) | 2 (14%) | 0 (0%) | 2 (6.5%) | 1 (6.7%) | 0 (0%) | 1 (5.3%) | 1 (25%) | 125 (6.6%) |
| Netherlands | 3 (7.0%) | 0 (0%) | 1 (6.7%) | 6 (11%) | 0 (0%) | 4 (6.2%) | 24 (5.9%) | 0 (0%) | 1 (1.5%) | 6 (6.6%) | 24 (18%) | 1 (2.9%) | 15 (6.9%) | 5 (4.7%) | 5 (6.2%) | 0 (0%) | 15 (3.5%) | 1 (7.1%) | 0 (0%) | 1 (3.2%) | 1 (6.7%) | 1 (7.1%) | 0 (0%) | 0 (0%) | 114 (6.0%) |
| Poland | 0 (0%) | 0 (0%) | 0 (0%) | 1 (1.9%) | 0 (0%) | 2 (3.1%) | 10 (2.4%) | 0 (0%) | 1 (1.5%) | 7 (7.7%) | 3 (2.3%) | 2 (5.9%) | 14 (6.4%) | 2 (1.9%) | 2 (2.5%) | 1 (4.2%) | 26 (6.1%) | 3 (21%) | 0 (0%) | 1 (3.2%) | 1 (6.7%) | 0 (0%) | 1 (5.3%) | 0 (0%) | 77 (4.1%) |
| Greece | 1 (2.3%) | 0 (0%) | 0 (0%) | 2 (3.7%) | 0 (0%) | 4 (6.2%) | 10 (2.4%) | 0 (0%) | 5 (7.6%) | 1 (1.1%) | 10 (7.6%) | 0 (0%) | 11 (5.0%) | 7 (6.5%) | 6 (7.4%) | 0 (0%) | 8 (1.9%) | 0 (0%) | 1 (17%) | 2 (6.5%) | 0 (0%) | 0 (0%) | 1 (5.3%) | 0 (0%) | 69 (3.6%) |
| Sweden | 0 (0%) | 0 (0%) | 1 (6.7%) | 0 (0%) | 0 (0%) | 3 (4.6%) | 16 (3.9%) | 0 (0%) | 2 (3.0%) | 1 (1.1%) | 4 (3.1%) | 2 (5.9%) | 4 (1.8%) | 5 (4.7%) | 1 (1.2%) | 0 (0%) | 23 (5.4%) | 1 (7.1%) | 0 (0%) | 1 (3.2%) | 1 (6.7%) | 1 (7.1%) | 0 (0%) | 0 (0%) | 66 (3.5%) |
| United Kingdom | 1 (2.3%) | 4 (40%) | 1 (6.7%) | 0 (0%) | 0 (0%) | 0 (0%) | 2 (0.5%) | 0 (0%) | 4 (6.1%) | 2 (2.2%) | 10 (7.6%) | 0 (0%) | 7 (3.2%) | 6 (5.6%) | 6 (7.4%) | 1 (4.2%) | 20 (4.7%) | 0 (0%) | 0 (0%) | 0 (0%) | 0 (0%) | 0 (0%) | 0 (0%) | 1 (25%) | 65 (3.4%) |
| Ireland | 0 (0%) | 0 (0%) | 0 (0%) | 0 (0%) | 0 (0%) | 4 (6.2%) | 15 (3.7%) | 0 (0%) | 1 (1.5%) | 4 (4.4%) | 1 (0.8%) | 1 (2.9%) | 12 (5.5%) | 6 (5.6%) | 3 (3.7%) | 1 (4.2%) | 7 (1.7%) | 0 (0%) | 0 (0%) | 0 (0%) | 0 (0%) | 0 (0%) | 0 (0%) | 0 (0%) | 55 (2.9%) |
| Portugal | 1 (2.3%) | 0 (0%) | 0 (0%) | 1 (1.9%) | 0 (0%) | 3 (4.6%) | 11 (2.7%) | 0 (0%) | 0 (0%) | 3 (3.3%) | 6 (4.6%) | 0 (0%) | 8 (3.7%) | 4 (3.7%) | 4 (4.9%) | 1 (4.2%) | 12 (2.8%) | 0 (0%) | 0 (0%) | 1 (3.2%) | 0 (0%) | 0 (0%) | 0 (0%) | 0 (0%) | 55 (2.9%) |
| Austria | 0 (0%) | 0 (0%) | 0 (0%) | 1 (1.9%) | 0 (0%) | 0 (0%) | 16 (3.9%) | 0 (0%) | 0 (0%) | 2 (2.2%) | 0 (0%) | 1 (2.9%) | 7 (3.2%) | 0 (0%) | 2 (2.5%) | 1 (4.2%) | 20 (4.7%) | 1 (7.1%) | 0 (0%) | 1 (3.2%) | 0 (0%) | 1 (7.1%) | 1 (5.3%) | 0 (0%) | 54 (2.8%) |
| Denmark | 1 (2.3%) | 0 (0%) | 1 (6.7%) | 1 (1.9%) | 0 (0%) | 2 (3.1%) | 24 (5.9%) | 1 (25%) | 3 (4.5%) | 2 (2.2%) | 5 (3.8%) | 2 (5.9%) | 1 (0.5%) | 1 (0.9%) | 0 (0%) | 0 (0%) | 3 (0.7%) | 0 (0%) | 1 (17%) | 1 (3.2%) | 1 (6.7%) | 1 (7.1%) | 3 (16%) | 0 (0%) | 54 (2.8%) |
| Finland | 2 (4.7%) | 0 (0%) | 1 (6.7%) | 1 (1.9%) | 0 (0%) | 3 (4.6%) | 16 (3.9%) | 0 (0%) | 1 (1.5%) | 3 (3.3%) | 2 (1.5%) | 2 (5.9%) | 3 (1.4%) | 0 (0%) | 3 (3.7%) | 2 (8.3%) | 11 (2.6%) | 1 (7.1%) | 0 (0%) | 0 (0%) | 0 (0%) | 0 (0%) | 1 (5.3%) | 0 (0%) | 52 (2.7%) |
| Romania | 0 (0%) | 0 (0%) | 0 (0%) | 5 (9.3%) | 0 (0%) | 3 (4.6%) | 7 (1.7%) | 0 (0%) | 1 (1.5%) | 3 (3.3%) | 4 (3.1%) | 2 (5.9%) | 5 (2.3%) | 1 (0.9%) | 1 (1.2%) | 0 (0%) | 10 (2.4%) | 0 (0%) | 0 (0%) | 1 (3.2%) | 0 (0%) | 0 (0%) | 0 (0%) | 0 (0%) | 43 (2.3%) |
| Hungary | 0 (0%) | 0 (0%) | 0 (0%) | 1 (1.9%) | 0 (0%) | 2 (3.1%) | 9 (2.2%) | 0 (0%) | 1 (1.5%) | 2 (2.2%) | 1 (0.8%) | 2 (5.9%) | 6 (2.8%) | 0 (0%) | 0 (0%) | 0 (0%) | 9 (2.1%) | 1 (7.1%) | 0 (0%) | 0 (0%) | 0 (0%) | 0 (0%) | 0 (0%) | 0 (0%) | 34 (1.8%) |
| Bulgaria | 0 (0%) | 0 (0%) | 0 (0%) | 2 (3.7%) | 0 (0%) | 3 (4.6%) | 10 (2.4%) | 0 (0%) | 0 (0%) | 1 (1.1%) | 4 (3.1%) | 1 (2.9%) | 1 (0.5%) | 3 (2.8%) | 1 (1.2%) | 0 (0%) | 4 (0.9%) | 0 (0%) | 0 (0%) | 1 (3.2%) | 0 (0%) | 0 (0%) | 0 (0%) | 0 (0%) | 31 (1.6%) |
| Estonia | 0 (0%) | 0 (0%) | 1 (6.7%) | 0 (0%) | 0 (0%) | 1 (1.5%) | 11 (2.7%) | 0 (0%) | 0 (0%) | 0 (0%) | 0 (0%) | 0 (0%) | 0 (0%) | 3 (2.8%) | 1 (1.2%) | 0 (0%) | 7 (1.7%) | 0 (0%) | 0 (0%) | 5 (16%) | 0 (0%) | 0 (0%) | 0 (0%) | 0 (0%) | 29 (1.5%) |
| Croatia | 0 (0%) | 0 (0%) | 0 (0%) | 2 (3.7%) | 0 (0%) | 2 (3.1%) | 10 (2.4%) | 0 (0%) | 0 (0%) | 1 (1.1%) | 1 (0.8%) | 0 (0%) | 3 (1.4%) | 3 (2.8%) | 0 (0%) | 0 (0%) | 4 (0.9%) | 0 (0%) | 0 (0%) | 0 (0%) | 1 (6.7%) | 0 (0%) | 1 (5.3%) | 0 (0%) | 28 (1.5%) |
| Czech Republic | 0 (0%) | 0 (0%) | 0 (0%) | 1 (1.9%) | 0 (0%) | 0 (0%) | 11 (2.7%) | 0 (0%) | 0 (0%) | 0 (0%) | 2 (1.5%) | 0 (0%) | 4 (1.8%) | 0 (0%) | 0 (0%) | 0 (0%) | 5 (1.2%) | 0 (0%) | 0 (0%) | 0 (0%) | 0 (0%) | 0 (0%) | 1 (5.3%) | 0 (0%) | 24 (1.3%) |
| Lithuania | 0 (0%) | 0 (0%) | 0 (0%) | 0 (0%) | 0 (0%) | 2 (3.1%) | 9 (2.2%) | 0 (0%) | 1 (1.5%) | 2 (2.2%) | 1 (0.8%) | 0 (0%) | 1 (0.5%) | 3 (2.8%) | 0 (0%) | 0 (0%) | 2 (0.5%) | 0 (0%) | 0 (0%) | 0 (0%) | 1 (6.7%) | 0 (0%) | 0 (0%) | 0 (0%) | 22 (1.2%) |
| Cyprus | 0 (0%) | 0 (0%) | 0 (0%) | 1 (1.9%) | 0 (0%) | 2 (3.1%) | 10 (2.4%) | 0 (0%) | 0 (0%) | 1 (1.1%) | 0 (0%) | 1 (2.9%) | 1 (0.5%) | 0 (0%) | 1 (1.2%) | 0 (0%) | 4 (0.9%) | 0 (0%) | 0 (0%) | 0 (0%) | 0 (0%) | 0 (0%) | 0 (0%) | 0 (0%) | 21 (1.1%) |
| Slovenia | 0 (0%) | 0 (0%) | 1 (6.7%) | 1 (1.9%) | 0 (0%) | 0 (0%) | 8 (2.0%) | 0 (0%) | 1 (1.5%) | 1 (1.1%) | 0 (0%) | 0 (0%) | 3 (1.4%) | 0 (0%) | 0 (0%) | 0 (0%) | 6 (1.4%) | 0 (0%) | 0 (0%) | 0 (0%) | 0 (0%) | 0 (0%) | 0 (0%) | 0 (0%) | 21 (1.1%) |
| Malta | 0 (0%) | 0 (0%) | 0 (0%) | 0 (0%) | 0 (0%) | 2 (3.1%) | 10 (2.4%) | 0 (0%) | 0 (0%) | 0 (0%) | 0 (0%) | 0 (0%) | 5 (2.3%) | 0 (0%) | 0 (0%) | 0 (0%) | 3 (0.7%) | 0 (0%) | 0 (0%) | 0 (0%) | 0 (0%) | 0 (0%) | 0 (0%) | 0 (0%) | 20 (1.1%) |
| Slovakia | 0 (0%) | 0 (0%) | 0 (0%) | 0 (0%) | 0 (0%) | 0 (0%) | 7 (1.7%) | 0 (0%) | 0 (0%) | 0 (0%) | 3 (2.3%) | 0 (0%) | 1 (0.5%) | 0 (0%) | 1 (1.2%) | 0 (0%) | 4 (0.9%) | 0 (0%) | 0 (0%) | 0 (0%) | 0 (0%) | 0 (0%) | 0 (0%) | 0 (0%) | 16 (0.8%) |
| Latvia | 0 (0%) | 0 (0%) | 0 (0%) | 1 (1.9%) | 0 (0%) | 1 (1.5%) | 7 (1.7%) | 0 (0%) | 0 (0%) | 1 (1.1%) | 0 (0%) | 0 (0%) | 1 (0.5%) | 0 (0%) | 0 (0%) | 0 (0%) | 3 (0.7%) | 0 (0%) | 1 (17%) | 0 (0%) | 0 (0%) | 0 (0%) | 0 (0%) | 0 (0%) | 15 (0.8%) |
| Luxembourg | 0 (0%) | 0 (0%) | 0 (0%) | 0 (0%) | 0 (0%) | 0 (0%) | 10 (2.4%) | 0 (0%) | 0 (0%) | 0 (0%) | 0 (0%) | 0 (0%) | 1 (0.5%) | 0 (0%) | 0 (0%) | 0 (0%) | 3 (0.7%) | 0 (0%) | 0 (0%) | 0 (0%) | 0 (0%) | 0 (0%) | 0 (0%) | 0 (0%) | 14 (0.7%) |
| Norway | 0 (0%) | 0 (0%) | 0 (0%) | 0 (0%) | 0 (0%) | 0 (0%) | 4 (1.0%) | 0 (0%) | 1 (1.5%) | 0 (0%) | 0 (0%) | 0 (0%) | 1 (0.5%) | 0 (0%) | 0 (0%) | 2 (8.3%) | 3 (0.7%) | 0 (0%) | 0 (0%) | 0 (0%) | 3 (20%) | 0 (0%) | 0 (0%) | 0 (0%) | 14 (0.7%) |
| Switzerland | 1 (2.3%) | 2 (20%) | 0 (0%) | 0 (0%) | 0 (0%) | 0 (0%) | 1 (0.2%) | 0 (0%) | 1 (1.5%) | 0 (0%) | 3 (2.3%) | 0 (0%) | 0 (0%) | 0 (0%) | 1 (1.2%) | 0 (0%) | 1 (0.2%) | 0 (0%) | 0 (0%) | 0 (0%) | 0 (0%) | 0 (0%) | 0 (0%) | 0 (0%) | 10 (0.5%) |
| United States of America | 0 (0%) | 0 (0%) | 0 (0%) | 0 (0%) | 4 (25%) | 0 (0%) | 0 (0%) | 0 (0%) | 0 (0%) | 0 (0%) | 0 (0%) | 1 (2.9%) | 0 (0%) | 0 (0%) | 1 (1.2%) | 0 (0%) | 0 (0%) | 0 (0%) | 0 (0%) | 0 (0%) | 0 (0%) | 2 (14%) | 0 (0%) | 0 (0%) | 8 (0.4%) |
| Iceland | 0 (0%) | 0 (0%) | 0 (0%) | 0 (0%) | 0 (0%) | 1 (1.5%) | 3 (0.7%) | 0 (0%) | 0 (0%) | 0 (0%) | 0 (0%) | 0 (0%) | 0 (0%) | 0 (0%) | 0 (0%) | 0 (0%) | 0 (0%) | 0 (0%) | 0 (0%) | 0 (0%) | 0 (0%) | 0 (0%) | 0 (0%) | 0 (0%) | 4 (0.2%) |
| Kosovo | 0 (0%) | 0 (0%) | 0 (0%) | 0 (0%) | 0 (0%) | 0 (0%) | 0 (0%) | 0 (0%) | 0 (0%) | 0 (0%) | 0 (0%) | 0 (0%) | 4 (1.8%) | 0 (0%) | 0 (0%) | 0 (0%) | 0 (0%) | 0 (0%) | 0 (0%) | 0 (0%) | 0 (0%) | 0 (0%) | 0 (0%) | 0 (0%) | 4 (0.2%) |
| Serbia | 0 (0%) | 0 (0%) | 0 (0%) | 0 (0%) | 0 (0%) | 1 (1.5%) | 0 (0%) | 0 (0%) | 1 (1.5%) | 0 (0%) | 0 (0%) | 0 (0%) | 0 (0%) | 0 (0%) | 1 (1.2%) | 0 (0%) | 1 (0.2%) | 0 (0%) | 0 (0%) | 0 (0%) | 0 (0%) | 0 (0%) | 0 (0%) | 0 (0%) | 4 (0.2%) |
| Australia | 0 (0%) | 0 (0%) | 0 (0%) | 0 (0%) | 0 (0%) | 0 (0%) | 0 (0%) | 0 (0%) | 2 (3.0%) | 0 (0%) | 0 (0%) | 0 (0%) | 1 (0.5%) | 0 (0%) | 0 (0%) | 0 (0%) | 0 (0%) | 0 (0%) | 0 (0%) | 0 (0%) | 0 (0%) | 0 (0%) | 0 (0%) | 0 (0%) | 3 (0.2%) |
| Liechtenstein | 0 (0%) | 0 (0%) | 0 (0%) | 0 (0%) | 0 (0%) | 0 (0%) | 3 (0.7%) | 0 (0%) | 0 (0%) | 0 (0%) | 0 (0%) | 0 (0%) | 0 (0%) | 0 (0%) | 0 (0%) | 0 (0%) | 0 (0%) | 0 (0%) | 0 (0%) | 0 (0%) | 0 (0%) | 0 (0%) | 0 (0%) | 0 (0%) | 3 (0.2%) |
| Colombia | 0 (0%) | 0 (0%) | 0 (0%) | 0 (0%) | 0 (0%) | 0 (0%) | 0 (0%) | 0 (0%) | 0 (0%) | 0 (0%) | 0 (0%) | 0 (0%) | 1 (0.5%) | 0 (0%) | 1 (1.2%) | 0 (0%) | 0 (0%) | 0 (0%) | 0 (0%) | 0 (0%) | 0 (0%) | 0 (0%) | 0 (0%) | 0 (0%) | 2 (0.1%) |
| Israel | 0 (0%) | 0 (0%) | 0 (0%) | 0 (0%) | 1 (6.3%) | 0 (0%) | 0 (0%) | 0 (0%) | 0 (0%) | 0 (0%) | 0 (0%) | 0 (0%) | 0 (0%) | 0 (0%) | 0 (0%) | 0 (0%) | 1 (0.2%) | 0 (0%) | 0 (0%) | 0 (0%) | 0 (0%) | 0 (0%) | 0 (0%) | 0 (0%) | 2 (0.1%) |
| North Macedonia | 0 (0%) | 0 (0%) | 0 (0%) | 0 (0%) | 0 (0%) | 0 (0%) | 0 (0%) | 0 (0%) | 0 (0%) | 0 (0%) | 0 (0%) | 0 (0%) | 2 (0.9%) | 0 (0%) | 0 (0%) | 0 (0%) | 0 (0%) | 0 (0%) | 0 (0%) | 0 (0%) | 0 (0%) | 0 (0%) | 0 (0%) | 0 (0%) | 2 (0.1%) |
| Türkiye | 0 (0%) | 0 (0%) | 0 (0%) | 0 (0%) | 0 (0%) | 0 (0%) | 0 (0%) | 0 (0%) | 0 (0%) | 0 (0%) | 0 (0%) | 0 (0%) | 0 (0%) | 0 (0%) | 0 (0%) | 0 (0%) | 1 (0.2%) | 0 (0%) | 0 (0%) | 0 (0%) | 0 (0%) | 0 (0%) | 0 (0%) | 1 (25%) | 2 (0.1%) |
| Afghanistan | 0 (0%) | 0 (0%) | 0 (0%) | 0 (0%) | 0 (0%) | 0 (0%) | 0 (0%) | 0 (0%) | 0 (0%) | 0 (0%) | 0 (0%) | 0 (0%) | 0 (0%) | 0 (0%) | 1 (1.2%) | 0 (0%) | 0 (0%) | 0 (0%) | 0 (0%) | 0 (0%) | 0 (0%) | 0 (0%) | 0 (0%) | 0 (0%) | 1 (<0.1%) |
| Albania | 0 (0%) | 0 (0%) | 0 (0%) | 0 (0%) | 0 (0%) | 0 (0%) | 0 (0%) | 0 (0%) | 0 (0%) | 0 (0%) | 0 (0%) | 0 (0%) | 0 (0%) | 0 (0%) | 0 (0%) | 0 (0%) | 1 (0.2%) | 0 (0%) | 0 (0%) | 0 (0%) | 0 (0%) | 0 (0%) | 0 (0%) | 0 (0%) | 1 (<0.1%) |
| Brazil | 0 (0%) | 0 (0%) | 0 (0%) | 0 (0%) | 0 (0%) | 0 (0%) | 0 (0%) | 0 (0%) | 0 (0%) | 0 (0%) | 0 (0%) | 0 (0%) | 0 (0%) | 0 (0%) | 1 (1.2%) | 0 (0%) | 0 (0%) | 0 (0%) | 0 (0%) | 0 (0%) | 0 (0%) | 0 (0%) | 0 (0%) | 0 (0%) | 1 (<0.1%) |
| Cameroon | 0 (0%) | 0 (0%) | 0 (0%) | 0 (0%) | 0 (0%) | 0 (0%) | 0 (0%) | 0 (0%) | 1 (1.5%) | 0 (0%) | 0 (0%) | 0 (0%) | 0 (0%) | 0 (0%) | 0 (0%) | 0 (0%) | 0 (0%) | 0 (0%) | 0 (0%) | 0 (0%) | 0 (0%) | 0 (0%) | 0 (0%) | 0 (0%) | 1 (<0.1%) |
| Canada | 0 (0%) | 0 (0%) | 0 (0%) | 0 (0%) | 0 (0%) | 0 (0%) | 0 (0%) | 0 (0%) | 0 (0%) | 0 (0%) | 0 (0%) | 1 (2.9%) | 0 (0%) | 0 (0%) | 0 (0%) | 0 (0%) | 0 (0%) | 0 (0%) | 0 (0%) | 0 (0%) | 0 (0%) | 0 (0%) | 0 (0%) | 0 (0%) | 1 (<0.1%) |
| Kenya | 0 (0%) | 0 (0%) | 0 (0%) | 0 (0%) | 0 (0%) | 0 (0%) | 0 (0%) | 0 (0%) | 0 (0%) | 0 (0%) | 0 (0%) | 0 (0%) | 0 (0%) | 0 (0%) | 1 (1.2%) | 0 (0%) | 0 (0%) | 0 (0%) | 0 (0%) | 0 (0%) | 0 (0%) | 0 (0%) | 0 (0%) | 0 (0%) | 1 (<0.1%) |
| Korea, South | 0 (0%) | 0 (0%) | 0 (0%) | 1 (1.9%) | 0 (0%) | 0 (0%) | 0 (0%) | 0 (0%) | 0 (0%) | 0 (0%) | 0 (0%) | 0 (0%) | 0 (0%) | 0 (0%) | 0 (0%) | 0 (0%) | 0 (0%) | 0 (0%) | 0 (0%) | 0 (0%) | 0 (0%) | 0 (0%) | 0 (0%) | 0 (0%) | 1 (<0.1%) |
| Pakistan | 0 (0%) | 0 (0%) | 0 (0%) | 0 (0%) | 0 (0%) | 0 (0%) | 0 (0%) | 0 (0%) | 0 (0%) | 0 (0%) | 0 (0%) | 0 (0%) | 0 (0%) | 0 (0%) | 1 (1.2%) | 0 (0%) | 0 (0%) | 0 (0%) | 0 (0%) | 0 (0%) | 0 (0%) | 0 (0%) | 0 (0%) | 0 (0%) | 1 (<0.1%) |
| Senegal | 0 (0%) | 0 (0%) | 0 (0%) | 0 (0%) | 0 (0%) | 0 (0%) | 0 (0%) | 0 (0%) | 0 (0%) | 0 (0%) | 0 (0%) | 0 (0%) | 0 (0%) | 0 (0%) | 1 (1.2%) | 0 (0%) | 0 (0%) | 0 (0%) | 0 (0%) | 0 (0%) | 0 (0%) | 0 (0%) | 0 (0%) | 0 (0%) | 1 (<0.1%) |
| South Africa | 0 (0%) | 0 (0%) | 0 (0%) | 0 (0%) | 0 (0%) | 0 (0%) | 0 (0%) | 0 (0%) | 0 (0%) | 0 (0%) | 0 (0%) | 0 (0%) | 0 (0%) | 0 (0%) | 1 (1.2%) | 0 (0%) | 0 (0%) | 0 (0%) | 0 (0%) | 0 (0%) | 0 (0%) | 0 (0%) | 0 (0%) | 0 (0%) | 1 (<0.1%) |
| Syria | 0 (0%) | 0 (0%) | 0 (0%) | 0 (0%) | 0 (0%) | 0 (0%) | 0 (0%) | 0 (0%) | 0 (0%) | 0 (0%) | 0 (0%) | 0 (0%) | 0 (0%) | 0 (0%) | 1 (1.2%) | 0 (0%) | 0 (0%) | 0 (0%) | 0 (0%) | 0 (0%) | 0 (0%) | 0 (0%) | 0 (0%) | 0 (0%) | 1 (<0.1%) |
| 1 n (%) | |||||||||||||||||||||||||
| Nationalités des individus dans les DG | |||||||||||||||||||||||||
| Pourcentage en colonne. Les nationalités peu représentées (< 10) ont été enlevées du tableau | |||||||||||||||||||||||||
| Characteristic | DG Agriculture and Rural Development N = 421 |
DG Budget N = 81 |
DG Climate Action N = 151 |
DG Communications Networks, Content and Technology N = 531 |
DG Competition N = 111 |
DG Education and Culture N = 631 |
DG Employment, Social Affairs and Inclusion N = 4031 |
DG Energy N = 41 |
DG Environment N = 611 |
DG Financial Stability, Financial Services and Capital Markets Union N = 911 |
DG Health and Food Safety N = 1281 |
DG Internal Market, Industry, Entrepreneurship and SMEs N = 321 |
DG Justice and Consumers N = 2101 |
DG Maritime Affairs and Fisheries N = 1071 |
DG Migration and Home Affairs N = 701 |
DG Mobility and Transport N = 241 |
DG Research and Innovation N = 4181 |
DG Taxation and Customs Union N = 141 |
DG Translation N = 61 |
Eurostat N = 311 |
Health Emergency Preparedness and Response Authority N = 151 |
Joint Research Centre N = 121 |
Secretariat-General N = 191 |
Service for Foreign Policy Instruments N = 31 |
Overall N = 1,8401 |
|---|---|---|---|---|---|---|---|---|---|---|---|---|---|---|---|---|---|---|---|---|---|---|---|---|---|
| COUNTRY_pers | |||||||||||||||||||||||||
| Germany | 8 (19%) | 2 (25%) | 3 (20%) | 8 (15%) | 2 (18%) | 4 (6.3%) | 37 (9.2%) | 0 (0%) | 15 (25%) | 13 (14%) | 11 (8.6%) | 6 (19%) | 28 (13%) | 9 (8.4%) | 8 (11%) | 3 (13%) | 53 (13%) | 1 (7.1%) | 0 (0%) | 2 (6.5%) | 1 (6.7%) | 4 (33%) | 2 (11%) | 0 (0%) | 220 (12%) |
| Italy | 10 (24%) | 0 (0%) | 3 (20%) | 6 (11%) | 5 (45%) | 7 (11%) | 22 (5.5%) | 0 (0%) | 10 (16%) | 9 (9.9%) | 18 (14%) | 2 (6.3%) | 23 (11%) | 13 (12%) | 10 (14%) | 4 (17%) | 40 (9.6%) | 2 (14%) | 3 (50%) | 6 (19%) | 1 (6.7%) | 3 (25%) | 3 (16%) | 0 (0%) | 200 (11%) |
| France | 6 (14%) | 2 (25%) | 0 (0%) | 6 (11%) | 3 (27%) | 3 (4.8%) | 19 (4.7%) | 1 (25%) | 2 (3.3%) | 13 (14%) | 7 (5.5%) | 1 (3.1%) | 17 (8.1%) | 13 (12%) | 8 (11%) | 3 (13%) | 43 (10%) | 1 (7.1%) | 0 (0%) | 4 (13%) | 2 (13%) | 0 (0%) | 3 (16%) | 1 (33%) | 158 (8.6%) |
| Spain | 5 (12%) | 0 (0%) | 0 (0%) | 5 (9.4%) | 1 (9.1%) | 3 (4.8%) | 18 (4.5%) | 2 (50%) | 8 (13%) | 7 (7.7%) | 3 (2.3%) | 2 (6.3%) | 17 (8.1%) | 20 (19%) | 4 (5.7%) | 3 (13%) | 41 (9.8%) | 0 (0%) | 0 (0%) | 2 (6.5%) | 1 (6.7%) | 1 (8.3%) | 1 (5.3%) | 0 (0%) | 144 (7.8%) |
| Belgium | 4 (9.5%) | 0 (0%) | 2 (13%) | 1 (1.9%) | 0 (0%) | 3 (4.8%) | 40 (9.9%) | 0 (0%) | 3 (4.9%) | 6 (6.6%) | 8 (6.3%) | 4 (13%) | 10 (4.8%) | 3 (2.8%) | 3 (4.3%) | 2 (8.3%) | 29 (6.9%) | 2 (14%) | 0 (0%) | 2 (6.5%) | 1 (6.7%) | 0 (0%) | 1 (5.3%) | 1 (33%) | 125 (6.8%) |
| Netherlands | 3 (7.1%) | 0 (0%) | 1 (6.7%) | 6 (11%) | 0 (0%) | 4 (6.3%) | 24 (6.0%) | 0 (0%) | 1 (1.6%) | 6 (6.6%) | 24 (19%) | 1 (3.1%) | 15 (7.1%) | 5 (4.7%) | 5 (7.1%) | 0 (0%) | 15 (3.6%) | 1 (7.1%) | 0 (0%) | 1 (3.2%) | 1 (6.7%) | 1 (8.3%) | 0 (0%) | 0 (0%) | 114 (6.2%) |
| Poland | 0 (0%) | 0 (0%) | 0 (0%) | 1 (1.9%) | 0 (0%) | 2 (3.2%) | 10 (2.5%) | 0 (0%) | 1 (1.6%) | 7 (7.7%) | 3 (2.3%) | 2 (6.3%) | 14 (6.7%) | 2 (1.9%) | 2 (2.9%) | 1 (4.2%) | 26 (6.2%) | 3 (21%) | 0 (0%) | 1 (3.2%) | 1 (6.7%) | 0 (0%) | 1 (5.3%) | 0 (0%) | 77 (4.2%) |
| Greece | 1 (2.4%) | 0 (0%) | 0 (0%) | 2 (3.8%) | 0 (0%) | 4 (6.3%) | 10 (2.5%) | 0 (0%) | 5 (8.2%) | 1 (1.1%) | 10 (7.8%) | 0 (0%) | 11 (5.2%) | 7 (6.5%) | 6 (8.6%) | 0 (0%) | 8 (1.9%) | 0 (0%) | 1 (17%) | 2 (6.5%) | 0 (0%) | 0 (0%) | 1 (5.3%) | 0 (0%) | 69 (3.8%) |
| Sweden | 0 (0%) | 0 (0%) | 1 (6.7%) | 0 (0%) | 0 (0%) | 3 (4.8%) | 16 (4.0%) | 0 (0%) | 2 (3.3%) | 1 (1.1%) | 4 (3.1%) | 2 (6.3%) | 4 (1.9%) | 5 (4.7%) | 1 (1.4%) | 0 (0%) | 23 (5.5%) | 1 (7.1%) | 0 (0%) | 1 (3.2%) | 1 (6.7%) | 1 (8.3%) | 0 (0%) | 0 (0%) | 66 (3.6%) |
| United Kingdom | 1 (2.4%) | 4 (50%) | 1 (6.7%) | 0 (0%) | 0 (0%) | 0 (0%) | 2 (0.5%) | 0 (0%) | 4 (6.6%) | 2 (2.2%) | 10 (7.8%) | 0 (0%) | 7 (3.3%) | 6 (5.6%) | 6 (8.6%) | 1 (4.2%) | 20 (4.8%) | 0 (0%) | 0 (0%) | 0 (0%) | 0 (0%) | 0 (0%) | 0 (0%) | 1 (33%) | 65 (3.5%) |
| Ireland | 0 (0%) | 0 (0%) | 0 (0%) | 0 (0%) | 0 (0%) | 4 (6.3%) | 15 (3.7%) | 0 (0%) | 1 (1.6%) | 4 (4.4%) | 1 (0.8%) | 1 (3.1%) | 12 (5.7%) | 6 (5.6%) | 3 (4.3%) | 1 (4.2%) | 7 (1.7%) | 0 (0%) | 0 (0%) | 0 (0%) | 0 (0%) | 0 (0%) | 0 (0%) | 0 (0%) | 55 (3.0%) |
| Portugal | 1 (2.4%) | 0 (0%) | 0 (0%) | 1 (1.9%) | 0 (0%) | 3 (4.8%) | 11 (2.7%) | 0 (0%) | 0 (0%) | 3 (3.3%) | 6 (4.7%) | 0 (0%) | 8 (3.8%) | 4 (3.7%) | 4 (5.7%) | 1 (4.2%) | 12 (2.9%) | 0 (0%) | 0 (0%) | 1 (3.2%) | 0 (0%) | 0 (0%) | 0 (0%) | 0 (0%) | 55 (3.0%) |
| Austria | 0 (0%) | 0 (0%) | 0 (0%) | 1 (1.9%) | 0 (0%) | 0 (0%) | 16 (4.0%) | 0 (0%) | 0 (0%) | 2 (2.2%) | 0 (0%) | 1 (3.1%) | 7 (3.3%) | 0 (0%) | 2 (2.9%) | 1 (4.2%) | 20 (4.8%) | 1 (7.1%) | 0 (0%) | 1 (3.2%) | 0 (0%) | 1 (8.3%) | 1 (5.3%) | 0 (0%) | 54 (2.9%) |
| Denmark | 1 (2.4%) | 0 (0%) | 1 (6.7%) | 1 (1.9%) | 0 (0%) | 2 (3.2%) | 24 (6.0%) | 1 (25%) | 3 (4.9%) | 2 (2.2%) | 5 (3.9%) | 2 (6.3%) | 1 (0.5%) | 1 (0.9%) | 0 (0%) | 0 (0%) | 3 (0.7%) | 0 (0%) | 1 (17%) | 1 (3.2%) | 1 (6.7%) | 1 (8.3%) | 3 (16%) | 0 (0%) | 54 (2.9%) |
| Finland | 2 (4.8%) | 0 (0%) | 1 (6.7%) | 1 (1.9%) | 0 (0%) | 3 (4.8%) | 16 (4.0%) | 0 (0%) | 1 (1.6%) | 3 (3.3%) | 2 (1.6%) | 2 (6.3%) | 3 (1.4%) | 0 (0%) | 3 (4.3%) | 2 (8.3%) | 11 (2.6%) | 1 (7.1%) | 0 (0%) | 0 (0%) | 0 (0%) | 0 (0%) | 1 (5.3%) | 0 (0%) | 52 (2.8%) |
| Romania | 0 (0%) | 0 (0%) | 0 (0%) | 5 (9.4%) | 0 (0%) | 3 (4.8%) | 7 (1.7%) | 0 (0%) | 1 (1.6%) | 3 (3.3%) | 4 (3.1%) | 2 (6.3%) | 5 (2.4%) | 1 (0.9%) | 1 (1.4%) | 0 (0%) | 10 (2.4%) | 0 (0%) | 0 (0%) | 1 (3.2%) | 0 (0%) | 0 (0%) | 0 (0%) | 0 (0%) | 43 (2.3%) |
| Hungary | 0 (0%) | 0 (0%) | 0 (0%) | 1 (1.9%) | 0 (0%) | 2 (3.2%) | 9 (2.2%) | 0 (0%) | 1 (1.6%) | 2 (2.2%) | 1 (0.8%) | 2 (6.3%) | 6 (2.9%) | 0 (0%) | 0 (0%) | 0 (0%) | 9 (2.2%) | 1 (7.1%) | 0 (0%) | 0 (0%) | 0 (0%) | 0 (0%) | 0 (0%) | 0 (0%) | 34 (1.8%) |
| Bulgaria | 0 (0%) | 0 (0%) | 0 (0%) | 2 (3.8%) | 0 (0%) | 3 (4.8%) | 10 (2.5%) | 0 (0%) | 0 (0%) | 1 (1.1%) | 4 (3.1%) | 1 (3.1%) | 1 (0.5%) | 3 (2.8%) | 1 (1.4%) | 0 (0%) | 4 (1.0%) | 0 (0%) | 0 (0%) | 1 (3.2%) | 0 (0%) | 0 (0%) | 0 (0%) | 0 (0%) | 31 (1.7%) |
| Estonia | 0 (0%) | 0 (0%) | 1 (6.7%) | 0 (0%) | 0 (0%) | 1 (1.6%) | 11 (2.7%) | 0 (0%) | 0 (0%) | 0 (0%) | 0 (0%) | 0 (0%) | 0 (0%) | 3 (2.8%) | 1 (1.4%) | 0 (0%) | 7 (1.7%) | 0 (0%) | 0 (0%) | 5 (16%) | 0 (0%) | 0 (0%) | 0 (0%) | 0 (0%) | 29 (1.6%) |
| Croatia | 0 (0%) | 0 (0%) | 0 (0%) | 2 (3.8%) | 0 (0%) | 2 (3.2%) | 10 (2.5%) | 0 (0%) | 0 (0%) | 1 (1.1%) | 1 (0.8%) | 0 (0%) | 3 (1.4%) | 3 (2.8%) | 0 (0%) | 0 (0%) | 4 (1.0%) | 0 (0%) | 0 (0%) | 0 (0%) | 1 (6.7%) | 0 (0%) | 1 (5.3%) | 0 (0%) | 28 (1.5%) |
| Czech Republic | 0 (0%) | 0 (0%) | 0 (0%) | 1 (1.9%) | 0 (0%) | 0 (0%) | 11 (2.7%) | 0 (0%) | 0 (0%) | 0 (0%) | 2 (1.6%) | 0 (0%) | 4 (1.9%) | 0 (0%) | 0 (0%) | 0 (0%) | 5 (1.2%) | 0 (0%) | 0 (0%) | 0 (0%) | 0 (0%) | 0 (0%) | 1 (5.3%) | 0 (0%) | 24 (1.3%) |
| Lithuania | 0 (0%) | 0 (0%) | 0 (0%) | 0 (0%) | 0 (0%) | 2 (3.2%) | 9 (2.2%) | 0 (0%) | 1 (1.6%) | 2 (2.2%) | 1 (0.8%) | 0 (0%) | 1 (0.5%) | 3 (2.8%) | 0 (0%) | 0 (0%) | 2 (0.5%) | 0 (0%) | 0 (0%) | 0 (0%) | 1 (6.7%) | 0 (0%) | 0 (0%) | 0 (0%) | 22 (1.2%) |
| Cyprus | 0 (0%) | 0 (0%) | 0 (0%) | 1 (1.9%) | 0 (0%) | 2 (3.2%) | 10 (2.5%) | 0 (0%) | 0 (0%) | 1 (1.1%) | 0 (0%) | 1 (3.1%) | 1 (0.5%) | 0 (0%) | 1 (1.4%) | 0 (0%) | 4 (1.0%) | 0 (0%) | 0 (0%) | 0 (0%) | 0 (0%) | 0 (0%) | 0 (0%) | 0 (0%) | 21 (1.1%) |
| Slovenia | 0 (0%) | 0 (0%) | 1 (6.7%) | 1 (1.9%) | 0 (0%) | 0 (0%) | 8 (2.0%) | 0 (0%) | 1 (1.6%) | 1 (1.1%) | 0 (0%) | 0 (0%) | 3 (1.4%) | 0 (0%) | 0 (0%) | 0 (0%) | 6 (1.4%) | 0 (0%) | 0 (0%) | 0 (0%) | 0 (0%) | 0 (0%) | 0 (0%) | 0 (0%) | 21 (1.1%) |
| Malta | 0 (0%) | 0 (0%) | 0 (0%) | 0 (0%) | 0 (0%) | 2 (3.2%) | 10 (2.5%) | 0 (0%) | 0 (0%) | 0 (0%) | 0 (0%) | 0 (0%) | 5 (2.4%) | 0 (0%) | 0 (0%) | 0 (0%) | 3 (0.7%) | 0 (0%) | 0 (0%) | 0 (0%) | 0 (0%) | 0 (0%) | 0 (0%) | 0 (0%) | 20 (1.1%) |
| Slovakia | 0 (0%) | 0 (0%) | 0 (0%) | 0 (0%) | 0 (0%) | 0 (0%) | 7 (1.7%) | 0 (0%) | 0 (0%) | 0 (0%) | 3 (2.3%) | 0 (0%) | 1 (0.5%) | 0 (0%) | 1 (1.4%) | 0 (0%) | 4 (1.0%) | 0 (0%) | 0 (0%) | 0 (0%) | 0 (0%) | 0 (0%) | 0 (0%) | 0 (0%) | 16 (0.9%) |
| Latvia | 0 (0%) | 0 (0%) | 0 (0%) | 1 (1.9%) | 0 (0%) | 1 (1.6%) | 7 (1.7%) | 0 (0%) | 0 (0%) | 1 (1.1%) | 0 (0%) | 0 (0%) | 1 (0.5%) | 0 (0%) | 0 (0%) | 0 (0%) | 3 (0.7%) | 0 (0%) | 1 (17%) | 0 (0%) | 0 (0%) | 0 (0%) | 0 (0%) | 0 (0%) | 15 (0.8%) |
| Luxembourg | 0 (0%) | 0 (0%) | 0 (0%) | 0 (0%) | 0 (0%) | 0 (0%) | 10 (2.5%) | 0 (0%) | 0 (0%) | 0 (0%) | 0 (0%) | 0 (0%) | 1 (0.5%) | 0 (0%) | 0 (0%) | 0 (0%) | 3 (0.7%) | 0 (0%) | 0 (0%) | 0 (0%) | 0 (0%) | 0 (0%) | 0 (0%) | 0 (0%) | 14 (0.8%) |
| Norway | 0 (0%) | 0 (0%) | 0 (0%) | 0 (0%) | 0 (0%) | 0 (0%) | 4 (1.0%) | 0 (0%) | 1 (1.6%) | 0 (0%) | 0 (0%) | 0 (0%) | 1 (0.5%) | 0 (0%) | 0 (0%) | 2 (8.3%) | 3 (0.7%) | 0 (0%) | 0 (0%) | 0 (0%) | 3 (20%) | 0 (0%) | 0 (0%) | 0 (0%) | 14 (0.8%) |
| 1 n (%) | |||||||||||||||||||||||||
Pour les différents types :
- Type A
| Characteristic | DG Agriculture and Rural Development N = 431 |
DG Budget N = 101 |
DG Climate Action N = 111 |
DG Communications Networks, Content and Technology N = 531 |
DG Competition N = 161 |
DG Education and Culture N = 651 |
DG Employment, Social Affairs and Inclusion N = 361 |
DG Energy N = 41 |
DG Environment N = 661 |
DG Financial Stability, Financial Services and Capital Markets Union N = 181 |
DG Health and Food Safety N = 1311 |
DG Internal Market, Industry, Entrepreneurship and SMEs N = 331 |
DG Justice and Consumers N = 1781 |
DG Maritime Affairs and Fisheries N = 1001 |
DG Migration and Home Affairs N = 781 |
DG Mobility and Transport N = 181 |
DG Research and Innovation N = 3851 |
DG Taxation and Customs Union N = 141 |
DG Translation N = 61 |
Eurostat N = 311 |
Health Emergency Preparedness and Response Authority N = 151 |
Joint Research Centre N = 141 |
Service for Foreign Policy Instruments N = 41 |
Overall N = 1,3291 |
|---|---|---|---|---|---|---|---|---|---|---|---|---|---|---|---|---|---|---|---|---|---|---|---|---|
| COUNTRY_pers | ||||||||||||||||||||||||
| Germany | 8 (19%) | 2 (20%) | 2 (18%) | 8 (15%) | 2 (13%) | 4 (6.2%) | 7 (19%) | 0 (0%) | 15 (23%) | 1 (5.6%) | 11 (8.4%) | 6 (18%) | 22 (12%) | 9 (9.0%) | 8 (10%) | 2 (11%) | 47 (12%) | 1 (7.1%) | 0 (0%) | 2 (6.5%) | 1 (6.7%) | 4 (29%) | 0 (0%) | 162 (12%) |
| Italy | 10 (23%) | 0 (0%) | 3 (27%) | 5 (9.4%) | 5 (31%) | 7 (11%) | 3 (8.3%) | 0 (0%) | 10 (15%) | 4 (22%) | 18 (14%) | 1 (3.0%) | 17 (9.6%) | 11 (11%) | 10 (13%) | 4 (22%) | 37 (9.6%) | 2 (14%) | 3 (50%) | 6 (19%) | 1 (6.7%) | 3 (21%) | 0 (0%) | 160 (12%) |
| France | 6 (14%) | 2 (20%) | 0 (0%) | 6 (11%) | 3 (19%) | 3 (4.6%) | 2 (5.6%) | 1 (25%) | 2 (3.0%) | 2 (11%) | 7 (5.3%) | 1 (3.0%) | 14 (7.9%) | 13 (13%) | 8 (10%) | 3 (17%) | 41 (11%) | 1 (7.1%) | 0 (0%) | 4 (13%) | 2 (13%) | 0 (0%) | 1 (25%) | 122 (9.2%) |
| Spain | 5 (12%) | 0 (0%) | 0 (0%) | 5 (9.4%) | 1 (6.3%) | 3 (4.6%) | 0 (0%) | 2 (50%) | 8 (12%) | 0 (0%) | 3 (2.3%) | 2 (6.1%) | 16 (9.0%) | 19 (19%) | 4 (5.1%) | 0 (0%) | 36 (9.4%) | 0 (0%) | 0 (0%) | 2 (6.5%) | 1 (6.7%) | 1 (7.1%) | 0 (0%) | 108 (8.1%) |
| Netherlands | 3 (7.0%) | 0 (0%) | 1 (9.1%) | 6 (11%) | 0 (0%) | 4 (6.2%) | 7 (19%) | 0 (0%) | 1 (1.5%) | 1 (5.6%) | 24 (18%) | 1 (3.0%) | 12 (6.7%) | 5 (5.0%) | 5 (6.4%) | 0 (0%) | 13 (3.4%) | 1 (7.1%) | 0 (0%) | 1 (3.2%) | 1 (6.7%) | 1 (7.1%) | 0 (0%) | 87 (6.5%) |
| Belgium | 4 (9.3%) | 0 (0%) | 1 (9.1%) | 1 (1.9%) | 0 (0%) | 3 (4.6%) | 3 (8.3%) | 0 (0%) | 3 (4.5%) | 1 (5.6%) | 8 (6.1%) | 4 (12%) | 8 (4.5%) | 3 (3.0%) | 3 (3.8%) | 2 (11%) | 24 (6.2%) | 2 (14%) | 0 (0%) | 2 (6.5%) | 1 (6.7%) | 0 (0%) | 1 (25%) | 74 (5.6%) |
| Poland | 0 (0%) | 0 (0%) | 0 (0%) | 1 (1.9%) | 0 (0%) | 2 (3.1%) | 1 (2.8%) | 0 (0%) | 1 (1.5%) | 4 (22%) | 3 (2.3%) | 2 (6.1%) | 13 (7.3%) | 0 (0%) | 2 (2.6%) | 1 (5.6%) | 21 (5.5%) | 3 (21%) | 0 (0%) | 1 (3.2%) | 1 (6.7%) | 0 (0%) | 0 (0%) | 56 (4.2%) |
| United Kingdom | 1 (2.3%) | 4 (40%) | 0 (0%) | 0 (0%) | 0 (0%) | 0 (0%) | 2 (5.6%) | 0 (0%) | 4 (6.1%) | 0 (0%) | 10 (7.6%) | 0 (0%) | 3 (1.7%) | 5 (5.0%) | 6 (7.7%) | 0 (0%) | 20 (5.2%) | 0 (0%) | 0 (0%) | 0 (0%) | 0 (0%) | 0 (0%) | 1 (25%) | 56 (4.2%) |
| Greece | 1 (2.3%) | 0 (0%) | 0 (0%) | 2 (3.8%) | 0 (0%) | 4 (6.2%) | 0 (0%) | 0 (0%) | 5 (7.6%) | 1 (5.6%) | 10 (7.6%) | 0 (0%) | 10 (5.6%) | 7 (7.0%) | 5 (6.4%) | 0 (0%) | 7 (1.8%) | 0 (0%) | 1 (17%) | 2 (6.5%) | 0 (0%) | 0 (0%) | 0 (0%) | 55 (4.1%) |
| Sweden | 0 (0%) | 0 (0%) | 1 (9.1%) | 0 (0%) | 0 (0%) | 3 (4.6%) | 1 (2.8%) | 0 (0%) | 2 (3.0%) | 0 (0%) | 4 (3.1%) | 2 (6.1%) | 4 (2.2%) | 5 (5.0%) | 1 (1.3%) | 0 (0%) | 22 (5.7%) | 1 (7.1%) | 0 (0%) | 1 (3.2%) | 1 (6.7%) | 1 (7.1%) | 0 (0%) | 49 (3.7%) |
| Portugal | 1 (2.3%) | 0 (0%) | 0 (0%) | 1 (1.9%) | 0 (0%) | 3 (4.6%) | 0 (0%) | 0 (0%) | 0 (0%) | 0 (0%) | 6 (4.6%) | 0 (0%) | 7 (3.9%) | 4 (4.0%) | 4 (5.1%) | 1 (5.6%) | 12 (3.1%) | 0 (0%) | 0 (0%) | 1 (3.2%) | 0 (0%) | 0 (0%) | 0 (0%) | 40 (3.0%) |
| Ireland | 0 (0%) | 0 (0%) | 0 (0%) | 0 (0%) | 0 (0%) | 4 (6.2%) | 2 (5.6%) | 0 (0%) | 1 (1.5%) | 1 (5.6%) | 1 (0.8%) | 1 (3.0%) | 11 (6.2%) | 6 (6.0%) | 3 (3.8%) | 1 (5.6%) | 7 (1.8%) | 0 (0%) | 0 (0%) | 0 (0%) | 0 (0%) | 0 (0%) | 0 (0%) | 38 (2.9%) |
| Finland | 2 (4.7%) | 0 (0%) | 0 (0%) | 1 (1.9%) | 0 (0%) | 3 (4.6%) | 2 (5.6%) | 0 (0%) | 1 (1.5%) | 0 (0%) | 2 (1.5%) | 2 (6.1%) | 3 (1.7%) | 0 (0%) | 3 (3.8%) | 2 (11%) | 11 (2.9%) | 1 (7.1%) | 0 (0%) | 0 (0%) | 0 (0%) | 0 (0%) | 0 (0%) | 33 (2.5%) |
| Austria | 0 (0%) | 0 (0%) | 0 (0%) | 1 (1.9%) | 0 (0%) | 0 (0%) | 1 (2.8%) | 0 (0%) | 0 (0%) | 0 (0%) | 0 (0%) | 1 (3.0%) | 6 (3.4%) | 0 (0%) | 2 (2.6%) | 0 (0%) | 16 (4.2%) | 1 (7.1%) | 0 (0%) | 1 (3.2%) | 0 (0%) | 1 (7.1%) | 0 (0%) | 30 (2.3%) |
| Romania | 0 (0%) | 0 (0%) | 0 (0%) | 5 (9.4%) | 0 (0%) | 3 (4.6%) | 0 (0%) | 0 (0%) | 1 (1.5%) | 1 (5.6%) | 4 (3.1%) | 2 (6.1%) | 3 (1.7%) | 0 (0%) | 1 (1.3%) | 0 (0%) | 9 (2.3%) | 0 (0%) | 0 (0%) | 1 (3.2%) | 0 (0%) | 0 (0%) | 0 (0%) | 30 (2.3%) |
| Denmark | 1 (2.3%) | 0 (0%) | 1 (9.1%) | 1 (1.9%) | 0 (0%) | 2 (3.1%) | 1 (2.8%) | 1 (25%) | 3 (4.5%) | 0 (0%) | 5 (3.8%) | 2 (6.1%) | 1 (0.6%) | 1 (1.0%) | 0 (0%) | 0 (0%) | 3 (0.8%) | 0 (0%) | 1 (17%) | 1 (3.2%) | 1 (6.7%) | 1 (7.1%) | 0 (0%) | 26 (2.0%) |
| Hungary | 0 (0%) | 0 (0%) | 0 (0%) | 1 (1.9%) | 0 (0%) | 2 (3.1%) | 1 (2.8%) | 0 (0%) | 1 (1.5%) | 0 (0%) | 1 (0.8%) | 2 (6.1%) | 6 (3.4%) | 0 (0%) | 0 (0%) | 0 (0%) | 9 (2.3%) | 1 (7.1%) | 0 (0%) | 0 (0%) | 0 (0%) | 0 (0%) | 0 (0%) | 24 (1.8%) |
| Bulgaria | 0 (0%) | 0 (0%) | 0 (0%) | 2 (3.8%) | 0 (0%) | 3 (4.6%) | 0 (0%) | 0 (0%) | 0 (0%) | 0 (0%) | 4 (3.1%) | 1 (3.0%) | 1 (0.6%) | 3 (3.0%) | 1 (1.3%) | 0 (0%) | 4 (1.0%) | 0 (0%) | 0 (0%) | 1 (3.2%) | 0 (0%) | 0 (0%) | 0 (0%) | 20 (1.5%) |
| Estonia | 0 (0%) | 0 (0%) | 1 (9.1%) | 0 (0%) | 0 (0%) | 1 (1.5%) | 1 (2.8%) | 0 (0%) | 0 (0%) | 0 (0%) | 0 (0%) | 0 (0%) | 0 (0%) | 3 (3.0%) | 1 (1.3%) | 0 (0%) | 6 (1.6%) | 0 (0%) | 0 (0%) | 5 (16%) | 0 (0%) | 0 (0%) | 0 (0%) | 18 (1.4%) |
| Croatia | 0 (0%) | 0 (0%) | 0 (0%) | 2 (3.8%) | 0 (0%) | 2 (3.1%) | 0 (0%) | 0 (0%) | 0 (0%) | 0 (0%) | 1 (0.8%) | 0 (0%) | 3 (1.7%) | 3 (3.0%) | 0 (0%) | 0 (0%) | 4 (1.0%) | 0 (0%) | 0 (0%) | 0 (0%) | 1 (6.7%) | 0 (0%) | 0 (0%) | 16 (1.2%) |
| Cyprus | 0 (0%) | 0 (0%) | 0 (0%) | 1 (1.9%) | 0 (0%) | 2 (3.1%) | 0 (0%) | 0 (0%) | 0 (0%) | 1 (5.6%) | 0 (0%) | 1 (3.0%) | 1 (0.6%) | 0 (0%) | 1 (1.3%) | 0 (0%) | 4 (1.0%) | 0 (0%) | 0 (0%) | 0 (0%) | 0 (0%) | 0 (0%) | 0 (0%) | 11 (0.8%) |
| Lithuania | 0 (0%) | 0 (0%) | 0 (0%) | 0 (0%) | 0 (0%) | 2 (3.1%) | 0 (0%) | 0 (0%) | 1 (1.5%) | 0 (0%) | 1 (0.8%) | 0 (0%) | 1 (0.6%) | 3 (3.0%) | 0 (0%) | 0 (0%) | 2 (0.5%) | 0 (0%) | 0 (0%) | 0 (0%) | 1 (6.7%) | 0 (0%) | 0 (0%) | 11 (0.8%) |
| Norway | 0 (0%) | 0 (0%) | 0 (0%) | 0 (0%) | 0 (0%) | 0 (0%) | 1 (2.8%) | 0 (0%) | 1 (1.5%) | 0 (0%) | 0 (0%) | 0 (0%) | 1 (0.6%) | 0 (0%) | 0 (0%) | 2 (11%) | 3 (0.8%) | 0 (0%) | 0 (0%) | 0 (0%) | 3 (20%) | 0 (0%) | 0 (0%) | 11 (0.8%) |
| Slovenia | 0 (0%) | 0 (0%) | 1 (9.1%) | 1 (1.9%) | 0 (0%) | 0 (0%) | 0 (0%) | 0 (0%) | 1 (1.5%) | 0 (0%) | 0 (0%) | 0 (0%) | 3 (1.7%) | 0 (0%) | 0 (0%) | 0 (0%) | 5 (1.3%) | 0 (0%) | 0 (0%) | 0 (0%) | 0 (0%) | 0 (0%) | 0 (0%) | 11 (0.8%) |
| Malta | 0 (0%) | 0 (0%) | 0 (0%) | 0 (0%) | 0 (0%) | 2 (3.1%) | 0 (0%) | 0 (0%) | 0 (0%) | 0 (0%) | 0 (0%) | 0 (0%) | 5 (2.8%) | 0 (0%) | 0 (0%) | 0 (0%) | 3 (0.8%) | 0 (0%) | 0 (0%) | 0 (0%) | 0 (0%) | 0 (0%) | 0 (0%) | 10 (0.8%) |
| Switzerland | 1 (2.3%) | 2 (20%) | 0 (0%) | 0 (0%) | 0 (0%) | 0 (0%) | 1 (2.8%) | 0 (0%) | 1 (1.5%) | 0 (0%) | 3 (2.3%) | 0 (0%) | 0 (0%) | 0 (0%) | 1 (1.3%) | 0 (0%) | 1 (0.3%) | 0 (0%) | 0 (0%) | 0 (0%) | 0 (0%) | 0 (0%) | 0 (0%) | 10 (0.8%) |
| Czech Republic | 0 (0%) | 0 (0%) | 0 (0%) | 1 (1.9%) | 0 (0%) | 0 (0%) | 0 (0%) | 0 (0%) | 0 (0%) | 0 (0%) | 2 (1.5%) | 0 (0%) | 1 (0.6%) | 0 (0%) | 0 (0%) | 0 (0%) | 5 (1.3%) | 0 (0%) | 0 (0%) | 0 (0%) | 0 (0%) | 0 (0%) | 0 (0%) | 9 (0.7%) |
| Latvia | 0 (0%) | 0 (0%) | 0 (0%) | 1 (1.9%) | 0 (0%) | 1 (1.5%) | 0 (0%) | 0 (0%) | 0 (0%) | 1 (5.6%) | 0 (0%) | 0 (0%) | 1 (0.6%) | 0 (0%) | 0 (0%) | 0 (0%) | 3 (0.8%) | 0 (0%) | 1 (17%) | 0 (0%) | 0 (0%) | 0 (0%) | 0 (0%) | 8 (0.6%) |
| Slovakia | 0 (0%) | 0 (0%) | 0 (0%) | 0 (0%) | 0 (0%) | 0 (0%) | 0 (0%) | 0 (0%) | 0 (0%) | 0 (0%) | 3 (2.3%) | 0 (0%) | 1 (0.6%) | 0 (0%) | 1 (1.3%) | 0 (0%) | 3 (0.8%) | 0 (0%) | 0 (0%) | 0 (0%) | 0 (0%) | 0 (0%) | 0 (0%) | 8 (0.6%) |
| United States of America | 0 (0%) | 0 (0%) | 0 (0%) | 0 (0%) | 4 (25%) | 0 (0%) | 0 (0%) | 0 (0%) | 0 (0%) | 0 (0%) | 0 (0%) | 1 (3.0%) | 0 (0%) | 0 (0%) | 1 (1.3%) | 0 (0%) | 0 (0%) | 0 (0%) | 0 (0%) | 0 (0%) | 0 (0%) | 2 (14%) | 0 (0%) | 8 (0.6%) |
| Luxembourg | 0 (0%) | 0 (0%) | 0 (0%) | 0 (0%) | 0 (0%) | 0 (0%) | 0 (0%) | 0 (0%) | 0 (0%) | 0 (0%) | 0 (0%) | 0 (0%) | 1 (0.6%) | 0 (0%) | 0 (0%) | 0 (0%) | 3 (0.8%) | 0 (0%) | 0 (0%) | 0 (0%) | 0 (0%) | 0 (0%) | 0 (0%) | 4 (0.3%) |
| Serbia | 0 (0%) | 0 (0%) | 0 (0%) | 0 (0%) | 0 (0%) | 1 (1.5%) | 0 (0%) | 0 (0%) | 1 (1.5%) | 0 (0%) | 0 (0%) | 0 (0%) | 0 (0%) | 0 (0%) | 1 (1.3%) | 0 (0%) | 1 (0.3%) | 0 (0%) | 0 (0%) | 0 (0%) | 0 (0%) | 0 (0%) | 0 (0%) | 4 (0.3%) |
| Australia | 0 (0%) | 0 (0%) | 0 (0%) | 0 (0%) | 0 (0%) | 0 (0%) | 0 (0%) | 0 (0%) | 2 (3.0%) | 0 (0%) | 0 (0%) | 0 (0%) | 1 (0.6%) | 0 (0%) | 0 (0%) | 0 (0%) | 0 (0%) | 0 (0%) | 0 (0%) | 0 (0%) | 0 (0%) | 0 (0%) | 0 (0%) | 3 (0.2%) |
| Israel | 0 (0%) | 0 (0%) | 0 (0%) | 0 (0%) | 1 (6.3%) | 0 (0%) | 0 (0%) | 0 (0%) | 0 (0%) | 0 (0%) | 0 (0%) | 0 (0%) | 0 (0%) | 0 (0%) | 0 (0%) | 0 (0%) | 1 (0.3%) | 0 (0%) | 0 (0%) | 0 (0%) | 0 (0%) | 0 (0%) | 0 (0%) | 2 (0.2%) |
| North Macedonia | 0 (0%) | 0 (0%) | 0 (0%) | 0 (0%) | 0 (0%) | 0 (0%) | 0 (0%) | 0 (0%) | 0 (0%) | 0 (0%) | 0 (0%) | 0 (0%) | 2 (1.1%) | 0 (0%) | 0 (0%) | 0 (0%) | 0 (0%) | 0 (0%) | 0 (0%) | 0 (0%) | 0 (0%) | 0 (0%) | 0 (0%) | 2 (0.2%) |
| Türkiye | 0 (0%) | 0 (0%) | 0 (0%) | 0 (0%) | 0 (0%) | 0 (0%) | 0 (0%) | 0 (0%) | 0 (0%) | 0 (0%) | 0 (0%) | 0 (0%) | 0 (0%) | 0 (0%) | 0 (0%) | 0 (0%) | 1 (0.3%) | 0 (0%) | 0 (0%) | 0 (0%) | 0 (0%) | 0 (0%) | 1 (25%) | 2 (0.2%) |
| Afghanistan | 0 (0%) | 0 (0%) | 0 (0%) | 0 (0%) | 0 (0%) | 0 (0%) | 0 (0%) | 0 (0%) | 0 (0%) | 0 (0%) | 0 (0%) | 0 (0%) | 0 (0%) | 0 (0%) | 1 (1.3%) | 0 (0%) | 0 (0%) | 0 (0%) | 0 (0%) | 0 (0%) | 0 (0%) | 0 (0%) | 0 (0%) | 1 (<0.1%) |
| Albania | 0 (0%) | 0 (0%) | 0 (0%) | 0 (0%) | 0 (0%) | 0 (0%) | 0 (0%) | 0 (0%) | 0 (0%) | 0 (0%) | 0 (0%) | 0 (0%) | 0 (0%) | 0 (0%) | 0 (0%) | 0 (0%) | 1 (0.3%) | 0 (0%) | 0 (0%) | 0 (0%) | 0 (0%) | 0 (0%) | 0 (0%) | 1 (<0.1%) |
| Brazil | 0 (0%) | 0 (0%) | 0 (0%) | 0 (0%) | 0 (0%) | 0 (0%) | 0 (0%) | 0 (0%) | 0 (0%) | 0 (0%) | 0 (0%) | 0 (0%) | 0 (0%) | 0 (0%) | 1 (1.3%) | 0 (0%) | 0 (0%) | 0 (0%) | 0 (0%) | 0 (0%) | 0 (0%) | 0 (0%) | 0 (0%) | 1 (<0.1%) |
| Cameroon | 0 (0%) | 0 (0%) | 0 (0%) | 0 (0%) | 0 (0%) | 0 (0%) | 0 (0%) | 0 (0%) | 1 (1.5%) | 0 (0%) | 0 (0%) | 0 (0%) | 0 (0%) | 0 (0%) | 0 (0%) | 0 (0%) | 0 (0%) | 0 (0%) | 0 (0%) | 0 (0%) | 0 (0%) | 0 (0%) | 0 (0%) | 1 (<0.1%) |
| Canada | 0 (0%) | 0 (0%) | 0 (0%) | 0 (0%) | 0 (0%) | 0 (0%) | 0 (0%) | 0 (0%) | 0 (0%) | 0 (0%) | 0 (0%) | 1 (3.0%) | 0 (0%) | 0 (0%) | 0 (0%) | 0 (0%) | 0 (0%) | 0 (0%) | 0 (0%) | 0 (0%) | 0 (0%) | 0 (0%) | 0 (0%) | 1 (<0.1%) |
| Colombia | 0 (0%) | 0 (0%) | 0 (0%) | 0 (0%) | 0 (0%) | 0 (0%) | 0 (0%) | 0 (0%) | 0 (0%) | 0 (0%) | 0 (0%) | 0 (0%) | 0 (0%) | 0 (0%) | 1 (1.3%) | 0 (0%) | 0 (0%) | 0 (0%) | 0 (0%) | 0 (0%) | 0 (0%) | 0 (0%) | 0 (0%) | 1 (<0.1%) |
| Iceland | 0 (0%) | 0 (0%) | 0 (0%) | 0 (0%) | 0 (0%) | 1 (1.5%) | 0 (0%) | 0 (0%) | 0 (0%) | 0 (0%) | 0 (0%) | 0 (0%) | 0 (0%) | 0 (0%) | 0 (0%) | 0 (0%) | 0 (0%) | 0 (0%) | 0 (0%) | 0 (0%) | 0 (0%) | 0 (0%) | 0 (0%) | 1 (<0.1%) |
| Korea, South | 0 (0%) | 0 (0%) | 0 (0%) | 1 (1.9%) | 0 (0%) | 0 (0%) | 0 (0%) | 0 (0%) | 0 (0%) | 0 (0%) | 0 (0%) | 0 (0%) | 0 (0%) | 0 (0%) | 0 (0%) | 0 (0%) | 0 (0%) | 0 (0%) | 0 (0%) | 0 (0%) | 0 (0%) | 0 (0%) | 0 (0%) | 1 (<0.1%) |
| Pakistan | 0 (0%) | 0 (0%) | 0 (0%) | 0 (0%) | 0 (0%) | 0 (0%) | 0 (0%) | 0 (0%) | 0 (0%) | 0 (0%) | 0 (0%) | 0 (0%) | 0 (0%) | 0 (0%) | 1 (1.3%) | 0 (0%) | 0 (0%) | 0 (0%) | 0 (0%) | 0 (0%) | 0 (0%) | 0 (0%) | 0 (0%) | 1 (<0.1%) |
| Senegal | 0 (0%) | 0 (0%) | 0 (0%) | 0 (0%) | 0 (0%) | 0 (0%) | 0 (0%) | 0 (0%) | 0 (0%) | 0 (0%) | 0 (0%) | 0 (0%) | 0 (0%) | 0 (0%) | 1 (1.3%) | 0 (0%) | 0 (0%) | 0 (0%) | 0 (0%) | 0 (0%) | 0 (0%) | 0 (0%) | 0 (0%) | 1 (<0.1%) |
| South Africa | 0 (0%) | 0 (0%) | 0 (0%) | 0 (0%) | 0 (0%) | 0 (0%) | 0 (0%) | 0 (0%) | 0 (0%) | 0 (0%) | 0 (0%) | 0 (0%) | 0 (0%) | 0 (0%) | 1 (1.3%) | 0 (0%) | 0 (0%) | 0 (0%) | 0 (0%) | 0 (0%) | 0 (0%) | 0 (0%) | 0 (0%) | 1 (<0.1%) |
| 1 n (%) | ||||||||||||||||||||||||
- Type B
| Characteristic | DG Climate Action N = 41 |
DG Communications Networks, Content and Technology N = 11 |
DG Employment, Social Affairs and Inclusion N = 3741 |
DG Financial Stability, Financial Services and Capital Markets Union N = 731 |
DG Internal Market, Industry, Entrepreneurship and SMEs N = 11 |
DG Justice and Consumers N = 401 |
DG Maritime Affairs and Fisheries N = 71 |
DG Migration and Home Affairs N = 31 |
DG Mobility and Transport N = 61 |
DG Research and Innovation N = 381 |
Secretariat-General N = 191 |
Overall N = 5661 |
|---|---|---|---|---|---|---|---|---|---|---|---|---|
| COUNTRY_pers | ||||||||||||
| Germany | 1 (25%) | 0 (0%) | 30 (8.0%) | 12 (16%) | 0 (0%) | 6 (15%) | 0 (0%) | 0 (0%) | 1 (17%) | 6 (16%) | 2 (11%) | 58 (10%) |
| Belgium | 1 (25%) | 0 (0%) | 37 (9.9%) | 5 (6.8%) | 0 (0%) | 2 (5.0%) | 0 (0%) | 0 (0%) | 0 (0%) | 5 (13%) | 1 (5.3%) | 51 (9.0%) |
| Italy | 0 (0%) | 1 (100%) | 19 (5.1%) | 5 (6.8%) | 1 (100%) | 6 (15%) | 2 (29%) | 0 (0%) | 0 (0%) | 3 (7.9%) | 3 (16%) | 40 (7.1%) |
| France | 0 (0%) | 0 (0%) | 17 (4.5%) | 11 (15%) | 0 (0%) | 3 (7.5%) | 0 (0%) | 0 (0%) | 0 (0%) | 2 (5.3%) | 3 (16%) | 36 (6.4%) |
| Spain | 0 (0%) | 0 (0%) | 18 (4.8%) | 7 (9.6%) | 0 (0%) | 1 (2.5%) | 1 (14%) | 0 (0%) | 3 (50%) | 5 (13%) | 1 (5.3%) | 36 (6.4%) |
| Denmark | 0 (0%) | 0 (0%) | 23 (6.1%) | 2 (2.7%) | 0 (0%) | 0 (0%) | 0 (0%) | 0 (0%) | 0 (0%) | 0 (0%) | 3 (16%) | 28 (4.9%) |
| Netherlands | 0 (0%) | 0 (0%) | 17 (4.5%) | 5 (6.8%) | 0 (0%) | 3 (7.5%) | 0 (0%) | 0 (0%) | 0 (0%) | 2 (5.3%) | 0 (0%) | 27 (4.8%) |
| Austria | 0 (0%) | 0 (0%) | 15 (4.0%) | 2 (2.7%) | 0 (0%) | 1 (2.5%) | 0 (0%) | 0 (0%) | 1 (17%) | 4 (11%) | 1 (5.3%) | 24 (4.2%) |
| Poland | 0 (0%) | 0 (0%) | 9 (2.4%) | 3 (4.1%) | 0 (0%) | 1 (2.5%) | 2 (29%) | 0 (0%) | 0 (0%) | 5 (13%) | 1 (5.3%) | 21 (3.7%) |
| Finland | 1 (25%) | 0 (0%) | 14 (3.7%) | 3 (4.1%) | 0 (0%) | 0 (0%) | 0 (0%) | 0 (0%) | 0 (0%) | 0 (0%) | 1 (5.3%) | 19 (3.4%) |
| Ireland | 0 (0%) | 0 (0%) | 13 (3.5%) | 3 (4.1%) | 0 (0%) | 1 (2.5%) | 0 (0%) | 0 (0%) | 0 (0%) | 0 (0%) | 0 (0%) | 17 (3.0%) |
| Sweden | 0 (0%) | 0 (0%) | 15 (4.0%) | 1 (1.4%) | 0 (0%) | 0 (0%) | 0 (0%) | 0 (0%) | 0 (0%) | 1 (2.6%) | 0 (0%) | 17 (3.0%) |
| Czech Republic | 0 (0%) | 0 (0%) | 11 (2.9%) | 0 (0%) | 0 (0%) | 3 (7.5%) | 0 (0%) | 0 (0%) | 0 (0%) | 0 (0%) | 1 (5.3%) | 15 (2.7%) |
| Portugal | 0 (0%) | 0 (0%) | 11 (2.9%) | 3 (4.1%) | 0 (0%) | 1 (2.5%) | 0 (0%) | 0 (0%) | 0 (0%) | 0 (0%) | 0 (0%) | 15 (2.7%) |
| Greece | 0 (0%) | 0 (0%) | 10 (2.7%) | 0 (0%) | 0 (0%) | 1 (2.5%) | 0 (0%) | 1 (33%) | 0 (0%) | 1 (2.6%) | 1 (5.3%) | 14 (2.5%) |
| Romania | 0 (0%) | 0 (0%) | 7 (1.9%) | 2 (2.7%) | 0 (0%) | 2 (5.0%) | 1 (14%) | 0 (0%) | 0 (0%) | 1 (2.6%) | 0 (0%) | 13 (2.3%) |
| Croatia | 0 (0%) | 0 (0%) | 10 (2.7%) | 1 (1.4%) | 0 (0%) | 0 (0%) | 0 (0%) | 0 (0%) | 0 (0%) | 0 (0%) | 1 (5.3%) | 12 (2.1%) |
| Bulgaria | 0 (0%) | 0 (0%) | 10 (2.7%) | 1 (1.4%) | 0 (0%) | 0 (0%) | 0 (0%) | 0 (0%) | 0 (0%) | 0 (0%) | 0 (0%) | 11 (1.9%) |
| Estonia | 0 (0%) | 0 (0%) | 10 (2.7%) | 0 (0%) | 0 (0%) | 0 (0%) | 0 (0%) | 0 (0%) | 0 (0%) | 1 (2.6%) | 0 (0%) | 11 (1.9%) |
| Lithuania | 0 (0%) | 0 (0%) | 9 (2.4%) | 2 (2.7%) | 0 (0%) | 0 (0%) | 0 (0%) | 0 (0%) | 0 (0%) | 0 (0%) | 0 (0%) | 11 (1.9%) |
| Cyprus | 0 (0%) | 0 (0%) | 10 (2.7%) | 0 (0%) | 0 (0%) | 0 (0%) | 0 (0%) | 0 (0%) | 0 (0%) | 0 (0%) | 0 (0%) | 10 (1.8%) |
| Hungary | 0 (0%) | 0 (0%) | 8 (2.1%) | 2 (2.7%) | 0 (0%) | 0 (0%) | 0 (0%) | 0 (0%) | 0 (0%) | 0 (0%) | 0 (0%) | 10 (1.8%) |
| Luxembourg | 0 (0%) | 0 (0%) | 10 (2.7%) | 0 (0%) | 0 (0%) | 0 (0%) | 0 (0%) | 0 (0%) | 0 (0%) | 0 (0%) | 0 (0%) | 10 (1.8%) |
| Malta | 0 (0%) | 0 (0%) | 10 (2.7%) | 0 (0%) | 0 (0%) | 0 (0%) | 0 (0%) | 0 (0%) | 0 (0%) | 0 (0%) | 0 (0%) | 10 (1.8%) |
| Slovenia | 0 (0%) | 0 (0%) | 8 (2.1%) | 1 (1.4%) | 0 (0%) | 0 (0%) | 0 (0%) | 0 (0%) | 0 (0%) | 1 (2.6%) | 0 (0%) | 10 (1.8%) |
| United Kingdom | 1 (25%) | 0 (0%) | 0 (0%) | 2 (2.7%) | 0 (0%) | 4 (10%) | 1 (14%) | 0 (0%) | 1 (17%) | 0 (0%) | 0 (0%) | 9 (1.6%) |
| Slovakia | 0 (0%) | 0 (0%) | 7 (1.9%) | 0 (0%) | 0 (0%) | 0 (0%) | 0 (0%) | 0 (0%) | 0 (0%) | 1 (2.6%) | 0 (0%) | 8 (1.4%) |
| Latvia | 0 (0%) | 0 (0%) | 7 (1.9%) | 0 (0%) | 0 (0%) | 0 (0%) | 0 (0%) | 0 (0%) | 0 (0%) | 0 (0%) | 0 (0%) | 7 (1.2%) |
| Kosovo | 0 (0%) | 0 (0%) | 0 (0%) | 0 (0%) | 0 (0%) | 4 (10%) | 0 (0%) | 0 (0%) | 0 (0%) | 0 (0%) | 0 (0%) | 4 (0.7%) |
| Iceland | 0 (0%) | 0 (0%) | 3 (0.8%) | 0 (0%) | 0 (0%) | 0 (0%) | 0 (0%) | 0 (0%) | 0 (0%) | 0 (0%) | 0 (0%) | 3 (0.5%) |
| Liechtenstein | 0 (0%) | 0 (0%) | 3 (0.8%) | 0 (0%) | 0 (0%) | 0 (0%) | 0 (0%) | 0 (0%) | 0 (0%) | 0 (0%) | 0 (0%) | 3 (0.5%) |
| Norway | 0 (0%) | 0 (0%) | 3 (0.8%) | 0 (0%) | 0 (0%) | 0 (0%) | 0 (0%) | 0 (0%) | 0 (0%) | 0 (0%) | 0 (0%) | 3 (0.5%) |
| Colombia | 0 (0%) | 0 (0%) | 0 (0%) | 0 (0%) | 0 (0%) | 1 (2.5%) | 0 (0%) | 0 (0%) | 0 (0%) | 0 (0%) | 0 (0%) | 1 (0.2%) |
| Kenya | 0 (0%) | 0 (0%) | 0 (0%) | 0 (0%) | 0 (0%) | 0 (0%) | 0 (0%) | 1 (33%) | 0 (0%) | 0 (0%) | 0 (0%) | 1 (0.2%) |
| Syria | 0 (0%) | 0 (0%) | 0 (0%) | 0 (0%) | 0 (0%) | 0 (0%) | 0 (0%) | 1 (33%) | 0 (0%) | 0 (0%) | 0 (0%) | 1 (0.2%) |
| 1 n (%) | ||||||||||||
Liste unique des personnes en type B
ID_occupant COUNTRY ID_rpz
1 I_1 Belgium O_61
2 I_2 Belgium O_62
3 I_3 Belgium O_63
4 I_4 Belgium O_64
5 I_5 Italy O_65
6 I_18 Hungary O_66
7 I_7 Denmark O_67
8 I_8 Germany O_68
9 I_9 Germany O_69
10 I_10 Italy O_70
11 I_11 Spain O_71
12 I_12 Denmark O_72
13 I_13 Netherlands O_73
14 I_14 France O_74
15 I_15 Spain O_75
16 I_16 France O_76
17 I_17 Poland O_77
18 I_19 Belgium O_79
19 I_20 Belgium O_80
20 I_21 Italy O_81
21 I_22 Sweden O_82
22 I_23 Finland O_83
23 I_24 Cyprus O_84
24 I_25 Sweden O_82
25 I_26 Greece O_85
26 I_27 Malta O_86
27 I_28 France O_87
28 I_29 Spain O_88
29 I_30 Greece O_89
30 I_31 Poland O_90
31 I_32 Malta O_91
32 I_33 Belgium O_92
33 I_34 Germany O_93
34 I_35 Slovenia O_94
35 I_36 Portugal O_95
36 I_37 Bulgaria O_96
37 I_38 Ireland O_97
38 I_39 Luxembourg O_98
39 I_40 Portugal O_99
40 I_41 Luxembourg O_100
41 I_42 Lithuania O_101
42 I_43 Belgium O_102
43 I_44 Bulgaria O_96
44 I_45 Luxembourg O_103
45 I_189 Latvia O_104
46 I_47 Hungary O_105
47 I_48 Czech Republic O_106
48 I_49 Finland O_107
49 I_50 Sweden O_108
50 I_51 France O_109
51 I_52 Italy O_110
52 I_53 Slovakia O_111
53 I_54 Germany O_112
54 I_55 Cyprus O_84
55 I_56 Italy O_70
56 I_57 Sweden O_82
57 I_58 Germany O_113
58 I_59 Estonia O_114
59 I_60 Portugal O_115
60 I_61 Spain O_71
61 I_62 Cyprus O_116
62 I_63 Latvia O_104
63 I_64 Finland O_107
64 I_65 Croatia O_117
65 I_66 Lithuania O_118
66 I_67 Austria O_119
67 I_68 Finland O_107
68 I_69 Austria O_119
69 I_70 Croatia O_117
70 I_71 Denmark O_72
71 I_72 Slovenia O_120
72 I_73 Austria O_121
73 I_74 Latvia O_104
74 I_75 Bulgaria O_122
75 I_76 Malta O_123
76 I_77 Croatia O_117
77 I_138 Latvia O_self_employed_0
78 I_79 Poland O_129
79 I_80 Slovenia O_130
80 I_81 Italy O_81
81 I_82 Ireland O_131
82 I_83 Romania O_132
83 I_84 Cyprus O_133
84 I_85 Norway O_134
85 I_86 Spain O_75
86 I_87 Bulgaria O_136
87 I_88 Liechtenstein O_137
88 I_89 Malta O_138
89 I_90 Estonia O_139
90 I_91 Portugal O_140
91 I_92 Finland O_141
92 I_93 Croatia O_142
93 I_94 Luxembourg O_143
94 I_95 Slovakia O_144
95 I_96 Austria O_145
96 I_97 Lithuania O_146
97 I_98 Iceland O_147
98 I_99 Czech Republic O_148
99 I_100 Greece O_149
100 I_101 Netherlands O_150
101 I_102 Belgium O_151
102 I_103 Sweden O_152
103 I_104 Denmark O_153
104 I_105 Italy O_154
105 I_106 Belgium O_63
106 I_107 Czech Republic O_156
107 I_108 Ireland O_157
108 I_109 Italy O_158
109 I_110 Belgium O_63
110 I_112 Austria O_160
111 I_113 Netherlands O_150
112 I_114 Germany O_161
113 I_115 Denmark O_162
114 I_116 Belgium O_63
115 I_117 Germany O_163
116 I_118 Germany O_164
117 I_119 Denmark O_165
118 I_128 Sweden O_152
119 I_122 Spain O_self_employed_1
120 I_123 Belgium O_151
121 I_246 Netherlands O_self_employed_2
122 I_125 Belgium O_166
123 I_126 Spain O_75
124 I_127 Germany O_113
125 I_129 Czech Republic O_148
126 I_130 Belgium O_63
127 I_131 Germany O_167
128 I_132 Germany O_168
129 I_133 Poland O_self_employed_3
130 I_134 Germany O_170
131 I_135 Germany O_172
132 I_136 Greece O_61
133 I_137 Cyprus O_175
134 I_139 Slovenia O_177
135 I_140 Croatia O_117
136 I_141 Hungary O_179
137 I_142 Finland O_180
138 I_143 Sweden O_182
139 I_144 Netherlands O_183
140 I_145 Malta O_184
141 I_146 Norway O_185
142 I_147 Denmark O_186
143 I_148 Luxembourg O_187
144 I_149 Hungary O_188
145 I_150 Malta O_189
146 I_151 Italy O_190
147 I_152 Sweden O_191
148 I_153 Malta O_192
149 I_154 Spain O_88
150 I_155 Cyprus O_193
151 I_156 Romania O_194
152 I_157 Portugal O_115
153 I_158 Portugal O_140
154 I_159 Belgium O_195
155 I_160 Luxembourg O_143
156 I_161 Sweden O_197
157 I_162 Romania O_198
158 I_163 Luxembourg O_100
159 I_164 Ireland O_190
160 I_165 Austria O_121
161 I_166 Germany O_199
162 I_167 Belgium O_200
163 I_168 Luxembourg O_201
164 I_169 Italy O_154
165 I_170 Sweden O_202
166 I_171 Hungary O_188
167 I_172 Lithuania O_203
168 I_173 Luxembourg O_201
169 I_174 Portugal O_204
170 I_175 Spain O_71
171 I_176 Slovenia O_130
172 I_177 Latvia O_205
173 I_178 Lithuania O_206
174 I_179 Austria O_160
175 I_180 Poland O_207
176 I_181 Finland O_208
177 I_182 Germany O_209
178 I_183 Belgium O_210
179 I_184 Lithuania O_211
180 I_185 Poland O_212
181 I_186 Denmark O_213
182 I_187 Germany O_214
183 I_188 Greece O_215
184 I_190 Germany O_217
185 I_191 Greece O_149
186 I_192 Denmark O_112
187 I_193 Croatia O_218
188 I_194 France O_219
189 I_195 Germany O_220
190 I_197 Belgium O_200
191 I_198 Lithuania O_206
192 I_199 Spain O_221
193 I_200 Austria O_121
194 I_201 Czech Republic O_222
195 I_202 Estonia O_223
196 I_203 Poland O_224
197 I_204 Greece O_225
198 I_205 Portugal O_75
199 I_206 Poland O_226
200 I_207 Malta O_91
201 I_208 Austria O_160
202 I_209 Romania O_228
203 I_210 Denmark O_186
204 I_211 Liechtenstein O_127
205 I_212 Croatia O_229
206 I_213 Iceland O_125
207 I_214 Cyprus O_84
208 I_215 Czech Republic O_230
209 I_216 Finland O_141
210 I_217 Latvia O_231
211 I_218 Czech Republic O_148
212 I_219 Latvia O_1549
213 I_220 Estonia O_233
214 I_221 Ireland O_235
215 I_222 Portugal O_75
216 I_223 Spain O_75
217 I_224 Italy O_236
218 I_225 Finland O_237
219 I_226 Romania O_238
220 I_227 Cyprus O_133
221 I_228 Austria O_121
222 I_229 Finland O_107
223 I_230 Czech Republic O_106
224 I_231 Bulgaria O_96
225 I_232 Denmark O_72
226 I_234 Slovakia O_245
227 I_235 Slovakia O_243
228 I_236 Finland O_107
229 I_237 Romania O_244
230 I_238 Slovakia O_245
231 I_239 Norway O_134
232 I_240 Lithuania O_246
233 I_241 Spain O_221
234 I_242 Germany O_247
235 I_243 Slovenia O_248
236 I_244 Netherlands O_249
237 I_245 Belgium O_102
238 I_247 Netherlands O_250
239 I_248 Bulgaria O_136
240 I_249 Ireland O_157
241 I_250 Belgium O_251
242 I_251 Belgium O_63
243 I_252 Ireland O_190
244 I_253 Finland O_107
245 I_254 Bulgaria O_252
246 I_255 Malta O_123
247 I_256 France O_253
248 I_257 Estonia O_254
249 I_328 France O_963
250 I_329 Germany O_964
251 I_330 Italy O_965
252 I_331 Romania O_966
253 I_332 Portugal O_967
254 I_333 Netherlands O_968
255 I_334 Italy O_964
256 I_335 Greece O_969
257 I_336 Germany O_970
258 I_337 Belgium O_968
259 I_338 Romania O_971
260 I_339 Netherlands O_970
261 I_340 Germany O_965
262 I_341 Austria O_972
263 I_358 Germany O_973
264 I_359 Belgium O_974
265 I_360 Belgium O_975
266 I_361 Italy O_976
267 I_362 France O_977
268 I_363 France O_978
269 I_364 Netherlands O_979
270 I_365 Netherlands O_980
271 I_366 Ireland O_981
272 I_367 Ireland O_982
273 I_368 France O_983
274 I_369 United Kingdom O_984
275 I_370 Ireland O_985
276 I_371 Italy O_986
277 I_372 Austria O_2387
278 I_373 Denmark O_988
279 I_374 Romania O_989
280 I_375 Lithuania O_990
281 I_376 Spain O_991
282 I_377 Spain O_992
283 I_378 Portugal O_993
284 I_379 Finland O_994
285 I_380 Germany O_995
286 I_381 Hungary O_996
287 I_382 Italy O_997
288 I_383 Portugal O_998
289 I_384 Belgium O_999
290 I_385 France O_1000
291 I_386 Germany O_427
292 I_387 Netherlands O_1001
293 I_388 Finland O_1002
294 I_389 United Kingdom O_1003
295 I_390 Belgium O_1004
296 I_391 Belgium O_1005
297 I_392 Italy O_110
298 I_393 Germany O_1006
299 I_394 France O_1007
300 I_395 Germany O_1008
301 I_403 Germany O_1138
302 I_404 Spain O_992
303 I_405 Lithuania O_1139
304 I_406 Finland O_1140
305 I_407 Netherlands O_1141
306 I_408 Poland O_1142
307 I_409 Bulgaria O_1143
308 I_410 Germany O_1144
309 I_411 Spain O_30
310 I_412 Spain O_1145
311 I_413 France O_1146
312 I_414 Slovenia O_1147
313 I_526 Germany O_1617
314 I_527 Spain O_276
315 I_528 United Kingdom O_1618
316 I_550 Italy O_154
317 I_551 Germany O_1768
318 I_552 Ireland O_1769
319 I_553 Netherlands O_1770
320 I_554 Italy O_self_employed_5
321 I_555 Spain O_1771
322 I_556 Belgium O_1772
323 I_557 Poland O_self_employed_6
324 I_558 Germany O_1773
325 I_559 Germany O_1774
326 I_609 United Kingdom O_1920
327 I_610 Italy O_1921
328 I_611 Poland O_1922
329 I_612 Spain O_1923
330 I_613 Poland O_1924
331 I_614 Romania O_1925
332 I_615 Italy O_1816
333 I_663 United Kingdom O_2143
334 I_676 Italy O_2132
335 I_721 Austria O_2186
336 I_805 Greece O_85
337 I_806 Germany O_164
338 I_807 Italy O_154
339 I_808 France O_2390
340 I_809 Italy O_2105
341 I_810 Spain O_2391
342 I_811 Denmark O_2392
343 I_812 France O_2393
344 I_813 Croatia O_2394
345 I_814 Poland O_2395
346 I_815 Czech Republic O_2396
347 I_816 France O_1205
348 I_817 Denmark O_1358
349 I_818 Austria O_30
350 I_819 Denmark O_135
351 I_820 Italy O_256
352 I_821 Germany O_325
353 I_822 Finland O_2398
354 I_718 Belgium O_821
355 I_830 Sweden O_1382
356 I_840 Kenya O_self_employed_7
357 I_841 Syria O_2413
358 I_842 Greece O_2414
359 I_860 Czech Republic O_2443
360 I_861 United Kingdom O_718
361 I_873 Kosovo O_2444
362 I_872 France O_2449
363 I_874 Italy O_2450
364 I_883 United Kingdom O_1909
365 I_884 Colombia O_2451
366 I_932 France O_30
367 I_933 Italy O_986
368 I_934 France O_2528
369 I_935 Germany O_2529
370 I_936 Denmark O_2530
371 I_937 Spain O_2384
372 I_938 Croatia O_2256
373 I_939 Poland O_977
374 I_940 Germany O_2531
375 I_941 France O_2532
376 I_942 France O_2533
377 I_944 Spain O_2534
378 I_945 Austria O_2535
379 I_946 France O_2536
380 I_947 Netherlands O_2537
381 I_948 Germany O_2538
382 I_949 Germany O_2539
383 I_950 Poland O_2540
384 I_951 Hungary O_2541
385 I_1074 Italy O_2684
386 I_1279 Belgium O_2835
387 I_1280 Germany O_981
388 I_1281 Finland O_2836
389 I_1354 Austria O_2940
390 I_1355 Germany O_1746
391 I_1356 Germany O_2882
392 I_1357 France O_2941
393 I_1358 Italy O_1746
394 I_1359 Germany O_352
395 I_1360 Greece O_1631
396 I_1361 Poland O_2942
397 I_1362 Poland O_2943
398 I_1363 Romania O_2944
399 I_1364 Poland O_2942
400 I_1365 Belgium O_1166
401 I_1366 Spain O_2945
402 I_1367 Estonia O_2834
403 I_1368 Spain O_1802
404 I_1369 Germany O_2947
405 I_1370 Italy O_2948
406 I_1371 Austria O_2046
407 I_1372 Belgium O_487
408 I_1373 Slovenia O_2949
409 I_1374 Austria O_1746
410 I_1375 Slovakia O_2950
411 I_1376 Spain O_2951
412 I_1377 Belgium O_2019
413 I_1378 Poland O_2019
414 I_1379 Belgium O_2952
415 I_1380 Spain O_2953
416 I_1381 Austria O_485
417 I_1382 Spain O_2954
418 I_1383 Germany O_2955
419 I_1384 Belgium O_1739
420 I_1385 Sweden O_2956
421 I_1386 Germany O_2957
422 I_1387 Poland O_2958
423 I_1388 Netherlands O_2959
424 I_1389 Netherlands O_2960
425 I_1390 France O_2019
NAME STATUS
1 MEESTER Kris Member
2 OSSIEUR Isaline Member
3 SCHAAPMAN Marian Member
4 VAN EYCK Kris Member
5 ARLATI Claudio Alternate member
6 GYÖRGY Károly Member
7 NIELSEN Nina Member
8 HEIMANN Richard Alternate member
9 KÖNIG Sonja Member
10 LEUZZI Fabiola Member
11 MAYA RUBIO Isabel Member
12 SØBY Lena Member
13 VAN MIERLO Mario Member
14 ZAIGOUCHE Abderrafik Member
15 DE LAS MORENAS DE TORO José Member
16 GAMBELLI Franck Member
17 GOC Dariusz Member
18 HEBESTREIT Corina Alternate member
19 LUMEN Florence Member
20 LUPI Marco Member
21 MELLBLOM Bodil Member
22 SOON Argo Alternate member
23 ALEXI Andreas Alternate member
24 ANDERSSON Cecilia Member
25 AVLONITOU Anastasia Alternate member
26 BONDIN Martin Alternate member
27 BUET Nathalie Alternate member
28 CASTRILLO NUNEZ Laura Alternate member
29 DASKALAKI Katerina Member
30 DEFAŃSKA-CZUJKO Edyta Alternate member
31 DELIA Joseph Alternate member
32 DE WILDE Marc Alternate member
33 ENGEL Stefan Alternate member
34 JEFIM Karmen Alternate member
35 FREIRE Alexandra Alternate member
36 GEOREVA Petya Alternate member
37 GILLEN Michael Member
38 GRIMEE Thierry Member
39 HENRIQUE Luís Member
40 HORPER Raymond Alternate member
41 JASIENE Ruta Member
42 JAUPART Samuël Alternate member
43 KATZAROVA Antoaneta Alternate member
44 KIEFFER Marc Alternate member
45 KIUKUCĀNE Ilona Alternate member
46 KOMOROCZKI Istvan Member
47 KROUPOVA Martina Alternate member
48 LAHTI-LEEVE Suvi Member
49 LARSSON Tommy Alternate member
50 LEVY Patrick Alternate member
51 MASCIOCCHI Pier Paolo Alternate member
52 MEITNER Róbert Member
53 METZE Eckhard Member
54 MICHAEL Emilios Alternate member
55 MONACO Fabrizio Alternate member
56 NILSSON Malin Alternate member
57 OSMANI Malalay Alternate member
58 PEÄRNBERG Marju Member
59 PENA COSTA Manuel Marcelino Peralta Alternate member
60 PINTO LOMENA Miriam Member
61 POLYVIOU Polyvios Member
62 PUMPINS Janis Member
63 RÄSÄNEN Mikko Alternate member
64 RIBIČIĆ Admira Alternate member
65 RIZGELE Ineta Alternate member
66 ROSENMAYR Clemens Member
67 RYTIVAARA Auli Alternate member
68 SCHWENG Christa Alternate member
69 SEIFERT Nenad Alternate member
70 SKOVGAARD LAURITSEN Jens Alternate member
71 SMOLE Joze Member
72 SONNWEBER Tobias Alternate member
73 STEPINA Inese Member
74 STOEV Georgi Member
75 TANTI Andy Member
76 ZUNEC Nusa Member
77 ANTAPSONS Ziedonis Member
78 BARTKIEWICZ Katarzyna Member
79 BÖHM Lučka Member
80 COSTA Susanna Member
81 CRONIN Sylvester Member
82 DARLE Mihaela Member
83 EVANGELOU Evangelos Member
84 FUHR LUNDE Bergljot Member
85 TORRE Ana Member
86 KOKALOV Ivan Member
87 LANGENBAHN Sigi Member
88 LIA Alfred Member
89 MAASIKAS Aija Member
90 MACHADO GOMES Fernando José Member
91 MIRONEN Anne Member
92 PALADA Marko Member
93 PEREIRA Carlos Member
94 RAMPAŠEK Peter Member
95 REIFINGER Ingrid Member
96 RUGINIENĖ Inga Member
97 SIGURJONSSON Björn Águst Member
98 SOKOLOVÁ Radka Member
99 STOIMENIDIS Andreas Member
100 VAN VEELEN Wim Member
101 VERDOOT Caroline Member
102 WAERN Cyrene Member
103 BREDAL Charlotte Member
104 CAPPUCCIO Silvana Member
105 FRANKLIN Paula Member
106 RÖHRICH Martin Alternate member
107 BARRY Frank Member
108 COLOMBO Maurizio Member
109 MUSU Tony Member
110 STREITHOFER Petra Member
111 VAN DER STOEL Simon Member
112 WIESKE Martin Member
113 POULSEN Casper Member
114 BOY Stefano Member
115 BRETSCHNEIDER Michael Member
116 KRAUS Thomas Member
117 SORENSEN Kare Alternate member
118 FRÖVEN Peter Member
119 MAESTRE Diego Gonzales Member
120 MELCKMANS Bruno Member
121 VAN STEENBERGEN Rik Member
122 DECHELLE Miette Member
123 FERNANDEZ Victor Member
124 FÖLLER Daniel Member
125 KAVKA Ivo Member
126 KEMPA Viktor Member
127 LÜTZENKIRCHEN Frank Member
128 NELLES Walter Member
129 POTYRALA Dariusz Member
130 MÜLLER Christian Member
131 TIEDEMANN Moriz-Boje Member
132 ADAMAKIS Ioannis Member
133 ANDREOU Nicos Member
134 ANTAUER Igor Member
135 ANTUNOVIC Boris Alternate member
136 ATANASOV Ognyan Member
137 AUVINEN Erkki Alternate member
138 BACKLUND Camilla Member
139 BALJEU S. Alternate member
140 BALZAN Edwin Alternate member
141 BENONISEN Ann Torill Member
142 BJERRE Maria Member
143 BLAISE Pierre Member
144 BODNÁR Ágnes Member
145 BORG Carmen Alternate member
146 BOTTAZZI Marco Member
147 CARTER Ned Alternate member
148 CASARU Anthony Alternate member
149 NUÑEZ Laura Alternate member
150 CHRISTODOULOU Stelios Alternate member
151 CONSTANTINOAIA Corneliu Alternate member
152 MIRA Luís Miguel Alternate member
153 CRUZ Vanda Member
154 DE BOM Erik Member
155 MATTEIS Jean-Luc Member
156 DONOVAN Elise-Marie Alternate member
157 FORNEA Dumitru Alternate member
158 ENGELS François Alternate member
159 ENRIGHT Kevin Alternate member
160 ENZELSBERGER Julia Member
161 ESSBAUER Sandra Member
162 FONCK Herman Alternate member
163 FORNIERI Robert Alternate member
164 FRASCHERI Cinzia Alternate member
165 FRISTEDT Karin Alternate member
166 PARRAGHNÉ Melinda Alternate member
167 GARUOLIS Ričardas Alternate member
168 GOEREND Marcel Alternate member
169 MACHADO Fernando José Alternate member
170 ORTÍZ Marina Member
171 GORIŠEK Katja Alternate member
172 GRIGORJEVS Edgar Alternate member
173 GUZAVIČIUS Jonas Alternate member
174 HEIDER Alexander Alternate member
175 HRYNYK Rafał Alternate member
176 ILVESKIVI Paula Alternate member
177 JOERGENS Runa Member
178 JUNIUS Marc Alternate member
179 JUŠKEVIČIENĖ Dalia Alternate member
180 KACZMARSKA Longina Alternate member
181 FREDERIKSEN Jan Alternate member
182 KARRASS Anne Alternate member
183 KAVALOPOULOS Christos Member
184 KNOCH Ansgar Member
185 KOMINIS Alexandros Alternate member
186 KUMSTEL Martin Member
187 KUTLAČA Rajko Alternate member
188 LAMOUREUX Edina Alternate member
189 LANGE Thomas Member
190 LEPOUTRE Stéphane Alternate member
191 LEVICKIS Vaidotas Member
192 LINARES Pedro J. Member
193 LINDNER Katharina Alternate member
194 MALÁ Jana Alternate member
195 MATT Ülle Alternate member
196 MĘCINA Jacek Member
197 MEGOULIS Antonios Alternate member
198 MELRO VIEIRA Maria da Conceição Alternate member
199 MIŃKOWSKA Agnieszka Alternate member
200 MIZZI Lawrence Member
201 NEDJELIK-LISCHKA Julia Alternate member
202 NICOLESCU Ovidiu Alternate member
203 NIELSEN Rasmus Member
204 NIGG Jürgen Member
205 PALAJSA Gordana Alternate member
206 PÁLSSON Jón Rúnar Member
207 PANAYI Panayiotis Alternate member
208 PEJŠA Jaroslav Alternate member
209 PERIMÄKI Raili Member
210 POMMERS Andris Alternate member
211 PROCHÁZKA Václav Alternate member
212 PUŽULS Mārtiņš Alternate member
213 REEDI Elina Alternate member
214 ROBINSON Dessie Alternate member
215 ROGADO PEREIRA DA CRUZ Vanda Teresa Member
216 RUFINO Marisa Alternate member
217 RUSSOMANNO Giorgio Alternate member
218 SALONEN Jouni Member
219 SÂRBU Daniela Member
220 SATSIAS Nikos Alternate member
221 SCHITTER Julia Member
222 SCHUGK Jan Alternate member
223 ŠEJDOVÁ Nora Member
224 SIMIDCHIEVA Daniela Alternate member
225 SODE HASLUND Christina Alternate member
226 STAŠKO Róbert Alternate member
227 SUROVÁ Silvia Alternate member
228 SUSI Mika Alternate member
229 TĂNASE Daniela Alternate member
230 ŤAŽÍK Alexander Alternate member
231 THOMSEN Wenche Irene Member
232 TOMKIENĖ Aistė Alternate member
233 TORRES Javier Alternate member
234 TRIEBEL Rüdiger Alternate member
235 VALENŠEK Matej Alternate member
236 VAN BEEK Robert Alternate member
237 VANMOL Thierry Alternate member
238 VAN WELL H.A.F. Alternate member
239 VASILEVA Renata Alternate member
240 VAUGHAN Frank Alternate member
241 VELLA CASAGRANDE Claudia Member
242 VOGEL Laurent Member
243 WALSH Thomas Member
244 WÄRN Riitta Member
245 ZAGOROV Aleksander Alternate member
246 ZAHRA Brian Alternate member
247 ZERBIB Jean-Paul Alternate member
248 ZIMMERMANN Pila Alternate member
249 LE BOSSÉ Cédric Member
250 DRIESEN Christiane Alternate member
251 PANSINI Giovanni Member
252 DURNESCU Ioan Member
253 IGREJA MATOS José Member
254 UITDEHAAG Jos Member
255 AMODEO-PERILLO Maria Daniela Member
256 GKANA Maria Member
257 BRUECKNER Markus Member
258 GIELEN Patrick Alternate member
259 RĂDOI Raul-Mihai Member
260 VAN TOOREN Remco Alternate member
261 GRIES-REDEKER Sabine Alternate member
262 SZÖKY Walter Member
263 ADOLPH Nicolas Member
264 ALIYEV Farid Member
265 BAERT Christoph Member
266 BATTISTELLA Massimo Member
267 BEYROUTHY Elie Member
268 BONNEAU Mathilde Member
269 BOUDEWIJN Gijs Member
270 BRUGGINK Diederik Member
271 COCOMAN Michael Member
272 CRAWFORD Judith Member
273 DE LABRIOLLE Stéphanie Member
274 DEVLUKIA Nilixa Member
275 DILLON Una Member
276 ESPOSITO Giancarlo Member
277 GERHARTINGER Hartwig Member
278 HANSEN Jacob Ruben Member
279 IACOB Alin Member
280 LIUTKUTÉ HABCHI Loreta Member
281 LOZANO BELIO Jésus Member
282 MARTÍN-GIL PARRA Matías Member
283 MOZ TEIXEIRA Mafalda Member
284 MYKKÄNEN Anni Member
285 OHLHAUSEN Ralf Member
286 PETER Emöke Member
287 POLVERINI Sacha Member
288 PRANJIVAN Vinay Member
289 RAYMAEKERS Wim Member
290 RODRIGUEZ Fanny Member
291 SCHAEFER Axel Member
292 SCHEEPERS Gerard Member
293 SNELLMAN Jussi Member
294 SOTERI Katerina Member
295 VAN BULCK Magali Member
296 VANDORMAEL Robrecht Member
297 VESCINA Salvatore Member
298 WALGENBACH Lisa Member
299 YOU Narinda Member
300 ZEITZ-BRANDMEYER Claudio Member
301 BECKENDORFF Frederik Member
302 CREMADES ERADES Victor Member
303 KUPŠYS Kęstutis Member
304 LOUNASMERI Sari Member
305 MULDER Joost Member
306 NAKONIECZNY Piotr Member
307 NIKOLOV Mariyan Member
308 NORWOOD Peter Member
309 REYNA Agustin Member
310 SUAREZ Patricia Member
311 TSILIKOUNAS Caroline Member
312 VERBIC Kristjan Member
313 HUSCHEBECK Marcel Member
314 MARTINEZ SANS Maria de la Fuensanta Member
315 ROFF David Member
316 FABRIZIO Petroli Member
317 FELIX Steffek Member
318 LYNCH FANNON Irene Member
319 JOHAN Jol Member
320 LEANDRO Antonio Member
321 LÓPEZ-VALCÁRCEL HERRERO María Member
322 JÉRUSALMY Olivier Member
323 KUGLARZ Paweł Member
324 HÄNEL Robert Member
325 MADAUS Stephan Member
326 HARPHAM QUILLON Karl Member
327 GUS Jeans Member
328 CHOJNACKA Katarzyna Member
329 MARTOS BARBA ana Member
330 SZYMANSKI Pawel Member
331 RUSU LILIANA Celia Member
332 SALA Antonello Member
333 SMITH Andrew Member
334 TOFALETTI Sebastiano Member
335 ZIEPTNIG Stefan Member
336 ANGELAKIS Antonios Member
337 BAUSCH Christoph Member
338 BORELLI Silvia Member
339 BRIERE Patrick Member
340 BUSSI Patrizia Member
341 CÓRBODA AZCÁRATE Elena Member
342 HAMILTON HEIDEMANN Lasse Member
343 HUMPHRIES Rebecca Member
344 NOVAC GORANKA Lalic Member
345 LANG Grzegorz Member
346 LOCHMAN Libor Member
347 MATHIS Agnès Member
348 NIELSEN Dorthe Member
349 PACHL Ursula Member
350 ROENNE Heidi Member
351 RONZITTI Valeria Member
352 TEN BRINK Patrick Member
353 VÄÄTÄMÖINEN Kirsi Member
354 WILLEMS Véronique Member
355 BAUMGARTS Marie Member
356 STUHLHOFER Eunice Wangui Member
357 ISMAIL Razan Member
358 MUHAMMADI Yonous Member
359 BUKOVSKA Barbora Member
360 HOLT Charlie Member
361 KUSARI Flutura Member
362 HUET Benoît Member
363 RAVO Linda Member
364 AVETISYAN Arpine Member
365 ZULUAGA JARAMILLO Lady Nancy Member
366 ALLIX Jean Member
367 CORDA Davide Member
368 DUFOURNET Que-Phuong Member
369 FLORIAN Jens-Daniel Member
370 GAMMELMARK Jens Member
371 HERNANDEZ SERRA Catalina Member
372 IVANKOVIC Sanda Member
373 KORUS Krzysztof Member
374 MANOLOVA Zornitsa Member
375 MARESCAUX Nicolas Member
376 MORVAN Anne-Sophie Member
377 OLLERO Carlos Member
378 PICHLER Juliana Member
379 SAINT-ROMAIN Gilles Member
380 SANCANIN Mladen Member
381 SIEBEL Rudolf Member
382 SIPPEL Konrad Member
383 STASZKIEWICZ Maria Member
384 ZIMONYI Michael Member
385 RENDINA Piermarco Member
386 VOYSEY Andrew Observer
387 KRACKE Frauke Member
388 GRANHOLM Kaj Member
389 AUMÜLLER Adolf Member
390 BARTELS Ralf Member
391 BECHTHOLD Tilman Member
392 DIDIER Christophe Member
393 GIBELLIERI Enrico Member
394 HASCHKE Michael Member
395 KAKARAS Emmanuel Member
396 KRZEMIEŃ Alicja Member
397 MALEC Małgorzata Member
398 POPA Emilian Mihai Member
399 PRUSEK Stanislaw Member
400 RICKETTS Brian Member
401 RIESGO FERNANDEZ Pedro Member
402 SIIRDE Andres Member
403 SUAREZ RUIZ Isabel Member
404 THEN Olivier Member
405 ABBRUZZESE Giuseppe Member
406 AUSSERDORFER Karin Member
407 CROON Danny Member
408 GODEC Matjaž Member
409 GRUNDEI Georg Member
410 HALAMA Maros Member
411 HEREDIA LOZANO María Auxiliadora Member
412 HÖRZENBERGER Franz Member
413 KANIA Aleksandra Member
414 LANNOO Griet Member
415 LARAUDOGOITIA Juan José Member
416 MICHELIC Susanne Member
417 OLIVER Santiago Member
418 PALM Birgit Member
419 PETERS Klaus Member
420 PETTERSSON Rachel Member
421 REDENIUS Alexander Member
422 SZULC Wojciech Member
423 VAN DEN HOOGEN Arjan J. Member
424 VAN DER WEIJDEN Hans Member
425 WEBBER Liudmila Member
| Organisation représentées par les types B | |
| n | |
|---|---|
| european trade union institute (etui) | 13 |
| confederation of danish employers (da) | 8 |
| self-employed | 8 |
| union des industries et métiers de la métallurgie (uimm) | 7 |
| união geral de trabalhadores (ugt) | 7 |
| confederación española de organizaciones empresariales (ceoe) | 6 |
| confederation of finnish industries ek (ek) | 6 |
| confederazione generale dell'industria italiana (confindustria) | 6 |
| vereniging vno-ncw (vno-ncw) | 6 |
| confederation of swedish enterprise | 5 |
| confederazione generale italiana del lavoro (cgil) | 5 |
| croatian employers' association (cea) | 5 |
| danish trade union confederation eu office (fh) | 5 |
| federatie nederlandse vakbeweging (fnv) | 5 |
| fédération générale du travail de belgique (fgtb) | 5 |
| verbond van belgische ondernemingen / federation des entreprises de belgique (vbo / feb) | 5 |
| bulgarian industrial capital association (bica) | 4 |
| confederation of greek trade unions | 4 |
| confédération générale du travail force ouvrière (cgt-fo) | 4 |
| cyprus chamber of commerce and industry (ccci) | 4 |
| europäisches zentrum für presse- und medienfreiheit (ecpmf) | 4 |
| ibec | 4 |
| industriall european trade union (industriall europe) | 4 |
| latvijas darba devēju konfederācija (lddk) | 4 |
| service industrial professional and technical union (siptu) | 4 |
| vereinigung der österreichischen industrie - industriellenvereinigung (iv) | 4 |
| českomoravská konfederace odborových svazů (čmkos) | 4 |
| 3 | |
| arbeitkammer wien | 3 |
| arcelormittal (am) | 3 |
| association des constructeurs européens d'automobiles (acea) | 3 |
| bundesarbeitskammer österreich (bak) | 3 |
| bundesverband der deutschen industrie e.v. (bdi) | 3 |
| bundesvereinigung der deutschen arbeitgeberverbände e.v. (bda) | 3 |
| bureau européen des unions de consommateurs (beuc) | 3 |
| cebre - czech business representation to the eu in brussels (cebre) | 3 |
| citub | 3 |
| confcommercio - imprese per l'italia (confcommercio) | 3 |
| confederação do comércio e serviços de portugal (ccp) | 3 |
| deutscher gewerkschaftsbund (dgb) | 3 |
| greenpeace european unit | 3 |
| kommission arbeitsschutz und normung (kan) | 3 |
| magyar szakszervezeti szövetség (maszsz) | 3 |
| the central organisation of finnish trade unions sak (sak) | 3 |
| the swedish trade union confederation (lo) | 3 |
| unione italiana del lavoro (uil) | 3 |
| wirtschaftskammer österreich (wkö) | 3 |
| zveza svobodnih sindikatov slovenije - association of free trade unions of slovenia (zsss) | 3 |
| abb | 2 |
| agricultural employer association | 2 |
| algemeen christelijk vakverbond van belgië (acv-csc) | 2 |
| arbeitgeber | 2 |
| article 19 | 2 |
| asociación de usuarios de bancos, cajas y seguros (adicae) | 2 |
| asociatia utilizatorilor romani de servicii financiare (aursf) | 2 |
| associação portuguesa para a defesa do consumidor (deco) | 2 |
| basf se | 2 |
| central association of opticians and optometrists | 2 |
| cip - confederação empresarial de portugal (cip) | 2 |
| civil liberties union for europe (liberties) | 2 |
| confederación sindical de ccoo (ccoo) | 2 |
| confederatia nationala sindicala cartel alfa (cns cartel alfa) | 2 |
| confederation of trade unions of the slovak republic - oz kovo | 2 |
| confédération des syndicats chrétiens (acv-csc) | 2 |
| council of bars and law societies of europe (ccbe) | 2 |
| cyprus employers & industrialists federation (oeb) | 2 |
| cyprus workers confederation (sek) | 2 |
| danish federation of construction workers | 2 |
| di danemark | 2 |
| estonian trade union confederation (eakl) | 2 |
| european judicial training network (ejtn) | 2 |
| european legal interpreters and translators association (eulita) | 2 |
| european payment institutions federation (epif) | 2 |
| european third party providers association (etppa) | 2 |
| federación empresarial de la industria química española (feique) | 2 |
| federation of lithuanian forest and wood workers' trade unions (lmpf) | 2 |
| fedil - the voice of luxembourg's industry (fedil) | 2 |
| foa | 2 |
| fédération belge des industries chimiques et des sciences de la vie (essenscia) | 2 |
| fédération des artisans (fda) | 2 |
| general workers' union (Malta) | 2 |
| główny instytut górnictwa (gig) | 2 |
| hrvatski sindikat telekomunikacija (hst) | 2 |
| industrial minerals association - europe (ima-europe) | 2 |
| industriegewerkschaft metall (ig metall) | 2 |
| intesa sanpaolo | 2 |
| irish congress trade unions (ictu) | 2 |
| k+s aktiengesellschaft (k+s ag) | 2 |
| labour federation | 2 |
| landsorganisasjonen i norge (lo-norway) | 2 |
| landsorganisationen i danmark (lo) | 2 |
| liechensteiner arbeitnehmerverband | 2 |
| lithuanian business representation in brussels (litbre) | 2 |
| lëtzebuerger chrëschtleche gewerkschafts-bond (lcgb) | 2 |
| malta business foundation (mbf) | 2 |
| malta employers association (mea) | 2 |
| mouvement des entreprises de france (medef) | 2 |
| odborový zväz kovo (oz kovo) | 2 |
| ogbl | 2 |
| ogólnopolskie porozumienie związków zawodowych (opzz) | 2 |
| reporters sans frontières (rsf) | 2 |
| stripe, inc. | 2 |
| svaz průmyslu a dopravy čr (sp čr) | 2 |
| the swedish association of industrial employers | 2 |
| trgovinska zbornica slovenije (tzs) | 2 |
| u. s. steel košice, s.r.o. (ussk) | 2 |
| ugt | 2 |
| union europeenne des huissiers de justice (uehj) | 2 |
| união geral de trabalhadores | 2 |
| usr cisl emilia romagna | 2 |
| vnoncw-mkb | 2 |
| österreichischer gewerkschaftsbund (ögb) | 2 |
| γενική συνομοσπονδία επαγγελματιών βιοτεχνών εμπόρων ελλάδας (gsevee) | 2 |
| abn amro bank n.v. (abn amro) | 1 |
| acerinox, s.a. | 1 |
| advicepartners gmbh | 1 |
| aema groupe | 1 |
| afeosz-coop szovetseg | 1 |
| age platform europe (age) | 1 |
| akava ry | 1 |
| allianz se (allianz group) | 1 |
| american express corporation | 1 |
| arbetsgivarverket | 1 |
| archimedes foundation | 1 |
| archimedes foundation - etag | 1 |
| article 19: global campaign for free expression (article 19) | 1 |
| asociación de usuarios financieros (asufin) | 1 |
| asociación española de banca (aeb) | 1 |
| asocuación kudwa | 1 |
| association of employers in craft and small business of slovenia (aecss) | 1 |
| association of lithuanian chambers of commerce, industry and crafts (alccic) | 1 |
| association of the dutch metallurgical industry (vnmi) | 1 |
| autobahnen- und schnellstrassen-finanzierungs- aktiengesellschaft (asfinag) | 1 |
| banco bilbao vizcaya argentaria (bbva) | 1 |
| banco santander, s.a. | 1 |
| betaalvereniging nederland (de betaalvereniging) | 1 |
| bpce (bpce) | 1 |
| bulgarian chamber of commerce and industry (bcci) | 1 |
| bundesverband mineralische rohstoffe e. v. (miro) | 1 |
| bundeswehr institute of microbiology | 1 |
| business & human rights resource centre (bhrrc) | 1 |
| businesseurope | 1 |
| bvi bundesverband investment und asset management e.v. (bvi) | 1 |
| cci france (cci france) | 1 |
| ceep - european centre of employers and enterprises providing public services and services of general interest (ceep) | 1 |
| cembureau - the european cement association (cembureau) | 1 |
| cemex, s.a.b. de c.v. (cemex) | 1 |
| centre de recherches métallurgiques (crm asbl) | 1 |
| centre d’appui aux services de médiation de dettes de la région de bruxelles capitale asbl (camd) | 1 |
| centre for research and technology hellas (certh) | 1 |
| centro sviluppo materiali (csm) | 1 |
| christelijk nationaal vakverbond | 1 |
| cif consulting ltd | 1 |
| climate agriculture alliance (caa) | 1 |
| cnpr - confederaţia naţională a patronatului român | 1 |
| confartigianato imprese | 1 |
| confederatia sindicala nationala meridian (csn meridian) | 1 |
| confederation construction | 1 |
| confederation of european probation (cep) | 1 |
| confederation of icelandic employers | 1 |
| confederation of independent trade unions of bulgaria | 1 |
| confederation of labour 'podkrepa' | 1 |
| confederation of norwegian enterprise (nho) | 1 |
| confederation of professionals in denmark | 1 |
| confederação dos agricultores de portugal (cap) | 1 |
| confedratia nationala a sindicatelor libere din romania - fratia (cnslr-fratia) | 1 |
| confédération française démocratique du travail (cfdt) | 1 |
| confédération générale des cadres cfe-cgc (cfe-cgc) | 1 |
| conseil des notariats de l'union européenne (cnue) | 1 |
| consejo superior de investigaciones científicas (csic) | 1 |
| consiliul naţional al înreprinderilor mici şi mijlocii din românia (cnipmmr) | 1 |
| cooperation and law division of the chamber of agriculture | 1 |
| cooperatives europe | 1 |
| croatian law centre (clc) | 1 |
| deja blue consulting limited (deja blue) | 1 |
| democratic labour federation of cyprus (deok) | 1 |
| deutsche schutzvereinigung für wertpapierbesitz e.v. (dsw) | 1 |
| deutscher arbeitgeber | 1 |
| droit & croissance / rules for growth (d&c) | 1 |
| eesti tööandjate keskliit (etkl) | 1 |
| electronic money association (ema) | 1 |
| elliniko foroum prosfigon (gfr) | 1 |
| embuild | 1 |
| epi interim company | 1 |
| equifax | 1 |
| eurocities | 1 |
| eurocommerce | 1 |
| european association for coal and lignite (euracoal) | 1 |
| european association of co-operative banks (eacb) | 1 |
| european association of judges (eaj) | 1 |
| european association of mining industries, metal ores & industrial minerals (euromines) | 1 |
| european association of payment service providers for merchants (epsm) | 1 |
| european banking federation (ebf) | 1 |
| european centre for development, execution and management of projects (ecdemp) | 1 |
| european citizen science association (ecsa) | 1 |
| european digital finance association (edfa) | 1 |
| european digital sme alliance (digital sme) | 1 |
| european environmental bureau (eeb) | 1 |
| european fashion heritage association (efha) | 1 |
| european federation of investors and financial services users (better finance) | 1 |
| european microfinance network aisbl (emn aisbl) | 1 |
| european network of councils for the judiciary (encj) | 1 |
| european network of social integration enterprises (ensie) | 1 |
| european penitentiary training academies (epta) | 1 |
| european savings and retail banking group (esbg) | 1 |
| european steel technology platform (estep) | 1 |
| europäische union der rechtspfleger (eur) | 1 |
| evn ag (evn) | 1 |
| fairfin (fairfin) | 1 |
| finance watch | 1 |
| fintecture | 1 |
| fire protection and ecology czech association of energy sector employers | 1 |
| forbrugerrådet tænk (the danish consumer council) | 1 |
| forum of maltese unions (for.u.m.) | 1 |
| forum związków zawodowych (fzz) | 1 |
| foundation for a living baltic sea - baltic sea action group (bsag) | 1 |
| france chimie | 1 |
| ftf (ftf) | 1 |
| german fashion modeverband deutschland e.v | 1 |
| global legal entity identifier foundation (gleif) | 1 |
| greek confederation of trade & enterprise | 1 |
| hapag-lloyd-cruisers | 1 |
| hr wallingford ltd | 1 |
| hrvatska udruga radničkih sindikata (hurs) | 1 |
| hup | 1 |
| iberdrola (ibe) | 1 |
| ime (institut of medium size enterprises) general confederation of professionals, craftsmen and merchants greece | 1 |
| impact | 1 |
| ineris | 1 |
| instersindical nacional (cgtp) | 1 |
| institute of metals and technology (imt) | 1 |
| instytut metalurgii żelaza im. stanisława staszica (imż) | 1 |
| instytut techniki górniczej komag (itg komag) | 1 |
| international financial reporting standards (ifrs) foundation (ifrs foundation) | 1 |
| international trade union confederation (ituc) | 1 |
| jernkontoret (-) | 1 |
| kpmg (kpmg) | 1 |
| lamberti s.p.a. (lamberti) | 1 |
| latvian trade union of education and science employees | 1 |
| latvijas brīvo arodbiedrību savienība (lbas) | 1 |
| lithuanian business confederation (lbc) | 1 |
| lithuanian trade union of health care employees (ltuhce) | 1 |
| make mothers matter european delegation (mmm europe) | 1 |
| malta chamber of smes (grtu) | 1 |
| marsh & mclennan companies france (marsh mclennan) | 1 |
| martin-luther-universität halle-wittenberg (mlu) | 1 |
| mastercard | 1 |
| montanuniversitaet leoben (mul) | 1 |
| mrc fraud & payments eu limited (mrc) | 1 |
| national confederation of hungarian trade unions | 1 |
| national research council of italy (c.n.r.) | 1 |
| niezależny samorządny związek zawodowy "solidarność" (nszz "solidarność") | 1 |
| oceanalysis ltd | 1 |
| open finance association europe (ofae) | 1 |
| p27 nordic payment platform (p27) | 1 |
| pancyprian federation of labour (peo) | 1 |
| payments europe | 1 |
| paypal se belgian branch (paypal) | 1 |
| paysafe group limited | 1 |
| pfa pension, forsikringsaktieselskab (pfa group) | 1 |
| pggm (pggm) | 1 |
| polish confederation lewiatan (lewiatan) | 1 |
| politechnika gdańska | 1 |
| politechnika wrocławska (pwr) | 1 |
| ptv planung transport verkehr ag (ptv) | 1 |
| quarzwerke gmbh (quarzwerke) | 1 |
| raiffeisen bank international ag (rbi) | 1 |
| railway workers' union | 1 |
| rewe zentralfinanz eg (rewe group) | 1 |
| rwe ag (rwe ag) | 1 |
| salzgitter ag (szag) | 1 |
| savez samostalnih sindikata hrvatske / union of autonomous trade unions of croatia (sssh / uatuc) | 1 |
| service de santé au travail de l'industrie asbl | 1 |
| sev - hellenic federation of enterprises (σεβ (sev)) | 1 |
| sibs | 1 |
| sidenor investigación y desarrollo s.a. (sidenor i+d) | 1 |
| sla skogs- och lantarbetsgivareförbundet (sla) | 1 |
| slovak association for surface treatment (sspu) | 1 |
| smart payment association (spa) | 1 |
| smeunited aisbl (smeunited) | 1 |
| society for worldwide interbank financial telecommunication (swift) | 1 |
| société générale (sg) | 1 |
| solactive ag | 1 |
| soste suomen sosiaali ja terveys ry (soste) | 1 |
| suomen pörssisäätiö (the finnish foundation for share promotion) | 1 |
| sveriges akademikers centralorganisation (saco) | 1 |
| swedbank as | 1 |
| swedish association of local authorities and regions (salar) | 1 |
| tallinn university of technology (taltech) | 1 |
| tata steel europe (tata steel europe) | 1 |
| tata steel nederland (tata steel nederland) | 1 |
| teollisuuslut0 | 1 |
| the danish chamber of commerce (dansk erhverv) | 1 |
| the european association of corporate treasurers (eact) | 1 |
| the european digital payments industry alliance (edpia) | 1 |
| the european region of the international lesbian, gay, bisexual, trans and intersex association (ilga-europe) | 1 |
| the european steel association (eurofer) | 1 |
| the independent and self-governing trade union | 1 |
| the malta chamber of commerce, enterprise and industry (tmc) | 1 |
| the open innovation lab ltd. (opin) | 1 |
| tjänstemännens centralorganisation (tco) | 1 |
| toimihenkilökeskusjärjestö sttk (sttk) | 1 |
| trade union of health and social securty of slovenia in hospital celje | 1 |
| tüv nord ag (tüv nord) | 1 |
| ugir - uniunea generală a industriaşilor din românia | 1 |
| unie van zelfstandige ondernemers (unizo) | 1 |
| union des entreprises luxembourgeoises (uel) | 1 |
| union des industries chimiques (uic) | 1 |
| union ħaddiema magħqudin (uhm) | 1 |
| unions’ confederation (teenistujate ametiliitude keskorganisatsioon) | 1 |
| universidad de oviedo (uniovi) | 1 |
| universitatea din bucuresti (ub) | 1 |
| universitatea „dunărea de jos” din galați (udjg) | 1 |
| university college cork, national university of ireland, cork (ucc) | 1 |
| uniwersytet warszawski (uw) | 1 |
| unión de empresas siderúrgicas (unesid) | 1 |
| unión profesional (up) | 1 |
| vartotojų aljansas (lithuanian consumers alliance) (lt ca) | 1 |
| vdeh-betriebsforschungsinstitut (bfi) | 1 |
| verband deutscher reeder (vdr) | 1 |
| verband insolvenzverwalter deutschlands (vid) | 1 |
| verbraucherzentrale bundesverband (vzbv) | 1 |
| vereinte dienstleistungsgewerkschaft (ver.di) | 1 |
| vereniging van de nederlandse chemische industrie (vnci) | 1 |
| vgbe energy e.v. | 1 |
| visa europe (visa europe) | 1 |
| voestalpine ag | 1 |
| vseslovensko združenje malih delničarjev (vzmd) | 1 |
| wage committee of the lithuanian tradu union solidarumas | 1 |
| western union | 1 |
| wirtschaftskammer | 1 |
| wirtschaftsvereinigung metalle (wvmetalle) | 1 |
| wise ltd | 1 |
| world wide fund for nature belgium (wwf belgium) | 1 |
| worldline | 1 |
| zchfp sr association of chemical and pharmaceutical industry of the slovak republic | 1 |
| združenje delodajalcev slovenije g.i.z. (zds) | 1 |
| związek pracodawców business centre club (zp bcc) | 1 |
| české dráhy, a.s., (cd) | 1 |
| σεβ σύνδεσμος επιχειρήσεων και βιομηχανιών (σεβ (sev)) | 1 |
GENDER
- pourcentage en colonne
| Characteristic | female N = 7481 |
male N = 1,1471 |
Overall N = 1,8951 |
|---|---|---|---|
| lead_dg | |||
| DG Agriculture and Rural Development | 19 (2.5%) | 24 (2.1%) | 43 (2.3%) |
| DG Budget | 2 (0.3%) | 8 (0.7%) | 10 (0.5%) |
| DG Climate Action | 5 (0.7%) | 10 (0.9%) | 15 (0.8%) |
| DG Communications Networks, Content and Technology | 17 (2.3%) | 37 (3.2%) | 54 (2.8%) |
| DG Competition | 6 (0.8%) | 10 (0.9%) | 16 (0.8%) |
| DG Education and Culture | 34 (4.5%) | 31 (2.7%) | 65 (3.4%) |
| DG Employment, Social Affairs and Inclusion | 163 (22%) | 247 (22%) | 410 (22%) |
| DG Energy | 2 (0.3%) | 2 (0.2%) | 4 (0.2%) |
| DG Environment | 17 (2.3%) | 49 (4.3%) | 66 (3.5%) |
| DG Financial Stability, Financial Services and Capital Markets Union | 35 (4.7%) | 56 (4.9%) | 91 (4.8%) |
| DG Health and Food Safety | 60 (8.0%) | 71 (6.2%) | 131 (6.9%) |
| DG Internal Market, Industry, Entrepreneurship and SMEs | 18 (2.4%) | 16 (1.4%) | 34 (1.8%) |
| DG Justice and Consumers | 88 (12%) | 130 (11%) | 218 (12%) |
| DG Maritime Affairs and Fisheries | 36 (4.8%) | 71 (6.2%) | 107 (5.6%) |
| DG Migration and Home Affairs | 34 (4.5%) | 47 (4.1%) | 81 (4.3%) |
| DG Mobility and Transport | 6 (0.8%) | 18 (1.6%) | 24 (1.3%) |
| DG Research and Innovation | 162 (22%) | 261 (23%) | 423 (22%) |
| DG Taxation and Customs Union | 7 (0.9%) | 7 (0.6%) | 14 (0.7%) |
| DG Translation | 3 (0.4%) | 3 (0.3%) | 6 (0.3%) |
| Eurostat | 10 (1.3%) | 21 (1.8%) | 31 (1.6%) |
| Health Emergency Preparedness and Response Authority | 6 (0.8%) | 9 (0.8%) | 15 (0.8%) |
| Joint Research Centre | 5 (0.7%) | 9 (0.8%) | 14 (0.7%) |
| Secretariat-General | 12 (1.6%) | 7 (0.6%) | 19 (1.0%) |
| Service for Foreign Policy Instruments | 1 (0.1%) | 3 (0.3%) | 4 (0.2%) |
| 1 n (%) | |||
- pourcentage en ligne
| Characteristic | female N = 7481 |
male N = 1,1471 |
Overall N = 1,8951 |
|---|---|---|---|
| lead_dg | |||
| DG Research and Innovation | 162 (38%) | 261 (62%) | 423 (100%) |
| DG Employment, Social Affairs and Inclusion | 163 (40%) | 247 (60%) | 410 (100%) |
| DG Justice and Consumers | 88 (40%) | 130 (60%) | 218 (100%) |
| DG Health and Food Safety | 60 (46%) | 71 (54%) | 131 (100%) |
| DG Maritime Affairs and Fisheries | 36 (34%) | 71 (66%) | 107 (100%) |
| DG Financial Stability, Financial Services and Capital Markets Union | 35 (38%) | 56 (62%) | 91 (100%) |
| DG Migration and Home Affairs | 34 (42%) | 47 (58%) | 81 (100%) |
| DG Environment | 17 (26%) | 49 (74%) | 66 (100%) |
| DG Education and Culture | 34 (52%) | 31 (48%) | 65 (100%) |
| DG Communications Networks, Content and Technology | 17 (31%) | 37 (69%) | 54 (100%) |
| DG Agriculture and Rural Development | 19 (44%) | 24 (56%) | 43 (100%) |
| DG Internal Market, Industry, Entrepreneurship and SMEs | 18 (53%) | 16 (47%) | 34 (100%) |
| Eurostat | 10 (32%) | 21 (68%) | 31 (100%) |
| DG Mobility and Transport | 6 (25%) | 18 (75%) | 24 (100%) |
| Secretariat-General | 12 (63%) | 7 (37%) | 19 (100%) |
| DG Competition | 6 (38%) | 10 (63%) | 16 (100%) |
| DG Climate Action | 5 (33%) | 10 (67%) | 15 (100%) |
| Health Emergency Preparedness and Response Authority | 6 (40%) | 9 (60%) | 15 (100%) |
| DG Taxation and Customs Union | 7 (50%) | 7 (50%) | 14 (100%) |
| Joint Research Centre | 5 (36%) | 9 (64%) | 14 (100%) |
| DG Budget | 2 (20%) | 8 (80%) | 10 (100%) |
| DG Translation | 3 (50%) | 3 (50%) | 6 (100%) |
| DG Energy | 2 (50%) | 2 (50%) | 4 (100%) |
| Service for Foreign Policy Instruments | 1 (25%) | 3 (75%) | 4 (100%) |
| 1 n (%) | |||
- Seulement pour les types A (% ligne)
| Characteristic | female N = 5201 |
male N = 8091 |
Overall N = 1,3291 |
|---|---|---|---|
| lead_dg | |||
| DG Research and Innovation | 151 (39%) | 234 (61%) | 385 (100%) |
| DG Justice and Consumers | 71 (40%) | 107 (60%) | 178 (100%) |
| DG Health and Food Safety | 60 (46%) | 71 (54%) | 131 (100%) |
| DG Maritime Affairs and Fisheries | 34 (34%) | 66 (66%) | 100 (100%) |
| DG Migration and Home Affairs | 32 (41%) | 46 (59%) | 78 (100%) |
| DG Environment | 17 (26%) | 49 (74%) | 66 (100%) |
| DG Education and Culture | 34 (52%) | 31 (48%) | 65 (100%) |
| DG Communications Networks, Content and Technology | 17 (32%) | 36 (68%) | 53 (100%) |
| DG Agriculture and Rural Development | 19 (44%) | 24 (56%) | 43 (100%) |
| DG Employment, Social Affairs and Inclusion | 8 (22%) | 28 (78%) | 36 (100%) |
| DG Internal Market, Industry, Entrepreneurship and SMEs | 18 (55%) | 15 (45%) | 33 (100%) |
| Eurostat | 10 (32%) | 21 (68%) | 31 (100%) |
| DG Financial Stability, Financial Services and Capital Markets Union | 10 (56%) | 8 (44%) | 18 (100%) |
| DG Mobility and Transport | 3 (17%) | 15 (83%) | 18 (100%) |
| DG Competition | 6 (38%) | 10 (63%) | 16 (100%) |
| Health Emergency Preparedness and Response Authority | 6 (40%) | 9 (60%) | 15 (100%) |
| DG Taxation and Customs Union | 7 (50%) | 7 (50%) | 14 (100%) |
| Joint Research Centre | 5 (36%) | 9 (64%) | 14 (100%) |
| DG Climate Action | 4 (36%) | 7 (64%) | 11 (100%) |
| DG Budget | 2 (20%) | 8 (80%) | 10 (100%) |
| DG Translation | 3 (50%) | 3 (50%) | 6 (100%) |
| DG Energy | 2 (50%) | 2 (50%) | 4 (100%) |
| Service for Foreign Policy Instruments | 1 (25%) | 3 (75%) | 4 (100%) |
| 1 n (%) | |||
- Seulement type B (% ligne)
| Characteristic | female N = 2281 |
male N = 3381 |
Overall N = 5661 |
|---|---|---|---|
| lead_dg | |||
| DG Employment, Social Affairs and Inclusion | 155 (41%) | 219 (59%) | 374 (100%) |
| DG Financial Stability, Financial Services and Capital Markets Union | 25 (34%) | 48 (66%) | 73 (100%) |
| DG Justice and Consumers | 17 (43%) | 23 (58%) | 40 (100%) |
| DG Research and Innovation | 11 (29%) | 27 (71%) | 38 (100%) |
| Secretariat-General | 12 (63%) | 7 (37%) | 19 (100%) |
| DG Maritime Affairs and Fisheries | 2 (29%) | 5 (71%) | 7 (100%) |
| DG Mobility and Transport | 3 (50%) | 3 (50%) | 6 (100%) |
| DG Climate Action | 1 (25%) | 3 (75%) | 4 (100%) |
| DG Migration and Home Affairs | 2 (67%) | 1 (33%) | 3 (100%) |
| DG Communications Networks, Content and Technology | 0 (0%) | 1 (100%) | 1 (100%) |
| DG Internal Market, Industry, Entrepreneurship and SMEs | 0 (0%) | 1 (100%) | 1 (100%) |
| 1 n (%) | |||
Titres et positions profesionnelles
On regarde uniquement les types A :
| GENDER | COUNTRY_pers | NAME | TITRE | ID_occupant |
|---|---|---|---|---|
| female | Romania | CALU Monica | I_396 | |
| male | Denmark | FORSSEN Jens | I_453 | |
| male | Germany | HECHT Markus | I_455 | |
| male | Ireland | KING Eoin | I_456 | |
| female | United Kingdom | JONES Barbara | Associate Senior Research Fellow Dr, Researcher - Innovation Research | I_514 |
| female | Spain | PINYOL-JIMENEZ Gemma | Consultant and Researcher on International Migrations | I_516 |
| female | Greece | SOSSIDOU Evangelia N. | I_623 | |
| male | Belgium | GERADIN Damien | I_666 | |
| male | Spain | PADILLA Jorge | I_668 | |
| male | Germany | BARON Justus | I_669 | |
| female | Spain | RODRIGUEZ Blanca | Professor | I_678 |
| male | Italy | GRECO Dario | Professor | I_679 |
| female | Italy | CORSINI Emanuela | Professor | I_681 |
| male | Germany | SEGNER Helmut | Professor | I_682 |
| female | Spain | SANPERA Ana | Professor | I_701 |
| male | Germany | TUENNERMANN Andreas | Professor | I_702 |
| male | Germany | MLYNEK Juergen | Professor | I_704 |
| male | Italy | INGUSCIO Massimo | Professor | I_705 |
| male | Bulgaria | VITANOV Nikolay | Prof. Dr. | I_706 |
| female | France | SENELLART-MARDON Pascale | Professor | I_707 |
| male | Romania | IONICIOIU Radu | Doctor | I_708 |
| male | Netherlands | VERBERK Rogier | Doctor | I_709 |
| male | Germany | ZLOCKI Adrian | I_727 | |
| male | Norway | SOLHEIM Audun | I_728 | |
| male | Germany | WIETFELD Christian | I_729 | |
| female | Italy | MAZZOLA Laura | I_730 | |
| male | France | CHAUFREIN Manuel | I_731 | |
| male | Italy | SCALA Nicole | I_732 | |
| male | Spain | ASSUMPCIO Anton | Researcher | I_752 |
| male | Denmark | HERMANSEN John E | Senior researcher in Agroecology | I_754 |
| female | Belgium | DE SCHRYVER An | LCA Expert | I_760 |
| male | Germany | BODO Steiner | Teaching professor | I_761 |
| male | Germany | MÖLLERHERM Stefan Theodor | Research administrator, Technische Hochschule Georg Agricola University, Bochum (Germany) | I_802 |
| male | Finland | KAUPPILA Tommi | Research professor - Mine and industrial environments Geological Survey of Finland; Kuopio, Finland | I_803 |
| female | Italy | MORGILLO Antonella | Dr. | I_1075 |
| male | Ireland | WARD Shane | Professor of Biosystems Engineering | I_1084 |
| female | Estonia | TALVE Siret | Scientific Adviser | I_1085 |
| female | Finland | TUKIAINEN Taina | Professor | I_1087 |
| male | Bulgaria | ARABADJIEV Jeliazko | Associate Professor Doctor | I_1089 |
| female | France | CHOMIENNE Christine | Dr. | I_1090 |
| female | Ireland | DRURY Amanda | Dr. | I_1091 |
| female | Croatia | FRÖBE Ana | Prof. | I_1092 |
| female | Slovenia | MAHER Nevenka | Dr. | I_1094 |
| female | Estonia | PALM Kaia | Ms. | I_1095 |
| male | Netherlands | PIETERS Rob | Prof. | I_1096 |
| male | Czech Republic | SVOBODA Marek | Mr. | I_1097 |
| female | Cyprus | TOLMA Eleni | Dr. | I_1099 |
| female | Finland | WEIDERPASS VAINIO Elisabete | Prof. Dr. | I_1101 |
| male | Portugal | FERRAO Paulo | Prof. | I_1118 |
| male | Türkiye | KILKIS Siir | Prof. Senior Researcher | I_1121 |
| male | Hungary | DOBOS Endre | Associate Professor | I_1133 |
| male | Netherlands | ERISMAN Jan Willem | Professor | I_1134 |
| female | Romania | BOAJĂ Iustina | Dr. | I_1136 |
| male | Denmark | ANDERSEN Jens-Peter | I_1145 | |
| female | Hungary | FODOR Eva | I_1147 | |
| female | Israel | FORMAN-RABINOVICI Aliza | I_1148 | |
| female | Portugal | FRANÇA Thais | I_1149 | |
| female | Finland | HUSU Liisa | I_1150 | |
| female | Spain | LÓPEZ BELLOSO Maria | I_1152 | |
| male | Italy | PISACANE Lucio | I_1154 | |
| male | Italy | SQUAZZONI Flaminio | I_1155 | |
| female | Finland | MAKAROW Marja | President of Academia Europaea as of January 2022 and Professor at University of Helsinki | I_1170 |
| male | Germany | KLEINALTENKAMP Moritz | Hertie School – Centre for Digital Governance. Postdoctoral researcher and Fellow | I_1262 |
| male | Spain | PAJARITO GRAJALES Diego Fabian | University of Glasgow; Cadastral and Geodesic Engineer | I_1263 |
| female | Italy | PONTI Marisa | Associate Professor - University of Gothenburg | I_1265 |
| male | Poland | TOSZA Stanisław | Associate Professor in Compliance and Law Enforcement; University of Luxembourg | I_1266 |
| female | Sweden | FRISK Karin | I_1452 |
- en tri à plat
| Characteristic | N = 1,7461 |
|---|---|
| prof | |
| Research | 308 (18%) |
| Academia | 272 (16%) |
| Other | 161 (9.2%) |
| Industry | 140 (8.0%) |
| Science | 128 (7.3%) |
| Environment | 89 (5.1%) |
| Law_.civil. | 88 (5.0%) |
| Public_health | 68 (3.9%) |
| Fisheries_and_aquaculture | 48 (2.7%) |
| Agriculture | 47 (2.7%) |
| Climate | 35 (2.0%) |
| Civil_service | 26 (1.5%) |
| Communication | 23 (1.3%) |
| Medical_profession | 23 (1.3%) |
| Public_affairs | 21 (1.2%) |
| Engineering_.IT. | 20 (1.1%) |
| Engineering_.civil. | 19 (1.1%) |
| Law_.corporate. | 19 (1.1%) |
| Biodiversity | 18 (1.0%) |
| Food_safety | 18 (1.0%) |
| Finance | 17 (1.0%) |
| Economy | 16 (0.9%) |
| Development | 12 (0.7%) |
| Consumer | 11 (0.6%) |
| Land_management | 11 (0.6%) |
| Natural_resources | 11 (0.6%) |
| Statistics | 10 (0.6%) |
| Forestry | 9 (0.5%) |
| Law_.taxation. | 9 (0.5%) |
| Livestock | 9 (0.5%) |
| Engineering_.chemical. | 8 (0.5%) |
| Banking | 6 (0.3%) |
| Linguistics_and_Terminology | 6 (0.3%) |
| Public_affairs_.independent. | 6 (0.3%) |
| Civil_protection | 5 (0.3%) |
| Architecture | 4 (0.2%) |
| Audit | 4 (0.2%) |
| Disaster_Risk_Reduction | 4 (0.2%) |
| Engineering_.infrastructure. | 4 (0.2%) |
| Space_and_Satellites_.research. | 4 (0.2%) |
| Engineering_.maritime. | 3 (0.2%) |
| Engineering_.space_research. | 2 (0.1%) |
| Civil_society | 1 (<0.1%) |
| Public_relations | 1 (<0.1%) |
| SMEs | 1 (<0.1%) |
| Trade_Union | 1 (<0.1%) |
| 1 n (%) | |
Individu qui ont plus d’une ‘prof_profile’
| NAME | n |
|---|---|
| BODO Steiner | 16 |
| VAN ACKER Joris | 11 |
| BESTE Andrea | 10 |
| PAJARITO GRAJALES Diego Fabian | 9 |
| SOSSIDOU Evangelia N. | 9 |
| AMADOR GARCIA Alberto | 8 |
| GORACCI Jacopo | 8 |
| HUTCHINSON Clyde | 8 |
| OUDSHOORN frank | 8 |
| VAN DER BLOM Jan | 8 |
| ZENTNER Helena | 8 |
| AUTIO Sari | 7 |
| RAIGON JIMENEZ Maria Dolores | 7 |
| MALUSA Eligio | 6 |
| OLESEN Asger | 6 |
| RÜTER Sebastian | 6 |
| WACKERS Felix | 6 |
| WAIDELICH Anne | 6 |
| ASSUMPCIO Anton | 5 |
| BOUXIN Arnaud | 5 |
| CHIARAMONTI David | 5 |
| HANSEN Max | 5 |
| ION Rodica Mariana | 5 |
| JOOSTEN Hans | 5 |
| KLEINALTENKAMP Moritz | 5 |
| KRETSCHMAR Ursula | 5 |
| MOLTENI Roberto | 5 |
| MÖLLERHERM Stefan Theodor | 5 |
| PERUGINI Lucia | 5 |
| TUENNERMANN Andreas | 5 |
| VERBERK Rogier | 5 |
| ZAMAGNI Alessandra | 5 |
| BACKHAUS Thomas | 4 |
| BEATO BLANCO Paulina | 4 |
| BERNARD Philippe | 4 |
| BERNAUER Ulrike | 4 |
| CALU Monica | 4 |
| CANO MARTÍN Rafael | 4 |
| CHAUDHRY M. Qasim | 4 |
| CLEMENS Mostert | 4 |
| CLEMENTS Adrian | 4 |
| COENRAADS Pieter Jan | 4 |
| CORSINI Emanuela | 4 |
| COZZO Riccardo | 4 |
| DUARTE-DAVIDSON Raquel | 4 |
| DUSINSKA Maria | 4 |
| ERWIN Schau | 4 |
| FOTIADOU Konstantina | 4 |
| FUSI Francesca | 4 |
| GRECO Dario | 4 |
| GUASPARE Françoise | 4 |
| HERMANSEN John E | 4 |
| HOFFMANN Sebastian | 4 |
| HÜDAI Kara | 4 |
| JOHNSON Andrew | 4 |
| JUNGBLUTH Niels | 4 |
| KAUPPILA Tommi | 4 |
| KERTÉSZ Botond | 4 |
| KOESLING Matthias | 4 |
| MILCINSKI Grega | 4 |
| PONTI Marisa | 4 |
| RODRIGUEZ Blanca | 4 |
| ROGIERS Vera | 4 |
| ROUSSELLE Christophe | 4 |
| SEGNER Helmut | 4 |
| SKUNCA Dubravka | 4 |
| TOSZA Stanisław | 4 |
| TUKIAINEN Taina | 4 |
| VAD MATHIESEN Brian | 4 |
| VIDAL-QUADRAS Alejo | 4 |
| ACCIARO Michel | 3 |
| AQUILINA Keith | 3 |
| ARABADJIEV Jeliazko | 3 |
| BARIATTI Stefania | 3 |
| BENTO Nuno | 3 |
| BERTOLLINI Roberto | 3 |
| BLANCO PENEDO María Isabel | 3 |
| BODIN Laurent | 3 |
| BORGES Teresa | 3 |
| BRESSELEERS Peter | 3 |
| CARRASCO FERNÁNDEZ Ana Isabel | 3 |
| CHIVOT Eline | 3 |
| CHOMIENNE Christine | 3 |
| CLEWELL Rebecca | 3 |
| DE ANDRÉS Pedro | 3 |
| DE JONG Wim | 3 |
| DE SCHRYVER An | 3 |
| DE VOOGT Pim | 3 |
| DEHNEN SCHMUTZ Katharina | 3 |
| DOBRZYCKA-KRAHEL Aldona | 3 |
| DRURY Amanda | 3 |
| ERISMAN Jan Willem | 3 |
| EZENDAM Janine | 3 |
| FERRAO Paulo | 3 |
| FLORENT Blondin | 3 |
| FORSSEN Jens | 3 |
| GAFFET Eric | 3 |
| GALLI Corrado Lodovico | 3 |
| GARCIMARTIN-ALFEREZ Francisco | 3 |
| GERADIN Damien | 3 |
| GILILAND John | 3 |
| GIUSEPPE Brundu | 3 |
| GJESTLAND Truls | 3 |
| GONZÁLEZ Alfonso | 3 |
| GOVOREANU Bogdan | 3 |
| INGUSCIO Massimo | 3 |
| IONICIOIU Radu | 3 |
| IVA Biscanic | 3 |
| JOHAN Lammerant | 3 |
| KIENHUIS Anne | 3 |
| KING Eoin | 3 |
| KORCZAK Dieter | 3 |
| KRYSTOWSKI Krzysztof | 3 |
| KRZYWOSZYNSKA Anna | 3 |
| KRÄTKE Renate | 3 |
| KUSTAN Gabriela | 3 |
| LEHMANN David | 3 |
| LINDERS Jan | 3 |
| MAHER Nevenka | 3 |
| MAKAROW Marja | 3 |
| MALDONADO CASTILLO Antonio | 3 |
| MANAKOVSKI Darko | 3 |
| MARCHINI Agnese | 3 |
| MARTELLI Giovanna | 3 |
| MEZZACAPO Simone | 3 |
| MIHAILESCU Gratian | 3 |
| MLYNEK Juergen | 3 |
| NICOLAIDES Chrysostomos | 3 |
| NOVO GUERRERO Antonio | 3 |
| OZUNU Alexandru | 3 |
| PADILLA Jorge | 3 |
| PANTERI Eirini | 3 |
| PEZZI Alberto | 3 |
| PIEPER Hein | 3 |
| PIETERS Rob | 3 |
| PINTO-CORREIA Teresa | 3 |
| PRETATO Ugo | 3 |
| PROFUMO Francesco | 3 |
| PROYKOVA Ana | 3 |
| RODRÍGUEZ Virginia | 3 |
| ROSENBAUM Ralph | 3 |
| ROXANE Silberman | 3 |
| SANPERA Ana | 3 |
| SAPPA Cristiana | 3 |
| SCHNEIDER Petra | 3 |
| SCHRECKENBERG Dirk | 3 |
| SCOTT Marian | 3 |
| SENELLART-MARDON Pascale | 3 |
| SOBOCKÀ Jaroslava | 3 |
| SPEISER Bernhard | 3 |
| SPORTISSE Bruno | 3 |
| STANGHELLINI Lorenzo | 3 |
| STELLARI Giulia Marina | 3 |
| STĘPNIK Maciej | 3 |
| TALVE Siret | 3 |
| TESTAI Emanuela | 3 |
| TINA Heger | 3 |
| TRALAU Tewes | 3 |
| TRAVERSO Marzia | 3 |
| TUBIANA Alain | 3 |
| VALTA Katarina | 3 |
| VANHAECKE Tamara | 3 |
| VEDER Michael | 3 |
| VERBEECK Jorn | 3 |
| VERMEIRE Theodorus | 3 |
| VIGHI Marco | 3 |
| VITANOV Nikolay | 3 |
| WARD Shane | 3 |
| WESSELS Bob | 3 |
| WESTBERG Björn | 3 |
| WIDERA Barbara | 3 |
| WIJNHOVEN Susan | 3 |
| WILLEMS Véronique | 3 |
| WINDISCH Sissy | 3 |
| WOLAK Marcin | 3 |
| XENIDIS Anthimos | 3 |
| ZACHAROV Sergej | 3 |
| ZDRULI Pandi | 3 |
| ANDERSEN Jens-Peter | 2 |
| ANNACONDIA Fabiola | 2 |
| ANTON Fabienne | 2 |
| BARAJAS Maria-Ascension | 2 |
| BARLOWSKI Michal | 2 |
| BARON Justus | 2 |
| BARTZANAS Thomas | 2 |
| BARUFFI Maria Catarina | 2 |
| BILLER-ANDORNO Nikola | 2 |
| BLOKHUIS Harry | 2 |
| BOAJĂ Iustina | 2 |
| BORGES Georg | 2 |
| BOURIN Marie-Christine | 2 |
| BOUSTRAS Georgios | 2 |
| BRIEN Pascale-Marie | 2 |
| BURKART Corinna | 2 |
| BÖSENBERG Frank | 2 |
| CANALI Elisabetta | 2 |
| CARIDAKIS George | 2 |
| CARSTENSEN Kai | 2 |
| CHAI Guocai | 2 |
| CHAUFREIN Manuel | 2 |
| CHIAVETTA Claudio | 2 |
| CIASNOCHA Mateusz | 2 |
| COLLINS Joe | 2 |
| CONTRERAS FORTES Julia | 2 |
| COSGRAVE Bridget | 2 |
| COX Rebecca | 2 |
| DAMMANN Reinhard | 2 |
| DANKER-HOPFE Heidi | 2 |
| DASENBROCK Clemens | 2 |
| DE FRAYE Johan | 2 |
| DEIDUN Alan | 2 |
| DELPHINE Bauchot | 2 |
| DI MARTINO Guido | 2 |
| DOBOS Endre | 2 |
| DOR Virginie | 2 |
| DRESP-LANGLEY Birgitta | 2 |
| ELISABETTA Palumbo | 2 |
| FENTON-GLYNN Claire | 2 |
| FERGUSON Mark | 2 |
| FERREIRA GORJAO Paula | 2 |
| FIETZ Jasmin | 2 |
| FINKBEINER Matthias | 2 |
| FODOR Eva | 2 |
| FONTANET Arnaud | 2 |
| FORMAN-RABINOVICI Aliza | 2 |
| FRANÇA Thais | 2 |
| FRISK Karin | 2 |
| FRÖBE Ana | 2 |
| FUSI Alessandra | 2 |
| GALINDO Maria | 2 |
| GEORGE Cécile | 2 |
| GOETZ Jan | 2 |
| GONZALEZ BEILFUSS Cristina | 2 |
| GUILD Elspeth | 2 |
| GÖSSL Susanne | 2 |
| HAUSER Hermann | 2 |
| HECHT Markus | 2 |
| HELMS Tobias | 2 |
| HODCROFT Emma | 2 |
| HOEPELMAN Andy | 2 |
| HOKKANEN Marja | 2 |
| HUMBERT Sébastien | 2 |
| HUSU Liisa | 2 |
| JONES Barbara | 2 |
| JÉRUSALMY Olivier | 2 |
| KEELING Linda | 2 |
| KEFALAS Vicky | 2 |
| KIENY Marie Paul | 2 |
| KILKIS Siir | 2 |
| KORPELA Kari | 2 |
| LAMBIN Eric | 2 |
| LANGELAND Nina | 2 |
| LANGELLOTTO Luigi | 2 |
| LASIŃSKI-SULECKI Krzysztof | 2 |
| LAUKYTE Migle | 2 |
| LEISSNER Johanna | 2 |
| LERCHENMÜLLER Marc | 2 |
| LICITRA Gaetano | 2 |
| LINDNER Jean-Paul | 2 |
| LLONCH OBIOLS Pol | 2 |
| LÓPEZ BELLOSO Maria | 2 |
| MADIBERK Taavi | 2 |
| MAIQUES VALLS Ana | 2 |
| MALLIA Pierre | 2 |
| MAMBRINI DOUDET Muriel | 2 |
| MANKAA Rose | 2 |
| MARKOTIĆ Alemka | 2 |
| MAZZOLA Laura | 2 |
| MEIßNER Gesine | 2 |
| MELLONI Alberto | 2 |
| MICHAEL Schemmer | 2 |
| MICHEL Virginie | 2 |
| MOLNAR-GABOR Fruzsina | 2 |
| MORGILLO Antonella | 2 |
| MUNTEAN Bianca | 2 |
| MURPHY Thérèse | 2 |
| MURRELL Benjamin | 2 |
| MØLBAK Kåre | 2 |
| NAKICENOVIC Nebojsa | 2 |
| NIELSEN Birte L. | 2 |
| NIELSEN Merete Daniel | 2 |
| OERTELT-PRIGIONE Sabine | 2 |
| PAEGLE Matīss | 2 |
| PALM Kaia | 2 |
| PANAGIOTAKOS Demosthenes | 2 |
| PAPIS-ALMANSA Marta | 2 |
| PIETOLA Liisa | 2 |
| PINYOL-JIMENEZ Gemma | 2 |
| PISACANE Lucio | 2 |
| POTAMITIS Efstathios | 2 |
| POTISEPP Priit | 2 |
| PRETELLI Ilaria | 2 |
| PYRC Krzysztof | 2 |
| PÉREZ BATLLE Marcos | 2 |
| RIGAMONTI Lucia | 2 |
| ROBERFROID Dominique | 2 |
| ROCKSTRÖM Johan | 2 |
| RODENBURG Bas | 2 |
| RODRÍGUEZ BAÑO Jesús | 2 |
| ROMERO Maria José | 2 |
| RUSINOVA Nadia | 2 |
| SCALA Nicole | 2 |
| SCHERPE Jens Martin | 2 |
| SEBESVARI Zita | 2 |
| SEEL Lucia | 2 |
| SEGARRA MURRIA Jose V. | 2 |
| SELOUANE Karim | 2 |
| SERRA Monica | 2 |
| SKOG Karolina | 2 |
| SOLHEIM Audun | 2 |
| SONNEN Max | 2 |
| SPOOLDER Hans | 2 |
| SQUAZZONI Flaminio | 2 |
| STANISŁAWSKA Kinga | 2 |
| STANOJEV Jermina | 2 |
| STEFANELLI Paola | 2 |
| STRES Spela | 2 |
| SVOBODA Marek | 2 |
| SZATMÁRI Zsolt | 2 |
| TERMONT Daniël | 2 |
| TEUTSCH Georg | 2 |
| THERY-MARTI Adrian | 2 |
| TOLEDO CHÁVARRI Ana | 2 |
| TOLMA Eleni | 2 |
| TRENTA Cristina | 2 |
| TROCINO Angela | 2 |
| TRYFONIDOU Alina | 2 |
| TÁTRAI Tünde | 2 |
| USONIS Vytautas | 2 |
| VALCARCE ARENAS Paula | 2 |
| VALROS Anna Elisabet | 2 |
| VAN RANSBEEK Raf | 2 |
| VARANAUSKAS Arminas | 2 |
| VASILIKI Yiatrou | 2 |
| VASILJEVS Andrejs | 2 |
| VASSILAKOU Maria | 2 |
| VELARDE CALVO Antonio | 2 |
| VIDALIS Panagiotis | 2 |
| VIEIRA Helena | 2 |
| VILLARONGA Eduard | 2 |
| VINCO Leonardo James | 2 |
| WAUTELET Patrick | 2 |
| WAUTERS Nico | 2 |
| WEIDERPASS VAINIO Elisabete | 2 |
| WENHAM Clare | 2 |
| WESTPHALEN Benedikt | 2 |
| WHITE Gary | 2 |
| WIEDEMANN Stephen | 2 |
| WIETFELD Christian | 2 |
| WISE Emily | 2 |
| WOLF Timo | 2 |
| WOUTERS Nora | 2 |
| ZAŽÍMALOVÁ Eva | 2 |
| ZENI Olga | 2 |
| ZHEKOVA Svetlana | 2 |
| ZLOCKI Adrian | 2 |
Titre professionnelle
| ID_occupant | NAME | TITRE |
|---|---|---|
| I_258 | BOOGAARD Pieter Johannes | Senior Toxicologogist |
| I_259 | COCKER John | HSL Fellow |
| I_260 | GREIM Helmut | Professor Dr. |
| I_261 | HARTWIG Andrea | Prof. |
| I_262 | HEEDERIK Dick | Profeesor |
| I_263 | HOFFMANN Sebastian | Dr. |
| I_264 | JOHANSON Gunnar | Prof. |
| I_265 | JOHNSEN Helge | Dr. |
| I_266 | KOLLER Michael | Dr. |
| I_267 | KROMHOUT Hans | Professor |
| I_268 | LANDSIEDEL Robert | Senior Research Manager |
| I_269 | LEIBOLD Edgar | Vice President Product Stewardship |
| I_270 | LEVY Leonard | Professor |
| I_271 | MANNO Maurizio | Professor |
| I_272 | MORETTO Angelo | Professor |
| I_273 | NEMERY DE BELLEVAUX | Professor |
| I_274 | NIELSEN Gunnar Damgärd | Prof. |
| I_275 | POSPISCHIL Erich | Dr. |
| I_276 | RIETJENS Ivonne | Professor |
| I_277 | SANTONEN Tiina | Dr. |
| I_278 | SIMONNARD Alain | Senior Toxicologist - Manager |
| I_279 | VAN LOVEREN Hendrik | Professor |
| I_280 | VAN TONGEREN Martie | Research Director |
| I_281 | BERGMANN Andreas | Professor, Zurich University |
| I_282 | CARRUTHERS Ian | Chair IPSAS Board |
| I_283 | LEDOUX Stephanie | Head of accounting standards and internal control, DGFiP, French MoF |
| I_284 | MÜLLER MARQUES BERGER Thomas | Chair Public Sector Committee, FEE |
| I_285 | STANFORD John | Technical Director, International Federation of Accountants (IFAC), IPSAS Board |
| I_286 | ROXANE Silberman | Emeritus senior researcher at the Centre National de la Recherche Scientifique (CNRS) in France and Honorary Professor at GENES (Groupe des Écoles Nationales d’Économie et de Statistique). |
| I_287 | BILLER-ANDORNO Nikola | Chair of Biomedical Ethics and Director, Institute of Biomedical Ethics and History of Medicine, University of Zurich (UZH), a WHO Collaborating Center for Bioethics |
| I_288 | LAUKYTE Migle | Tenure Track Professor of CyberLaw and Cyber Rights at the Law Faculty of Pompeu Fabra University |
| I_289 | ŁUKÓW Paweł | Dean of the Faculty of Philosophy, University of Warsaw |
| I_290 | MALLIA Pierre | Professor of Family Medicine and Patients’ Rights at the University of Malta, Medical School |
| I_291 | MOLNAR-GABOR Fruzsina | Professor of International Medical and Health Law as well as Data Protection Law at the Faculty of Law at the University of Heidelberg |
| I_292 | MURPHY Thérèse | Professor of Law and Director of the Health & Human Rights Unit, Queen's University Belfast |
| I_293 | NYS Herman | Emeritus Professor in medical law at KU Leuven |
| I_294 | PALAZZANI Laura | Professor of Philosophy of law and biolaw, LUMSA University of Roma |
| I_295 | PATRÃO NEVES Maria do Céu | Professor of Ethics at the University of the Azores |
| I_296 | PRAINSACK Barbara | Professor at the Department of Political Science at the University of Vienna |
| I_297 | SAHLIN Nils-Eric | Professor of Medical Ethics, Faculty of Medicine, Lund University Sweden |
| I_298 | SHARON Tamar | Professor of Philosophy, Digitalization and Society at Radboud University Nijmegen |
| I_299 | VAN DEN HOVEN Marcel Jeroen | University Professor and professor of Ethics and Technology at Delft University of Technology |
| I_300 | VESELSKA Renata | Professor of Molecular Biology and Genetics at the Department of Medical Ethics, Faculty of Medicine and Department of Experimental Biology, Faculty of Science, Masaryk University |
| I_301 | VIDALIS Panagiotis | Senior researcher and legal advisor of the Hellenic National Commission for Bioethics and Technoethics |
| I_302 | COLOSIO Claudi | Researcher |
| I_303 | CARSTENSEN Kai | professor for econometrics and director of the Institute for Statistics and Econometrics at the University of Kiel Germany |
| I_304 | COCHI Daniela | Professor of Statistics |
| I_305 | DURAND Martine | Independent International Expert |
| I_316 | FÖKEHRER Cindy | Mag. |
| I_325 | JENEY Petra | Director of the European Centre for Judges and Lawyers (EIPA) |
| I_342 | BERNAUER Ulrike | Dr |
| I_343 | BODIN Laurent | Dr |
| I_344 | CHAUDHRY M. Qasim | Dr |
| I_345 | COENRAADS Pieter Jan | Prof. |
| I_346 | DUSINSKA Maria | Dr |
| I_347 | EZENDAM Janine | Dr |
| I_348 | GAFFET Eric | Dr |
| I_349 | GALLI Corrado Lodovico | Prof. |
| I_350 | PANTERI Eirini | Prof. |
| I_351 | ROGIERS Vera | Prof. |
| I_352 | ROUSSELLE Christophe | Dr |
| I_353 | STĘPNIK Maciej | Dr |
| I_354 | VANHAECKE Tamara | Prof. |
| I_355 | WIJNHOVEN Susan | Dr |
| I_415 | AAGAARD Britta | Chief Business Officer - Semantix |
| I_416 | BAGNULO Lucio | Head of Translation - Amnesty International |
| I_417 | CHIAVETTA Claudio | Director Government Business – Europe |
| I_418 | GEORGAKOPOULOU Yota | Audiovisual Localisation Expert |
| I_419 | TARDITI Giulia | Head of Global Experience |
| I_420 | VASILJEVS Andrejs | Chairman of the Board, Tilde |
| I_421 | ALLEGREZZA Silvia | Professor, University of Luxembourg |
| I_422 | BACHMAIER Winter Lorena | Professor, Complutense University of Madrid |
| I_423 | CAEIRO Pedro | Professor, University of Coimbra |
| I_424 | CAROLUS Patrick | Advocate General, Brussels Court of Appeal |
| I_425 | COSTA RAMOS VÂNIA | Lawyer |
| I_426 | ESPINA Jorge | Public prosecutor, currently Deputy National member for Spain at Eurojust |
| I_427 | ETTENHOFER Joachim | Public Prosecutor |
| I_428 | GARAMVÖLGYI Balazs | Public prosecutor, currently anti-corruption analyst at the OECD Anti-Corruption Division |
| I_429 | HARKIN Tricia | Public prosecutor, Office of the Director of Public Prosecutions, Dublin |
| I_430 | KAIAFA-GBANDI Maria | Professor, Aristotle University of Thessaloniki |
| I_431 | LESAGE Etienne | Lawyer |
| I_432 | LIGETI Katalin | Professor, University of Luxembourg |
| I_433 | LUCHTMAN Michiel | Professor, Utrecht University |
| I_434 | MATT Holger | Lawyer, Frankfurt am Main |
| I_435 | MITSILEGAS Valsamis | Professor, Queen Mary University of London |
| I_436 | OJA Tuomas | Public Prosecutor |
| I_437 | ONDREJOVÁ Anna | Public prosecutor |
| I_438 | PERŠAK Nina | Senior Research Fellow, Institute for Criminal-Law Ethics and Criminology (Ljubljana) |
| I_439 | SATZGER Helmut | Professor, Ludwig-Maximilians-University, Munich |
| I_440 | SICURELLA Rosaria | Professor, University of Catania |
| I_446 | JUNTUNEN Pauliina | Lawyer |
| I_447 | KOTSONIS Totis | Lawyer |
| I_513 | TÁTRAI Tünde | Associate Professor |
| I_463 | CHIARA Fumagalli | Professor |
| I_464 | EMANUELE Tarantino | Professor |
| I_465 | GIACINTA Cestone | Professor |
| I_466 | GIACOMO Calzolari | Professor |
| I_467 | CRAWFORD Gregory S. | Professor |
| I_468 | BOURREAU Marc | Professor |
| I_469 | KYLE Margaret K. | Professor |
| I_470 | SCHANKERMAN Mark | Professor |
| I_471 | SOVINSKY Michelle | Professor |
| I_472 | SCHNITZER Monika | Professor |
| I_473 | FABRA Natalia | Professor |
| I_474 | REY Patrick | Professor |
| I_475 | HEIDHUES Paul | Professor |
| I_476 | VERGÉ Thibaud | Professor |
| I_477 | DUSO Tomaso | Professor |
| I_478 | SPIEGEL Yossi | Professor |
| I_479 | ANNACONDIA Fabiola | Senior Principal VAT Specialist |
| I_480 | BOUCHARD Jean-Claude | Lawyer |
| I_483 | HOKKANEN Marja | Attorney - Doctoral researcher |
| I_484 | LAMENSCH Marie | Research Professor in Tax Law |
| I_485 | LASIŃSKI-SULECKI Krzysztof | Professor - Tax advisor |
| I_486 | PAPIS-ALMANSA Marta | Associate Professor |
| I_488 | SŁAWIŃSKA-CHORYŁO Teresa | Head of Tax Office |
| I_489 | SZATMÁRI Zsolt | European VAT Manager |
| I_492 | WESTBERG Björn | Professor - Tax Law and Public Finance |
| I_514 | JONES Barbara | Associate Senior Research Fellow Dr, Researcher - Innovation Research |
| I_515 | GUILD Elspeth | Professor of Law (European Migration Law) |
| I_516 | PINYOL-JIMENEZ Gemma | Consultant and Researcher on International Migrations |
| I_517 | MAYER Matthias | Project Manager / PhD |
| I_519 | BRESSELEERS Peter | Director |
| I_520 | COSGRAVE Bridget | Advisor |
| I_524 | WAUTERS Nico | Managing Director |
| I_548 | BARIATTI Stefania | Prof. |
| I_560 | GROBERT Nicole | Professor at the Department of Materials, University of Oxford UK. Founding Member of the Young Academy of Europe (YAE) |
| I_561 | KONDOROSI Eva | Research Director Institute of Plant Biology, Biological Research Centre, Hungarian Academy of Sciences Centre of Excellence |
| I_562 | KRUUSMAA Maarja | Professor |
| I_563 | LAMBIN Eric | Professor in the Earth & Life Institute and School of Geography Université catholique de Louvain, Belgium |
| I_564 | MELLONI Alberto | Professor |
| I_565 | NAKICENOVIC Nebojsa | Professor |
| I_566 | ZAŽÍMALOVÁ Eva | Professor at the Experimental Institute of Botany and Institute of Microbiology at the Czech Academy of Sciences, Prague |
| I_571 | KRÄTKE Renate | Dr |
| I_572 | TESTAI Emanuela | Dr |
| I_573 | VERMEIRE Theodorus | Dr |
| I_574 | BORGES Teresa | Dr |
| I_575 | DE JONG Wim | Dr |
| I_576 | VIGHI Marco | Prof. |
| I_577 | BERTOLLINI Roberto | Dr |
| I_578 | DE VOOGT Pim | Prof. |
| I_598 | DUARTE-DAVIDSON Raquel | Prof. |
| I_580 | SCOTT Marian | Dr. |
| I_581 | ZACHAROV Sergej | Dr |
| I_583 | HOET Peter | Prof. |
| I_602 | ION Rodica Mariana | Prof. |
| I_585 | PROYKOVA Ana | Prof. |
| I_586 | SAMARAS Theodoros | Dr |
| I_587 | DANKER-HOPFE Heidi | Prof. |
| I_588 | DASENBROCK Clemens | Dr |
| I_589 | PANAGIOTAKOS Demosthenes | Prof. |
| I_591 | ZENI Olga | Dr |
| I_592 | AUTRUP Herman | Dr |
| I_595 | VERMEIRE Theo | Dr |
| I_596 | VON GOETZ Natalie | Dr |
| I_597 | BACKHAUS Thomas | Prof. |
| I_600 | JOHNSON Andrew | Dr |
| I_601 | LINDERS Jan | Dr |
| I_603 | DEL RIO Alberto | Dr. |
| I_621 | MARAHRENS Michael | Senior scientist, leader of working group, veterinary specialist on animal welfare |
| I_622 | LINDSTRØM NIELSEN Birte | Deputy Scientific Director |
| I_624 | VINCO Leonardo James | PUBLIC HEALTH VETERINARIAN |
| I_626 | NIEMI Jarkko | Research professor |
| I_627 | VALROS Anna Elisabet | Professor |
| I_628 | BERENTSEN Anne-Claire | Scientific employee specialised in animal welfare issues in pig production |
| I_629 | TROCINO Angela | PhD |
| I_630 | VELARDE CALVO Antonio | PhD |
| I_631 | RODENBURG Bas | PhD |
| I_632 | NIELSEN Birte L. | PhD |
| I_633 | CANALI Elisabetta | PhD ECVBM-CA |
| I_635 | DI MARTINO Guido | PhD |
| I_636 | SPOOLDER Hans | PhD |
| I_637 | BLOKHUIS Harry | Professor |
| I_638 | COLLINS Joe | PhD |
| I_639 | KEELING Linda | PhD |
| I_640 | LLONCH OBIOLS Pol | PhD |
| I_641 | MICHEL Virginie | Scientific Advisor and National Coordinator on Animal Welfare activities |
| I_642 | RIBIKAUSKAS Vytautas | PhD |
| I_660 | BALBONI Paolo | lawyer |
| I_677 | KIENHUIS Anne | Dr. |
| I_678 | RODRIGUEZ Blanca | Professor |
| I_679 | GRECO Dario | Professor |
| I_680 | LEHMANN David | Dr. |
| I_681 | CORSINI Emanuela | Professor |
| I_682 | SEGNER Helmut | Professor |
| I_683 | CLEWELL Rebecca | Dr. |
| I_684 | HOFFMANN Sebastian | Dr. |
| I_685 | TRALAU Tewes | Dr. |
| I_699 | RODRIGUEZ DE LAS HERAS BALLELL Teresa | Professor of Commercial law |
| I_701 | SANPERA Ana | Professor |
| I_702 | TUENNERMANN Andreas | Professor |
| I_703 | GOVOREANU Bogdan | Dr |
| I_704 | MLYNEK Juergen | Professor |
| I_705 | INGUSCIO Massimo | Professor |
| I_706 | VITANOV Nikolay | Prof. Dr. |
| I_707 | SENELLART-MARDON Pascale | Professor |
| I_708 | IONICIOIU Radu | Doctor |
| I_709 | VERBERK Rogier | Doctor |
| I_722 | BERTI Eleonora | Council of Europe Cultural Routes Coordinator |
| I_723 | KOLLIAS Stefanos | Professor National Technival University of Athens |
| I_724 | LEISSNER Johanna | Scientific Representative - German Research Alliance Cultural Heritage - Frauenhofer Sustainability Network |
| I_725 | SELFSLAGH Bénédicte | Chair European Heritage Label Panel |
| I_726 | STANOJEV Jermina | Researcher |
| I_750 | STRES Spela | Head of Center for Technology Transfer and Innovation, Jožef Stefan Institute, Slovenia |
| I_752 | ASSUMPCIO Anton | Researcher |
| I_754 | HERMANSEN John E | Senior researcher in Agroecology |
| I_755 | ROSENBAUM Ralph | Head of Sustainability |
| I_756 | WIEDEMANN Stephen | Principal Scientist & Managing Director |
| I_758 | FUSI Alessandra | Head of sustainability |
| I_759 | ZAMAGNI Alessandra | Scientific Director |
| I_760 | DE SCHRYVER An | LCA Expert |
| I_761 | BODO Steiner | Teaching professor |
| I_762 | CLEMENS Mostert | Senior Researcher |
| I_763 | DELPHINE Bauchot | Managing Director |
| I_765 | ELISABETTA Palumbo | Senior Researcher |
| I_766 | ERWIN Schau | Researcher |
| I_767 | FLORENT Blondin | LCA Expert |
| I_768 | HÜDAI Kara | Resource Efficiency, Circular economy and LCA expert |
| I_769 | LINDNER Jean-Paul | Teaching professor |
| I_770 | JELSE Kristian | Sustainability consultant |
| I_771 | VALTA Katarina | Senior Environmental Specialist |
| I_772 | RIGAMONTI Lucia | PhD in Environmental Engineering |
| I_773 | TRAVERSO Marzia | Professor |
| I_774 | FINKBEINER Matthias | Professor and Chair of Sustainable Engineering |
| I_775 | SONNEN Max | Managing Director |
| I_776 | JUNGBLUTH Niels | Dr. Sc. Techn |
| I_778 | MICHAEL Schemmer | Dr. rer. nat. in experimental physics |
| I_779 | HUMBERT Sébastien | Life cycle assessment expert |
| I_780 | PRETATO Ugo | Principal Consultant and R&D responsible |
| I_781 | MARKOTIĆ Alemka | Director of the Infectious Diseases Clinic "Dr. Fran Mihaljević", Zagreb |
| I_782 | FONTANET Arnaud | Director Department of global Health Head of Emerging diseases Epidemiology unit, Institut Pasteur |
| I_785 | MØLBAK Kåre | Staten Serum Institut, Director Coordination Centre for Health Alerts |
| I_791 | CLEMENTS Adrian | President |
| I_792 | OZUNU Alexandru | Professor, Director (founder) of the Research Institute for Sustainability and Disaster Management based on High Performance Computing - ISUMADECIP |
| I_793 | GONZÁLEZ Alfonso | Director Técnico - Responsable Medio Ambiente SEMA, S.L., Sevilla (España) |
| I_794 | CARRASCO FERNÁNDEZ Ana Isabel | RESPONSABLE TÉCNICO DE MEDIO AMBIENTE – Minas de Aguas Teñidas S.A. |
| I_795 | XENIDIS Anthimos | Prof., School of Mining and Metallurgical Engineering, National Technical University of Athens |
| I_796 | MALDONADO CASTILLO Antonio | Mineral resource manager, Magnesitas Navarras, S.A. (Roullier Group), Navarra (Spain) |
| I_797 | KERTÉSZ Botond | Quarry and Sales Director |
| I_798 | SERRA Monica | Geologist and PhD of the Geological Survey of Italy - ISPRA, Rome |
| I_799 | DE ANDRÉS Pedro | General Manager Canteras de Santullan S.A. (Spain) |
| I_800 | SCHNEIDER Petra | Professor for International Water Management / Director of the Master Course Ecological Engineering, Magdeburg-Stendal University of Applied Sciences |
| I_801 | CANO MARTÍN Rafael | Mining Engineer, Mine Assistant Manager, DF, Minera Los Frailes, S.L. |
| I_802 | MÖLLERHERM Stefan Theodor | Research administrator, Technische Hochschule Georg Agricola University, Bochum (Germany) |
| I_803 | KAUPPILA Tommi | Research professor - Mine and industrial environments Geological Survey of Finland; Kuopio, Finland |
| I_804 | RODRÍGUEZ Virginia | Senior Specialist Technician of Public Research Organisms, Geological Survey of Spain (IGME) |
| I_885 | FEDERICO Ferretti | Associate Professor in Law |
| I_886 | JOAO Isabel | Professor Higher Education Institution |
| I_887 | NAMYSŁOWSKA Monika | (Prof.) HEAD OF THE DEPARTMENT OF EUROPEAN ECONOMIC LAW |
| I_888 | AUGENHOFER Susanne | Professor of Law (Chair for Business Law) |
| I_889 | GONZALEZ MARTINEZ David | Group Head of Big Data, Advanced Analytics and AI at Vodafone Business at Vodafone Group, Spain |
| I_890 | GERLINGER Christoph | Senior director at Bayer AG, Germany |
| I_891 | ROZKRUT Dominik | President of the Polish Statistical Office |
| I_892 | LETOUZÉ Emmanuel | Marie Curie Fellow, Pompeu Fabra University and Founder, Data-Pop Alliance at the Pompeu Fabra University, Spain |
| I_893 | WETTER Erik | Assistant Professor at the Stockholm School for Economics and co-founder and Chairman of the Flowminder Foundation |
| I_894 | PELAGALLI Felicia | Founder and CEO of Culture srl – Data, AI and Communication |
| I_895 | MITREA Geta | Lecturer PhD at the National Defence University Carol I, Romania |
| I_896 | DIVERCHY Florent | Data Marketing Expert at Bisnode, Belgium |
| I_897 | SOMERS Geert | Attorney-at-law Partner at Timelex, Belgium |
| I_898 | VENT Kaisa | Head of Methodology Team Positium OÜ |
| I_899 | CARDO JALÓN Luis | Partner at Open Ideas, Spain |
| I_900 | MÄGI Mart | Director General of Statistics Estonia |
| I_901 | DREYER LASSEN David | Prorector, professor at the University of Copenhagen, Denmark |
| I_902 | ZISSIS Dimitris | Associate Professor at the Greek University of the Aegean and Head of R&D for MarineTraffic, Greece |
| I_903 | GARONNA Paolo | Secretary General at the Italian Banking Insurance and Finance Federation, and University Professor, Italy |
| I_904 | ZACCARIN Susanna | University Professor at the University of Trieste |
| I_905 | TEIXEIRA Sandra | Head of Strategy and Product Innovation at GLINTT, Portugal |
| I_906 | BAKARDZHIEVA Silvina | Senior Legal Adviser at the Bulgarian Maritime Administration |
| I_907 | VERHULST Stefaan | Co-founder of and Chief of R&D at The GovLab, New York University |
| I_908 | DUPAIN Wieteke | International Programmes, Knowledge and Research Manager at Euclid Network, Netherlands |
| I_1014 | COX Rebecca | Prof. Head of Influenza Center, Department of Clinical Science, University of Bergen |
| I_1016 | HODCROFT Emma | Molecular epidemiologist, phylogenetics of viruses and other pathogens , prevalence and spread of variants Institute for Social and Preventive Medicine, University of Bern |
| I_1017 | HOEPELMAN Andy | Head of the department of Infectious disease , University Medical Center Utrecht |
| I_1018 | KIENY Marie Paul | Director of Research, French National Institute of Health and Medical Research (INSERM) |
| I_1019 | LANGELAND Nina | Professor Department of Clinical Science, University of Bergen |
| I_1022 | MURRELL Benjamin | Assistant professor Department of Microbiology, Tumor and Cell Biology (MTC), Karolinska Institutet PhD Computer Science |
| I_1023 | PYRC Krzysztof | Virologist Małopolska Centre of Biotechnology of the Jagiellonian University in Kraków |
| I_1024 | ROBERFROID Dominique | Senior epidemiologist at the Belgian Health Care Knowledge Center (KCE) & Professor at the University of Namur (UNamur) |
| I_1025 | RODRÍGUEZ BAÑO Jesús | Head of the Infectious Diseases division at Hospital Universitario Virgen Macarena |
| I_1026 | STEFANELLI Paola | Director of VPD-Reference Lab Unit Head of WHO Collaborative Centre for Polio Dept. of Infectious Diseases Istituto Superiore di Sanità Italian National Public Health Institute |
| I_1027 | USONIS Vytautas | Professor Vilnius University Clinic of Children Diseases |
| I_1028 | WOLF Timo | Head of the Isolation Unit for Highly Pathogenic Infections, University Hospital Frankfurt |
| I_1075 | MORGILLO Antonella | Dr. |
| I_1076 | WIDERA Barbara | PhD HDr |
| I_1077 | MYRIVILI Eleni | Senior Advisor on Climate Adaptation and Resilience for the City of Athens, |
| I_1078 | BOUSTRAS Georgios | Director of CERIDES - Excellence in Innovation and Technology |
| I_1079 | TEUTSCH Georg | Scientific Managing Director |
| I_1080 | PIEPER Hein | Dr. |
| I_1081 | ROCKSTRÖM Johan | Director Potsdam Institute for Climate Impact Research |
| I_1082 | SEGARRA MURRIA Jose V. | Mr. |
| I_1083 | SELOUANE Karim | Founder & CEO |
| I_1084 | WARD Shane | Professor of Biosystems Engineering |
| I_1085 | TALVE Siret | Scientific Adviser |
| I_1086 | ZHEKOVA Svetlana | Senior international expert on environment and climate change policies |
| I_1087 | TUKIAINEN Taina | Professor |
| I_1088 | SEBESVARI Zita | Deputy Director |
| I_1089 | ARABADJIEV Jeliazko | Associate Professor Doctor |
| I_1090 | CHOMIENNE Christine | Dr. |
| I_1091 | DRURY Amanda | Dr. |
| I_1092 | FRÖBE Ana | Prof. |
| I_1093 | GUNTHER Pernilla | Ms. |
| I_1094 | MAHER Nevenka | Dr. |
| I_1095 | PALM Kaia | Ms. |
| I_1096 | PIETERS Rob | Prof. |
| I_1097 | SVOBODA Marek | Mr. |
| I_1098 | TOLEDO CHÁVARRI Ana | Ms. |
| I_1099 | TOLMA Eleni | Dr. |
| I_1100 | TSAGKARIS Christos | Dr. |
| I_1101 | WEIDERPASS VAINIO Elisabete | Prof. Dr. |
| I_1102 | WESTPHALEN Benedikt | Dr. |
| I_1103 | DEIDUN Alan | Prof. |
| I_1104 | VADROT Alice | Dr. |
| I_1105 | GAVRILOVIĆ Ana | Assoc. Prof. |
| I_1106 | DEJUS Brigita | PhD, Senior Researcher |
| I_1107 | MANAKOVSKI Darko | Head of Global Development |
| I_1108 | MEIßNER Gesine | Ms. |
| I_1109 | VIEIRA Helena | Director General of Maritime Policy |
| I_1110 | VASSILEVA Ivelina | Ms. |
| I_1111 | WINTHER Jan-Gunnar | Ph.D. |
| I_1112 | RAMM Klara | Dr. |
| I_1113 | PEDICCHIO Maria Cristina | Prof. |
| I_1114 | VALCARCE ARENAS Paula | Coordinator in Spanish Oceanographic Institute |
| I_1115 | HEFFERNAN Peter | Dr. |
| I_1116 | KOUVELIS Spyridon | H.E. |
| I_1117 | ANFOSSI Alberto Francesco | Secretary General |
| I_1118 | FERRAO Paulo | Prof. |
| I_1119 | GALINDO Maria | Director-General for Digital and Urban |
| I_1120 | GUASPARE Françoise | Senior Policy Advisor |
| I_1121 | KILKIS Siir | Prof. Senior Researcher |
| I_1122 | KUSTAN Gabriela | Ms. |
| I_1123 | MIHAILESCU Gratian | Mr. |
| I_1124 | NICOLAIDES Chrysostomos | Mr. |
| I_1125 | PAEGLE Matīss | Mr. |
| I_1126 | SKOG Karolina | Ms. |
| I_1127 | TERMONT Daniël | Mr. |
| I_1128 | VASSILAKOU Maria | Mag., MSc. |
| I_1129 | VERBEECK Jorn | Mr. |
| I_1130 | WINDISCH Sissy | Ms. |
| I_1131 | CIASNOCHA Mateusz | Mr. |
| I_1132 | DE FRAYE Johan | Head of Environment, Health and Safety |
| I_1133 | DOBOS Endre | Associate Professor |
| I_1134 | ERISMAN Jan Willem | Professor |
| I_1135 | GILILAND John | Professor |
| I_1136 | BOAJĂ Iustina | Dr. |
| I_1137 | KRZYWOSZYNSKA Anna | Dr. |
| I_1138 | MAMBRINI DOUDET Muriel | Research Director |
| I_1139 | MELGAREJO Paloma | Professor |
| I_1140 | PIETOLA Liisa | Dr., Head of Environmental Affairs |
| I_1141 | PINTO-CORREIA Teresa | Professor |
| I_1142 | SOBOCKÀ Jaroslava | Mrs |
| I_1143 | VEREECKEN Harry | Director |
| I_1144 | ZDRULI Pandi | Senior Research Scientist |
| I_1157 | BARJASIC ANDREZ Ana | Connectology - CEO; Global Entrepreneurship Network Europe - Executive Committee Member |
| I_1158 | KROHN TRAASETH Anita | Chairman of the Board, Startup Norway |
| I_1159 | BECKS Bart | Chairman EURACTIV, Chairman E-Health Valley |
| I_1160 | SPORTISSE Bruno | CEO and Chairman of Inria |
| I_1161 | DREHER Carsten | Professor for Innovation Management at Freie Universität Berlin |
| I_1162 | RIESEN Cristina | Founder and CEO Educreators Foundation |
| I_1163 | PROFUMO Francesco | President – Fondazione Compagnia di San Paolo |
| I_1164 | HAUSER Hermann | Partner, Amadeus Capital Partners |
| I_1165 | GOETZ Jan | CEO & co-founder of IQM Quantum Computers |
| I_1166 | BORLONGAN Katherine | Founding member of Scale-Up Europe and Former Director of La French Tech |
| I_1167 | STANISŁAWSKA Kinga | Founder, Experior VC and Founder, European Women in VC |
| I_1168 | FRØLUND Lars | Special Advisor for Innovation, NATO |
| I_1169 | BRIEDE Liene | Acting Director of the Science and Innovation Center |
| I_1170 | MAKAROW Marja | President of Academia Europaea as of January 2022 and Professor at University of Helsinki |
| I_1171 | FERGUSON Mark | Director General, Science Foundation Ireland; Chief Scientific Adviser to the Government of Ireland; former founder and CEO of Renovo Ltd and Renovo Group plc |
| I_1172 | GEORGIEV Radoslav | CTO & Co-founder, Gtmhub |
| I_1174 | MADIBERK Taavi | Chief Executive Officer, Co-Founder, Skeleton Technologies |
| I_1175 | KEFALAS Vicky | Head, Investments & Development Projects, Consolidated Contractors International Company,Member, Investment Committee, InvestEU Fund |
| I_1176 | MAIQUES VALLS Ana | CEO, Neuroelectrics |
| I_1242 | BORGES Georg | Professor |
| I_1243 | BOS Mirjam | LLM |
| I_1244 | FAGGIOLI Gabriele Maria | Adjunct Professor |
| I_1245 | GLEESON NIAMH Christina | Solicitor |
| I_1246 | ITALIANO Annamaria | Senior Advisor |
| I_1247 | LAMBERT Sylvain | Legal Counsel |
| I_1248 | MAJCEN Patrick | Lawyer |
| I_1249 | MAKINEN Jussi | Director, EU Regulation |
| I_1250 | MARCIANO Lorena | Legal Director |
| I_1251 | NIEBUHR Matthias | Rechtsanwalt, Fachanwalt für IT-Recht |
| I_1252 | RAPOPORT Claude | Chairman |
| I_1254 | SZELIGA Agata | radca prawny/legal advisor |
| I_1255 | TAMBA Julie | legal officer |
| I_1256 | VAN DER WEES Arthur | Advocate (Attorney at law) |
| I_1257 | VAN DE WERKEN Jacqueline | General Counsel & DPO |
| I_1258 | WENDEHORST Christiane | Professor of law |
| I_1259 | AQUILINA Keith | Education Officer, Ministry of Education |
| I_1260 | CHIVOT Eline | European People’s Party (EPP) – Senior Adviser on Digital Policy, Senior Policy Adviser and Coordinator |
| I_1261 | HUTCHINSON Clyde | Partner – Journey Partners |
| I_1262 | KLEINALTENKAMP Moritz | Hertie School – Centre for Digital Governance. Postdoctoral researcher and Fellow |
| I_1263 | PAJARITO GRAJALES Diego Fabian | University of Glasgow; Cadastral and Geodesic Engineer |
| I_1264 | PÉREZ BATLLE Marcos | Head of Innovation projects, Barcelona City Council; part-time Lecturer – Technical University of Catalunia |
| I_1265 | PONTI Marisa | Associate Professor - University of Gothenburg |
| I_1266 | TOSZA Stanisław | Associate Professor in Compliance and Law Enforcement; University of Luxembourg |
| I_1267 | ZENTNER Helena | Founder / CEO & Lead Business Consultant – Zenadian (digital business consultancy and innovation management) |
| I_1301 | ANTONIOU Leonidas | Dr |
| I_1302 | BARAJAS Maria-Ascension | Dr |
| I_1303 | BOEKHOLT Patries | Dr |
| I_1304 | KARO Erkki | Associate Professor |
| I_1305 | MONFRAY Patrick | Dr |
| I_1307 | SARAVANTA Leena | Dr |
| I_1308 | SUBRAMANIAM Sumathi | Dr |
| I_1309 | LIGAS Alessandro | Scientific |
| I_1310 | ABELLA Alvaro | Scientific |
| I_1311 | URIARTE SEMINARIO Andres | Scientific |
| I_1312 | MOTOVA Arina | Scientific |
| I_1313 | JUNG Armelle | Scientific |
| I_1314 | O'NEILL Barry | Scientific |
| I_1315 | STRANSKY Christoph | Scientific |
| I_1316 | ULRICH Clara | Scientific |
| I_1317 | VALENTINSSON Daniel | Scientific |
| I_1318 | GASCUEL Didier | Scientific |
| I_1319 | DAMALAS Dimitrios | Scientific |
| I_1320 | MOUTOPOULOS Dimitrios | Scientific |
| I_1321 | RIHAN Dominic Joel | Scientific |
| I_1322 | GRATI Fabio | Scientific |
| I_1323 | BASTARDIE Francois | Scientific |
| I_1324 | DASKALOV Georgi M. | Scientific |
| I_1325 | NORD Jenny | Scientific |
| I_1326 | CASEY John | Scientific |
| I_1327 | IBAIBARRIAGA Leire | Scientific |
| I_1328 | KNITTWEIS-MIFSUD Leyla | Scientific |
| I_1329 | PONTES COELHO BORGES Lisa Maria | Scientific |
| I_1330 | VAN HOOF Luc | Scientific |
| I_1331 | DE LA PAZ SAMPEDRO PASTOR María | Scientific |
| I_1332 | VRGOČ Nedo | Scientific |
| I_1333 | MARTÍN MARTÍN Paloma | Scientific |
| I_1334 | DÖRING Ralf | Scientific |
| I_1335 | PRELLEZO IGUARAN Raúl | Scientific |
| I_1336 | KRAAK Sarah Belle Mathilde | Scientific |
| I_1337 | VILLASANTE Sebastian | Scientific |
| I_1338 | SOMARAKIS Stylianos | Scientific |
| I_1339 | CATCHPOLE Thomas | Scientific |
| I_1340 | RAID Tiit | Scientific |
| I_1341 | VANHEE Willy | Scientific |
| I_1424 | SUNDQVIST ÖQVIST Lena | SWEREA MEFOS AB |
| I_1430 | ALONSO Izaskun | GERDAU I+D EUROPA S.A. |
| I_1438 | LANGELLOTTO Luigi | Manager RINA Consulting |
| Characteristic | N = 1,0541 |
|---|---|
| has_title | |
| 0 | 615 (58%) |
| 1 | 439 (42%) |
| 1 n (%) | |
Organisations (Type B & C)
Types d’intérêts
par siège
| Characteristic | Type B N = 5661 |
Type C N = 5,8201 |
Overall N = 6,3861 |
|---|---|---|---|
| NEWTYPE | |||
| Academia, Research Institute and Think Tanks | 1 (0.2%) | 48 (0.8%) | 49 (0.8%) |
| Academic institutions | 11 (1.9%) | 90 (1.5%) | 101 (1.6%) |
| Associations and networks of public authorities | 3 (0.5%) | 109 (1.9%) | 112 (1.8%) |
| Banques nationales ou centrales | 0 (0%) | 10 (0.2%) | 10 (0.2%) |
| Companies & groups | 62 (11%) | 579 (9.9%) | 641 (10%) |
| Law Firms | 0 (0%) | 7 (0.1%) | 7 (0.1%) |
| Non rempli | 4 (0.7%) | 0 (0%) | 4 (<0.1%) |
| Non-governmental organisations, platforms and networks and similar | 73 (13%) | 1,130 (19%) | 1,203 (19%) |
| Other organisations, public or mixed entities | 6 (1.1%) | 257 (4.4%) | 263 (4.1%) |
| Professional Associations | 5 (0.9%) | 201 (3.5%) | 206 (3.2%) |
| Professional Consultancies | 3 (0.5%) | 57 (1.0%) | 60 (0.9%) |
| Self-employed | 6 (1.1%) | 0 (0%) | 6 (<0.1%) |
| Think tanks and research institutions | 15 (2.7%) | 228 (3.9%) | 243 (3.8%) |
| Trade and business associations | 198 (35%) | 2,885 (50%) | 3,083 (48%) |
| Trade Unions | 179 (32%) | 219 (3.8%) | 398 (6.2%) |
| 1 n (%) | |||
Nb groupe par intérêt
`summarise()` has grouped output by 'NEWTYPE'. You can override using the
`.groups` argument.
| Characteristic | N = 1,2731 |
|---|---|
| NEWTYPE | |
| Trade and business associations | 310 groupes |
| Non-governmental organisations, platforms and networks and similar | 240 groupes |
| Other organisations, public or mixed entities | 119 groupes |
| Think tanks and research institutions | 105 groupes |
| Professional Associations | 104 groupes |
| Trade Unions | 99 groupes |
| Companies & groups | 97 groupes |
| Associations and networks of public authorities | 70 groupes |
| Academic institutions | 51 groupes |
| Professional Consultancies | 39 groupes |
| Academia, Research Institute and Think Tanks | 28 groupes |
| Law Firms | 4 groupes |
| Self-employed | 4 groupes |
| Banques nationales ou centrales | 2 groupes |
| Non rempli | 1 groupes |
| 1 n groupes | |
Types d’intérêt des organisations (B & C) dans les DG
| Characteristic | Academia, Research Institute and Think Tanks N = 491 |
Academic institutions N = 1011 |
Associations and networks of public authorities N = 1121 |
Banques nationales ou centrales N = 101 |
Companies & groups N = 6411 |
Law Firms N = 71 |
Non rempli N = 41 |
Non-governmental organisations, platforms and networks and similar N = 1,2031 |
Other organisations, public or mixed entities N = 2631 |
Professional Associations N = 2061 |
Professional Consultancies N = 601 |
Self-employed N = 61 |
Think tanks and research institutions N = 2431 |
Trade and business associations N = 3,0831 |
Trade Unions N = 3981 |
|---|---|---|---|---|---|---|---|---|---|---|---|---|---|---|---|
| lead_dg | |||||||||||||||
| DG Agriculture and Rural Development | 1 (2.0%) | 9 (8.9%) | 3 (2.7%) | 0 (0%) | 6 (0.9%) | 0 (0%) | 0 (0%) | 164 (14%) | 36 (14%) | 77 (37%) | 7 (12%) | 0 (0%) | 13 (5.3%) | 371 (12%) | 4 (1.0%) |
| DG Climate Action | 1 (2.0%) | 0 (0%) | 0 (0%) | 0 (0%) | 6 (0.9%) | 0 (0%) | 0 (0%) | 25 (2.1%) | 4 (1.5%) | 1 (0.5%) | 1 (1.7%) | 0 (0%) | 6 (2.5%) | 96 (3.1%) | 0 (0%) |
| DG Communications Networks, Content and Technology | 0 (0%) | 0 (0%) | 1 (0.9%) | 0 (0%) | 5 (0.8%) | 0 (0%) | 0 (0%) | 16 (1.3%) | 6 (2.3%) | 9 (4.4%) | 0 (0%) | 0 (0%) | 3 (1.2%) | 10 (0.3%) | 1 (0.3%) |
| DG Defence Industry and Space | 0 (0%) | 11 (11%) | 0 (0%) | 0 (0%) | 109 (17%) | 0 (0%) | 0 (0%) | 6 (0.5%) | 0 (0%) | 0 (0%) | 0 (0%) | 0 (0%) | 26 (11%) | 32 (1.0%) | 0 (0%) |
| DG Economic and Financial Affairs | 0 (0%) | 0 (0%) | 0 (0%) | 0 (0%) | 0 (0%) | 0 (0%) | 0 (0%) | 1 (<0.1%) | 0 (0%) | 0 (0%) | 0 (0%) | 0 (0%) | 0 (0%) | 14 (0.5%) | 0 (0%) |
| DG Education and Culture | 3 (6.1%) | 4 (4.0%) | 0 (0%) | 0 (0%) | 6 (0.9%) | 0 (0%) | 0 (0%) | 52 (4.3%) | 16 (6.1%) | 6 (2.9%) | 0 (0%) | 0 (0%) | 4 (1.6%) | 8 (0.3%) | 7 (1.8%) |
| DG Employment, Social Affairs and Inclusion | 3 (6.1%) | 5 (5.0%) | 3 (2.7%) | 0 (0%) | 13 (2.0%) | 0 (0%) | 4 (100%) | 81 (6.7%) | 7 (2.7%) | 6 (2.9%) | 2 (3.3%) | 4 (67%) | 7 (2.9%) | 294 (9.5%) | 279 (70%) |
| DG Energy | 0 (0%) | 0 (0%) | 0 (0%) | 0 (0%) | 44 (6.9%) | 0 (0%) | 0 (0%) | 21 (1.7%) | 5 (1.9%) | 0 (0%) | 1 (1.7%) | 0 (0%) | 1 (0.4%) | 113 (3.7%) | 0 (0%) |
| DG Environment | 7 (14%) | 10 (9.9%) | 4 (3.6%) | 0 (0%) | 25 (3.9%) | 0 (0%) | 0 (0%) | 249 (21%) | 13 (4.9%) | 16 (7.8%) | 17 (28%) | 0 (0%) | 34 (14%) | 385 (12%) | 8 (2.0%) |
| DG Financial Stability, Financial Services and Capital Markets Union | 0 (0%) | 0 (0%) | 0 (0%) | 0 (0%) | 50 (7.8%) | 0 (0%) | 0 (0%) | 30 (2.5%) | 1 (0.4%) | 0 (0%) | 2 (3.3%) | 0 (0%) | 5 (2.1%) | 29 (0.9%) | 16 (4.0%) |
| DG for Structural Reform Support | 3 (6.1%) | 0 (0%) | 0 (0%) | 0 (0%) | 0 (0%) | 0 (0%) | 0 (0%) | 0 (0%) | 0 (0%) | 0 (0%) | 0 (0%) | 0 (0%) | 0 (0%) | 0 (0%) | 0 (0%) |
| DG Health and Food Safety | 0 (0%) | 7 (6.9%) | 1 (0.9%) | 0 (0%) | 15 (2.3%) | 0 (0%) | 0 (0%) | 135 (11%) | 12 (4.6%) | 29 (14%) | 1 (1.7%) | 0 (0%) | 18 (7.4%) | 367 (12%) | 0 (0%) |
| DG Internal Market, Industry, Entrepreneurship and SMEs | 7 (14%) | 22 (22%) | 58 (52%) | 0 (0%) | 94 (15%) | 0 (0%) | 0 (0%) | 124 (10%) | 66 (25%) | 7 (3.4%) | 7 (12%) | 0 (0%) | 37 (15%) | 606 (20%) | 20 (5.0%) |
| DG Justice and Consumers | 1 (2.0%) | 2 (2.0%) | 2 (1.8%) | 0 (0%) | 7 (1.1%) | 2 (29%) | 0 (0%) | 57 (4.7%) | 29 (11%) | 9 (4.4%) | 0 (0%) | 2 (33%) | 1 (0.4%) | 45 (1.5%) | 15 (3.8%) |
| DG Maritime Affairs and Fisheries | 0 (0%) | 4 (4.0%) | 0 (0%) | 0 (0%) | 8 (1.2%) | 0 (0%) | 0 (0%) | 6 (0.5%) | 2 (0.8%) | 0 (0%) | 1 (1.7%) | 0 (0%) | 4 (1.6%) | 8 (0.3%) | 0 (0%) |
| DG Migration and Home Affairs | 0 (0%) | 1 (1.0%) | 0 (0%) | 0 (0%) | 11 (1.7%) | 2 (29%) | 0 (0%) | 108 (9.0%) | 1 (0.4%) | 1 (0.5%) | 0 (0%) | 0 (0%) | 2 (0.8%) | 26 (0.8%) | 3 (0.8%) |
| DG Mobility and Transport | 5 (10%) | 9 (8.9%) | 33 (29%) | 0 (0%) | 214 (33%) | 0 (0%) | 0 (0%) | 83 (6.9%) | 57 (22%) | 36 (17%) | 11 (18%) | 0 (0%) | 52 (21%) | 496 (16%) | 25 (6.3%) |
| DG Regional and Urban Policy | 0 (0%) | 0 (0%) | 6 (5.4%) | 0 (0%) | 0 (0%) | 0 (0%) | 0 (0%) | 22 (1.8%) | 4 (1.5%) | 0 (0%) | 0 (0%) | 0 (0%) | 3 (1.2%) | 11 (0.4%) | 1 (0.3%) |
| DG Research and Innovation | 17 (35%) | 13 (13%) | 1 (0.9%) | 0 (0%) | 11 (1.7%) | 0 (0%) | 0 (0%) | 4 (0.3%) | 3 (1.1%) | 0 (0%) | 0 (0%) | 0 (0%) | 20 (8.2%) | 8 (0.3%) | 5 (1.3%) |
| DG Taxation and Customs Union | 0 (0%) | 3 (3.0%) | 0 (0%) | 0 (0%) | 15 (2.3%) | 3 (43%) | 0 (0%) | 8 (0.7%) | 0 (0%) | 2 (1.0%) | 6 (10%) | 0 (0%) | 6 (2.5%) | 142 (4.6%) | 3 (0.8%) |
| DG Translation | 0 (0%) | 0 (0%) | 0 (0%) | 0 (0%) | 1 (0.2%) | 0 (0%) | 0 (0%) | 0 (0%) | 0 (0%) | 2 (1.0%) | 0 (0%) | 0 (0%) | 1 (0.4%) | 2 (<0.1%) | 0 (0%) |
| European Anti-Fraud Office | 0 (0%) | 0 (0%) | 0 (0%) | 0 (0%) | 0 (0%) | 0 (0%) | 0 (0%) | 0 (0%) | 0 (0%) | 0 (0%) | 0 (0%) | 0 (0%) | 0 (0%) | 0 (0%) | 1 (0.3%) |
| Eurostat | 1 (2.0%) | 0 (0%) | 0 (0%) | 10 (100%) | 0 (0%) | 0 (0%) | 0 (0%) | 0 (0%) | 0 (0%) | 4 (1.9%) | 4 (6.7%) | 0 (0%) | 0 (0%) | 14 (0.5%) | 6 (1.5%) |
| Secretariat-General | 0 (0%) | 1 (1.0%) | 0 (0%) | 0 (0%) | 1 (0.2%) | 0 (0%) | 0 (0%) | 6 (0.5%) | 1 (0.4%) | 1 (0.5%) | 0 (0%) | 0 (0%) | 0 (0%) | 5 (0.2%) | 4 (1.0%) |
| Service for Foreign Policy Instruments | 0 (0%) | 0 (0%) | 0 (0%) | 0 (0%) | 0 (0%) | 0 (0%) | 0 (0%) | 5 (0.4%) | 0 (0%) | 0 (0%) | 0 (0%) | 0 (0%) | 0 (0%) | 1 (<0.1%) | 0 (0%) |
| 1 n (%) | |||||||||||||||
En pourcentage ligne
| Characteristic | Academia, Research Institute and Think Tanks N = 491 |
Academic institutions N = 1011 |
Associations and networks of public authorities N = 1121 |
Banques nationales ou centrales N = 101 |
Companies & groups N = 6411 |
Law Firms N = 71 |
Non rempli N = 41 |
Non-governmental organisations, platforms and networks and similar N = 1,2031 |
Other organisations, public or mixed entities N = 2631 |
Professional Associations N = 2061 |
Professional Consultancies N = 601 |
Self-employed N = 61 |
Think tanks and research institutions N = 2431 |
Trade and business associations N = 3,0831 |
Trade Unions N = 3981 |
|---|---|---|---|---|---|---|---|---|---|---|---|---|---|---|---|
| lead_dg | |||||||||||||||
| DG Agriculture and Rural Development | 1 (0.1%) | 9 (1.3%) | 3 (0.4%) | 0 (0%) | 6 (0.9%) | 0 (0%) | 0 (0%) | 164 (24%) | 36 (5.2%) | 77 (11%) | 7 (1.0%) | 0 (0%) | 13 (1.9%) | 371 (54%) | 4 (0.6%) |
| DG Climate Action | 1 (0.7%) | 0 (0%) | 0 (0%) | 0 (0%) | 6 (4.3%) | 0 (0%) | 0 (0%) | 25 (18%) | 4 (2.9%) | 1 (0.7%) | 1 (0.7%) | 0 (0%) | 6 (4.3%) | 96 (69%) | 0 (0%) |
| DG Communications Networks, Content and Technology | 0 (0%) | 0 (0%) | 1 (2.0%) | 0 (0%) | 5 (9.8%) | 0 (0%) | 0 (0%) | 16 (31%) | 6 (12%) | 9 (18%) | 0 (0%) | 0 (0%) | 3 (5.9%) | 10 (20%) | 1 (2.0%) |
| DG Defence Industry and Space | 0 (0%) | 11 (6.0%) | 0 (0%) | 0 (0%) | 109 (59%) | 0 (0%) | 0 (0%) | 6 (3.3%) | 0 (0%) | 0 (0%) | 0 (0%) | 0 (0%) | 26 (14%) | 32 (17%) | 0 (0%) |
| DG Economic and Financial Affairs | 0 (0%) | 0 (0%) | 0 (0%) | 0 (0%) | 0 (0%) | 0 (0%) | 0 (0%) | 1 (6.7%) | 0 (0%) | 0 (0%) | 0 (0%) | 0 (0%) | 0 (0%) | 14 (93%) | 0 (0%) |
| DG Education and Culture | 3 (2.8%) | 4 (3.8%) | 0 (0%) | 0 (0%) | 6 (5.7%) | 0 (0%) | 0 (0%) | 52 (49%) | 16 (15%) | 6 (5.7%) | 0 (0%) | 0 (0%) | 4 (3.8%) | 8 (7.5%) | 7 (6.6%) |
| DG Employment, Social Affairs and Inclusion | 3 (0.4%) | 5 (0.7%) | 3 (0.4%) | 0 (0%) | 13 (1.8%) | 0 (0%) | 4 (0.6%) | 81 (11%) | 7 (1.0%) | 6 (0.8%) | 2 (0.3%) | 4 (0.6%) | 7 (1.0%) | 294 (42%) | 279 (39%) |
| DG Energy | 0 (0%) | 0 (0%) | 0 (0%) | 0 (0%) | 44 (24%) | 0 (0%) | 0 (0%) | 21 (11%) | 5 (2.7%) | 0 (0%) | 1 (0.5%) | 0 (0%) | 1 (0.5%) | 113 (61%) | 0 (0%) |
| DG Environment | 7 (0.9%) | 10 (1.3%) | 4 (0.5%) | 0 (0%) | 25 (3.3%) | 0 (0%) | 0 (0%) | 249 (32%) | 13 (1.7%) | 16 (2.1%) | 17 (2.2%) | 0 (0%) | 34 (4.4%) | 385 (50%) | 8 (1.0%) |
| DG Financial Stability, Financial Services and Capital Markets Union | 0 (0%) | 0 (0%) | 0 (0%) | 0 (0%) | 50 (38%) | 0 (0%) | 0 (0%) | 30 (23%) | 1 (0.8%) | 0 (0%) | 2 (1.5%) | 0 (0%) | 5 (3.8%) | 29 (22%) | 16 (12%) |
| DG for Structural Reform Support | 3 (100%) | 0 (0%) | 0 (0%) | 0 (0%) | 0 (0%) | 0 (0%) | 0 (0%) | 0 (0%) | 0 (0%) | 0 (0%) | 0 (0%) | 0 (0%) | 0 (0%) | 0 (0%) | 0 (0%) |
| DG Health and Food Safety | 0 (0%) | 7 (1.2%) | 1 (0.2%) | 0 (0%) | 15 (2.6%) | 0 (0%) | 0 (0%) | 135 (23%) | 12 (2.1%) | 29 (5.0%) | 1 (0.2%) | 0 (0%) | 18 (3.1%) | 367 (63%) | 0 (0%) |
| DG Internal Market, Industry, Entrepreneurship and SMEs | 7 (0.7%) | 22 (2.1%) | 58 (5.5%) | 0 (0%) | 94 (9.0%) | 0 (0%) | 0 (0%) | 124 (12%) | 66 (6.3%) | 7 (0.7%) | 7 (0.7%) | 0 (0%) | 37 (3.5%) | 606 (58%) | 20 (1.9%) |
| DG Justice and Consumers | 1 (0.6%) | 2 (1.2%) | 2 (1.2%) | 0 (0%) | 7 (4.1%) | 2 (1.2%) | 0 (0%) | 57 (33%) | 29 (17%) | 9 (5.2%) | 0 (0%) | 2 (1.2%) | 1 (0.6%) | 45 (26%) | 15 (8.7%) |
| DG Maritime Affairs and Fisheries | 0 (0%) | 4 (12%) | 0 (0%) | 0 (0%) | 8 (24%) | 0 (0%) | 0 (0%) | 6 (18%) | 2 (6.1%) | 0 (0%) | 1 (3.0%) | 0 (0%) | 4 (12%) | 8 (24%) | 0 (0%) |
| DG Migration and Home Affairs | 0 (0%) | 1 (0.6%) | 0 (0%) | 0 (0%) | 11 (7.1%) | 2 (1.3%) | 0 (0%) | 108 (70%) | 1 (0.6%) | 1 (0.6%) | 0 (0%) | 0 (0%) | 2 (1.3%) | 26 (17%) | 3 (1.9%) |
| DG Mobility and Transport | 5 (0.5%) | 9 (0.9%) | 33 (3.2%) | 0 (0%) | 214 (21%) | 0 (0%) | 0 (0%) | 83 (8.1%) | 57 (5.6%) | 36 (3.5%) | 11 (1.1%) | 0 (0%) | 52 (5.1%) | 496 (49%) | 25 (2.4%) |
| DG Regional and Urban Policy | 0 (0%) | 0 (0%) | 6 (13%) | 0 (0%) | 0 (0%) | 0 (0%) | 0 (0%) | 22 (47%) | 4 (8.5%) | 0 (0%) | 0 (0%) | 0 (0%) | 3 (6.4%) | 11 (23%) | 1 (2.1%) |
| DG Research and Innovation | 17 (21%) | 13 (16%) | 1 (1.2%) | 0 (0%) | 11 (13%) | 0 (0%) | 0 (0%) | 4 (4.9%) | 3 (3.7%) | 0 (0%) | 0 (0%) | 0 (0%) | 20 (24%) | 8 (9.8%) | 5 (6.1%) |
| DG Taxation and Customs Union | 0 (0%) | 3 (1.6%) | 0 (0%) | 0 (0%) | 15 (8.0%) | 3 (1.6%) | 0 (0%) | 8 (4.3%) | 0 (0%) | 2 (1.1%) | 6 (3.2%) | 0 (0%) | 6 (3.2%) | 142 (76%) | 3 (1.6%) |
| DG Translation | 0 (0%) | 0 (0%) | 0 (0%) | 0 (0%) | 1 (17%) | 0 (0%) | 0 (0%) | 0 (0%) | 0 (0%) | 2 (33%) | 0 (0%) | 0 (0%) | 1 (17%) | 2 (33%) | 0 (0%) |
| European Anti-Fraud Office | 0 (0%) | 0 (0%) | 0 (0%) | 0 (0%) | 0 (0%) | 0 (0%) | 0 (0%) | 0 (0%) | 0 (0%) | 0 (0%) | 0 (0%) | 0 (0%) | 0 (0%) | 0 (0%) | 1 (100%) |
| Eurostat | 1 (2.6%) | 0 (0%) | 0 (0%) | 10 (26%) | 0 (0%) | 0 (0%) | 0 (0%) | 0 (0%) | 0 (0%) | 4 (10%) | 4 (10%) | 0 (0%) | 0 (0%) | 14 (36%) | 6 (15%) |
| Secretariat-General | 0 (0%) | 1 (5.3%) | 0 (0%) | 0 (0%) | 1 (5.3%) | 0 (0%) | 0 (0%) | 6 (32%) | 1 (5.3%) | 1 (5.3%) | 0 (0%) | 0 (0%) | 0 (0%) | 5 (26%) | 4 (21%) |
| Service for Foreign Policy Instruments | 0 (0%) | 0 (0%) | 0 (0%) | 0 (0%) | 0 (0%) | 0 (0%) | 0 (0%) | 5 (83%) | 0 (0%) | 0 (0%) | 0 (0%) | 0 (0%) | 0 (0%) | 1 (17%) | 0 (0%) |
| 1 n (%) | |||||||||||||||
| ID_occupant | ID_rpz | NAME |
|---|---|---|
| I_364 | O_979 | betaalvereniging nederland (de betaalvereniging) |
| I_373 | O_988 | forbrugerr��det t��nk (the danish consumer council) |
| I_374 | O_989 | asociatia utilizatorilor romani de servicii financiare (aursf) |
| I_377 | O_992 | asociaci��n de usuarios de bancos, cajas y seguros (adicae) |
| I_380 | O_995 | european third party providers association (etppa) |
| I_383 | O_998 | associa����o portuguesa para a defesa do consumidor (deco) |
| I_395 | O_1008 | verbraucherzentrale bundesverband (vzbv) |
| I_374 | O_989 | asociatia utilizatorilor romani de servicii financiare (aursf) |
| I_403 | O_1138 | deutsche schutzvereinigung f��r wertpapierbesitz e.v. (dsw) |
| I_404 | O_992 | asociaci��n de usuarios de bancos, cajas y seguros (adicae) |
| I_405 | O_1139 | vartotoj�� aljansas (lithuanian consumers alliance) (lt ca) |
| I_406 | O_1140 | suomen p��rssis����ti�� (the finnish foundation for share promotion) |
| I_407 | O_1141 | fairfin (fairfin) |
| I_408 | O_1142 | age platform europe (age) |
| I_409 | O_1143 | european federation of investors and financial services users (better finance) |
| I_410 | O_1144 | finance watch |
| I_383 | O_998 | associa����o portuguesa para a defesa do consumidor (deco) |
| I_411 | O_30 | bureau europ��en des unions de consommateurs (beuc) |
| I_412 | O_1145 | asociaci��n de usuarios financieros (asufin) |
| I_413 | O_1146 | european microfinance network aisbl (emn aisbl) |
| I_414 | O_1147 | vseslovensko zdru��enje malih delni��arjev (vzmd) |
| I_932 | O_30 | bureau europ��en des unions de consommateurs (beuc) |
| I_940 | O_2531 | global legal entity identifier foundation (gleif) |
| I_380 | O_995 | european third party providers association (etppa) |
| I_951 | O_2541 | international financial reporting standards (ifrs) foundation (ifrs foundation) |
| O_2404 | cdp worldwide (europe) gemeinn��tzige gmbh (cdp europe) | |
| O_2405 | climate bonds initiative europe (cbi) | |
| O_1145 | asociaci��n de usuarios financieros (asufin) | |
| O_998 | associa����o portuguesa para a defesa do consumidor (deco) | |
| O_30 | bureau europ��en des unions de consommateurs (beuc) |
Organisations sans intérêt déclaré
| ID_orga | NAME | Category.of.registration | CATEGORIES_OF_ORGANISATIONS |
|---|---|---|---|
| O_190 | |||
| O_239 | hup |
Tasks pour les organisations
Nombre de siège organisation par tâche
| Characteristic | coord MS N = 2,7951 |
implement N = 3,1601 |
Other N = 2,2601 |
prep act implement comito N = 1,8531 |
prep deleg acts N = 1,5081 |
prep legis N = 3,3791 |
Overall N = 14,9551 |
|---|---|---|---|---|---|---|---|
| NEWTYPE | |||||||
| Academia, Research Institute and Think Tanks | 44 (1.6%) | 38 (1.2%) | 10 (0.4%) | 14 (0.8%) | 12 (0.8%) | 38 (1.1%) | 156 (1.0%) |
| Academic institutions | 41 (1.5%) | 60 (1.9%) | 26 (1.2%) | 33 (1.8%) | 13 (0.9%) | 48 (1.4%) | 221 (1.5%) |
| Associations and networks of public authorities | 63 (2.3%) | 71 (2.2%) | 55 (2.4%) | 61 (3.3%) | 40 (2.7%) | 53 (1.6%) | 343 (2.3%) |
| Banques nationales ou centrales | 10 (0.4%) | 0 (0%) | 10 (0.4%) | 0 (0%) | 0 (0%) | 0 (0%) | 20 (0.1%) |
| Companies & groups | 275 (9.8%) | 373 (12%) | 154 (6.8%) | 195 (11%) | 157 (10%) | 361 (11%) | 1,515 (10%) |
| Law Firms | 2 (<0.1%) | 0 (0%) | 3 (0.1%) | 2 (0.1%) | 0 (0%) | 2 (<0.1%) | 9 (<0.1%) |
| Non rempli | 0 (0%) | 4 (0.1%) | 0 (0%) | 0 (0%) | 0 (0%) | 4 (0.1%) | 8 (<0.1%) |
| Non-governmental organisations, platforms and networks and similar | 531 (19%) | 489 (15%) | 502 (22%) | 295 (16%) | 292 (19%) | 586 (17%) | 2,695 (18%) |
| Other organisations, public or mixed entities | 151 (5.4%) | 154 (4.9%) | 119 (5.3%) | 102 (5.5%) | 46 (3.1%) | 109 (3.2%) | 681 (4.6%) |
| Professional Associations | 71 (2.5%) | 73 (2.3%) | 102 (4.5%) | 35 (1.9%) | 35 (2.3%) | 79 (2.3%) | 395 (2.6%) |
| Professional Consultancies | 31 (1.1%) | 28 (0.9%) | 14 (0.6%) | 14 (0.8%) | 11 (0.7%) | 31 (0.9%) | 129 (0.9%) |
| Self-employed | 0 (0%) | 4 (0.1%) | 0 (0%) | 0 (0%) | 0 (0%) | 6 (0.2%) | 10 (<0.1%) |
| Think tanks and research institutions | 122 (4.4%) | 134 (4.2%) | 87 (3.8%) | 85 (4.6%) | 44 (2.9%) | 95 (2.8%) | 567 (3.8%) |
| Trade and business associations | 1,345 (48%) | 1,476 (47%) | 1,145 (51%) | 997 (54%) | 840 (56%) | 1,623 (48%) | 7,426 (50%) |
| Trade Unions | 109 (3.9%) | 256 (8.1%) | 33 (1.5%) | 20 (1.1%) | 18 (1.2%) | 344 (10%) | 780 (5.2%) |
| 1 n (%) | |||||||
`summarise()` has grouped output by 'NEWTYPE'. You can override using the
`.groups` argument.
| n_seats | n_group | Other | coord MS | implement | prep act implement comito | prep deleg acts | prep legis | |
|---|---|---|---|---|---|---|---|---|
| Academia, Research Institute and Think Tanks | 49 | 28 | 10 ( 20 % ) | 44 ( 90 % ) | 38 ( 78 % ) | 14 ( 29 % ) | 12 ( 24 % ) | 38 ( 78 % ) |
| Academic institutions | 101 | 51 | 26 ( 26 % ) | 41 ( 41 % ) | 60 ( 59 % ) | 33 ( 33 % ) | 13 ( 13 % ) | 48 ( 48 % ) |
| Associations and networks of public authorities | 112 | 70 | 55 ( 49 % ) | 63 ( 56 % ) | 71 ( 63 % ) | 61 ( 54 % ) | 40 ( 36 % ) | 53 ( 47 % ) |
| Banques nationales ou centrales | 10 | 2 | 10 ( 100 % ) | 10 ( 100 % ) | 0 ( 0 % ) | 0 ( 0 % ) | 0 ( 0 % ) | 0 ( 0 % ) |
| Companies & groups | 641 | 97 | 154 ( 24 % ) | 275 ( 43 % ) | 373 ( 58 % ) | 195 ( 30 % ) | 157 ( 24 % ) | 361 ( 56 % ) |
| Law Firms | 7 | 4 | 3 ( 43 % ) | 2 ( 29 % ) | 0 ( 0 % ) | 2 ( 29 % ) | 0 ( 0 % ) | 2 ( 29 % ) |
| Non rempli | 4 | 1 | 0 ( 0 % ) | 0 ( 0 % ) | 4 ( 100 % ) | 0 ( 0 % ) | 0 ( 0 % ) | 4 ( 100 % ) |
| Non-governmental organisations, platforms and networks and similar | 1203 | 240 | 502 ( 42 % ) | 531 ( 44 % ) | 489 ( 41 % ) | 295 ( 25 % ) | 292 ( 24 % ) | 586 ( 49 % ) |
| Other organisations, public or mixed entities | 263 | 119 | 119 ( 45 % ) | 151 ( 57 % ) | 154 ( 59 % ) | 102 ( 39 % ) | 46 ( 17 % ) | 109 ( 41 % ) |
| Professional Associations | 206 | 104 | 102 ( 50 % ) | 71 ( 34 % ) | 73 ( 35 % ) | 35 ( 17 % ) | 35 ( 17 % ) | 79 ( 38 % ) |
| Professional Consultancies | 60 | 39 | 14 ( 23 % ) | 31 ( 52 % ) | 28 ( 47 % ) | 14 ( 23 % ) | 11 ( 18 % ) | 31 ( 52 % ) |
| Self-employed | 6 | 4 | 0 ( 0 % ) | 0 ( 0 % ) | 4 ( 67 % ) | 0 ( 0 % ) | 0 ( 0 % ) | 6 ( 100 % ) |
| Think tanks and research institutions | 243 | 105 | 87 ( 36 % ) | 122 ( 50 % ) | 134 ( 55 % ) | 85 ( 35 % ) | 44 ( 18 % ) | 95 ( 39 % ) |
| Trade Unions | 398 | 99 | 33 ( 8 % ) | 109 ( 27 % ) | 256 ( 64 % ) | 20 ( 5 % ) | 18 ( 5 % ) | 344 ( 86 % ) |
| Trade and business associations | 3083 | 310 | 1145 ( 37 % ) | 1345 ( 44 % ) | 1476 ( 48 % ) | 997 ( 32 % ) | 840 ( 27 % ) | 1623 ( 53 % ) |
En fonction des policy area, quelle est la répartition des organisations ?
| Characteristic | Administration N = 51 |
Agriculture N = 9391 |
Budget N = 191 |
Civil protection N = 111 |
Climate N = 3531 |
Communication N = 621 |
Competition N = 191 |
Consumer affairs N = 1741 |
Culture N = 281 |
Customs N = 561 |
Economic and Monetary Affairs N = 351 |
Education N = 2241 |
Employment and Social Affairs N = 6311 |
Energy N = 2281 |
Enlargement N = 191 |
Enterprise N = 8441 |
Environment N = 9931 |
External Relations N = 251 |
External Trade N = 301 |
Fisheries and Maritime Affairs N = 3491 |
Food Safety N = 6581 |
Fraud prevention N = 11 |
Human rights N = 781 |
Information Society N = 1281 |
Institutional affairs N = 31 |
Internal Market N = 4571 |
Justice and Home Affairs N = 3511 |
Languages and multilingualism N = 61 |
other (All policies relevant to forest-based industries, esp. Industry, Trade, Environment, Competition, RTD.) N = 271 |
other (animal welfare, animal health) N = 591 |
other (European Research Area) N = 401 |
other (Financial Stability, Financial Services and Markets) N = 161 |
other (Food waste prevention) N = 1351 |
other (Industrial Policy) N = 391 |
other (Public administration) N = 31 |
other (Rural Development, Innovation) N = 211 |
other (Rural Developpment, Innovation) N = 1431 |
other (SME Policy) N = 221 |
other (SMEs) N = 221 |
other (Social Economy and Social Enterprises) N = 351 |
other (Space, Aeronautics, Defence Industry) N = 1841 |
other (SUSTAINABLE FINANCE) N = 201 |
Public Health N = 2751 |
Regional Policy N = 491 |
Research and Innovation N = 1601 |
Sport N = 231 |
Statistics N = 391 |
Taxation N = 1081 |
Training N = 201 |
Transport N = 1,0351 |
Youth N = 31 |
|---|---|---|---|---|---|---|---|---|---|---|---|---|---|---|---|---|---|---|---|---|---|---|---|---|---|---|---|---|---|---|---|---|---|---|---|---|---|---|---|---|---|---|---|---|---|---|---|---|---|---|---|
| NEWTYPE | |||||||||||||||||||||||||||||||||||||||||||||||||||
| Trade and business associations | 2 (40%) | 520 (55%) | 5 (26%) | 6 (55%) | 233 (66%) | 36 (58%) | 5 (26%) | 60 (34%) | 3 (11%) | 55 (98%) | 17 (49%) | 67 (30%) | 265 (42%) | 136 (60%) | 5 (26%) | 491 (58%) | 530 (53%) | 6 (24%) | 19 (63%) | 205 (59%) | 422 (64%) | 0 (0%) | 15 (19%) | 40 (31%) | 0 (0%) | 263 (58%) | 77 (22%) | 2 (33%) | 20 (74%) | 30 (51%) | 2 (5.0%) | 1 (6.3%) | 53 (39%) | 6 (15%) | 0 (0%) | 8 (38%) | 25 (17%) | 22 (100%) | 22 (100%) | 2 (5.7%) | 32 (17%) | 8 (40%) | 170 (62%) | 11 (22%) | 45 (28%) | 4 (17%) | 14 (36%) | 69 (64%) | 3 (15%) | 497 (48%) | 0 (0%) |
| Non-governmental organisations, platforms and networks and similar | 3 (60%) | 232 (25%) | 6 (32%) | 3 (27%) | 76 (22%) | 7 (11%) | 6 (32%) | 48 (28%) | 20 (71%) | 1 (1.8%) | 15 (43%) | 50 (22%) | 84 (13%) | 30 (13%) | 6 (32%) | 107 (13%) | 301 (30%) | 11 (44%) | 8 (27%) | 80 (23%) | 146 (22%) | 0 (0%) | 60 (77%) | 40 (31%) | 0 (0%) | 69 (15%) | 207 (59%) | 0 (0%) | 5 (19%) | 20 (34%) | 4 (10%) | 0 (0%) | 46 (34%) | 0 (0%) | 0 (0%) | 10 (48%) | 58 (41%) | 0 (0%) | 0 (0%) | 7 (20%) | 6 (3.3%) | 2 (10%) | 60 (22%) | 23 (47%) | 15 (9.4%) | 5 (22%) | 0 (0%) | 4 (3.7%) | 9 (45%) | 84 (8.1%) | 3 (100%) |
| Companies & groups | 0 (0%) | 7 (0.7%) | 1 (5.3%) | 1 (9.1%) | 7 (2.0%) | 0 (0%) | 1 (5.3%) | 11 (6.3%) | 0 (0%) | 0 (0%) | 0 (0%) | 4 (1.8%) | 15 (2.4%) | 45 (20%) | 1 (5.3%) | 76 (9.0%) | 26 (2.6%) | 1 (4.0%) | 0 (0%) | 12 (3.4%) | 18 (2.7%) | 0 (0%) | 0 (0%) | 5 (3.9%) | 0 (0%) | 56 (12%) | 13 (3.7%) | 1 (17%) | 0 (0%) | 0 (0%) | 0 (0%) | 0 (0%) | 14 (10%) | 27 (69%) | 0 (0%) | 0 (0%) | 0 (0%) | 0 (0%) | 0 (0%) | 4 (11%) | 109 (59%) | 6 (30%) | 7 (2.5%) | 0 (0%) | 21 (13%) | 2 (8.7%) | 0 (0%) | 15 (14%) | 2 (10%) | 224 (22%) | 0 (0%) |
| Trade Unions | 0 (0%) | 8 (0.9%) | 4 (21%) | 1 (9.1%) | 4 (1.1%) | 1 (1.6%) | 4 (21%) | 7 (4.0%) | 0 (0%) | 0 (0%) | 0 (0%) | 66 (29%) | 226 (36%) | 4 (1.8%) | 4 (21%) | 17 (2.0%) | 12 (1.2%) | 4 (16%) | 0 (0%) | 5 (1.4%) | 4 (0.6%) | 1 (100%) | 0 (0%) | 2 (1.6%) | 0 (0%) | 9 (2.0%) | 18 (5.1%) | 0 (0%) | 1 (3.7%) | 0 (0%) | 0 (0%) | 15 (94%) | 0 (0%) | 3 (7.7%) | 0 (0%) | 0 (0%) | 2 (1.4%) | 0 (0%) | 0 (0%) | 0 (0%) | 0 (0%) | 0 (0%) | 2 (0.7%) | 1 (2.0%) | 7 (4.4%) | 1 (4.3%) | 6 (15%) | 3 (2.8%) | 2 (10%) | 25 (2.4%) | 0 (0%) |
| Other organisations, public or mixed entities | 0 (0%) | 40 (4.3%) | 1 (5.3%) | 0 (0%) | 7 (2.0%) | 11 (18%) | 1 (5.3%) | 29 (17%) | 3 (11%) | 0 (0%) | 0 (0%) | 7 (3.1%) | 10 (1.6%) | 6 (2.6%) | 1 (5.3%) | 38 (4.5%) | 17 (1.7%) | 1 (4.0%) | 0 (0%) | 11 (3.2%) | 10 (1.5%) | 0 (0%) | 2 (2.6%) | 17 (13%) | 3 (100%) | 15 (3.3%) | 8 (2.3%) | 0 (0%) | 0 (0%) | 1 (1.7%) | 2 (5.0%) | 0 (0%) | 0 (0%) | 1 (2.6%) | 0 (0%) | 1 (4.8%) | 22 (15%) | 0 (0%) | 0 (0%) | 15 (43%) | 0 (0%) | 0 (0%) | 6 (2.2%) | 5 (10%) | 5 (3.1%) | 6 (26%) | 0 (0%) | 0 (0%) | 0 (0%) | 58 (5.6%) | 0 (0%) |
| Professional Associations | 0 (0%) | 95 (10%) | 1 (5.3%) | 0 (0%) | 12 (3.4%) | 0 (0%) | 1 (5.3%) | 7 (4.0%) | 2 (7.1%) | 0 (0%) | 3 (8.6%) | 5 (2.2%) | 7 (1.1%) | 1 (0.4%) | 1 (5.3%) | 8 (0.9%) | 27 (2.7%) | 1 (4.0%) | 0 (0%) | 18 (5.2%) | 31 (4.7%) | 0 (0%) | 1 (1.3%) | 10 (7.8%) | 0 (0%) | 7 (1.5%) | 10 (2.8%) | 2 (33%) | 0 (0%) | 7 (12%) | 0 (0%) | 0 (0%) | 0 (0%) | 0 (0%) | 0 (0%) | 0 (0%) | 6 (4.2%) | 0 (0%) | 0 (0%) | 0 (0%) | 0 (0%) | 0 (0%) | 20 (7.3%) | 0 (0%) | 4 (2.5%) | 3 (13%) | 4 (10%) | 2 (1.9%) | 0 (0%) | 36 (3.5%) | 0 (0%) |
| Think tanks and research institutions | 0 (0%) | 14 (1.5%) | 0 (0%) | 0 (0%) | 9 (2.5%) | 2 (3.2%) | 0 (0%) | 1 (0.6%) | 0 (0%) | 0 (0%) | 0 (0%) | 11 (4.9%) | 5 (0.8%) | 4 (1.8%) | 0 (0%) | 29 (3.4%) | 38 (3.8%) | 0 (0%) | 3 (10%) | 6 (1.7%) | 18 (2.7%) | 0 (0%) | 0 (0%) | 7 (5.5%) | 0 (0%) | 7 (1.5%) | 5 (1.4%) | 1 (17%) | 1 (3.7%) | 1 (1.7%) | 9 (23%) | 0 (0%) | 17 (13%) | 0 (0%) | 0 (0%) | 1 (4.8%) | 11 (7.7%) | 0 (0%) | 0 (0%) | 5 (14%) | 26 (14%) | 4 (20%) | 1 (0.4%) | 3 (6.1%) | 25 (16%) | 0 (0%) | 0 (0%) | 3 (2.8%) | 2 (10%) | 52 (5.0%) | 0 (0%) |
| Academic institutions | 0 (0%) | 12 (1.3%) | 1 (5.3%) | 0 (0%) | 3 (0.8%) | 0 (0%) | 1 (5.3%) | 5 (2.9%) | 0 (0%) | 0 (0%) | 0 (0%) | 9 (4.0%) | 2 (0.3%) | 1 (0.4%) | 1 (5.3%) | 25 (3.0%) | 13 (1.3%) | 1 (4.0%) | 0 (0%) | 7 (2.0%) | 8 (1.2%) | 0 (0%) | 0 (0%) | 1 (0.8%) | 0 (0%) | 6 (1.3%) | 3 (0.9%) | 0 (0%) | 0 (0%) | 0 (0%) | 7 (18%) | 0 (0%) | 5 (3.7%) | 0 (0%) | 0 (0%) | 0 (0%) | 9 (6.3%) | 0 (0%) | 0 (0%) | 1 (2.9%) | 11 (6.0%) | 0 (0%) | 6 (2.2%) | 0 (0%) | 17 (11%) | 0 (0%) | 0 (0%) | 3 (2.8%) | 2 (10%) | 9 (0.9%) | 0 (0%) |
| Associations and networks of public authorities | 0 (0%) | 3 (0.3%) | 0 (0%) | 0 (0%) | 0 (0%) | 5 (8.1%) | 0 (0%) | 1 (0.6%) | 0 (0%) | 0 (0%) | 0 (0%) | 1 (0.4%) | 6 (1.0%) | 0 (0%) | 0 (0%) | 38 (4.5%) | 5 (0.5%) | 0 (0%) | 0 (0%) | 4 (1.1%) | 0 (0%) | 0 (0%) | 0 (0%) | 5 (3.9%) | 0 (0%) | 21 (4.6%) | 6 (1.7%) | 0 (0%) | 0 (0%) | 0 (0%) | 0 (0%) | 0 (0%) | 0 (0%) | 1 (2.6%) | 0 (0%) | 1 (4.8%) | 2 (1.4%) | 0 (0%) | 0 (0%) | 1 (2.9%) | 0 (0%) | 0 (0%) | 1 (0.4%) | 6 (12%) | 3 (1.9%) | 0 (0%) | 0 (0%) | 0 (0%) | 0 (0%) | 33 (3.2%) | 0 (0%) |
| Professional Consultancies | 0 (0%) | 7 (0.7%) | 0 (0%) | 0 (0%) | 1 (0.3%) | 0 (0%) | 0 (0%) | 1 (0.6%) | 0 (0%) | 0 (0%) | 0 (0%) | 0 (0%) | 3 (0.5%) | 1 (0.4%) | 0 (0%) | 7 (0.8%) | 17 (1.7%) | 0 (0%) | 0 (0%) | 1 (0.3%) | 1 (0.2%) | 0 (0%) | 0 (0%) | 1 (0.8%) | 0 (0%) | 3 (0.7%) | 0 (0%) | 0 (0%) | 0 (0%) | 0 (0%) | 0 (0%) | 0 (0%) | 0 (0%) | 1 (2.6%) | 0 (0%) | 0 (0%) | 7 (4.9%) | 0 (0%) | 0 (0%) | 0 (0%) | 0 (0%) | 0 (0%) | 1 (0.4%) | 0 (0%) | 0 (0%) | 0 (0%) | 4 (10%) | 6 (5.6%) | 0 (0%) | 12 (1.2%) | 0 (0%) |
| Academia, Research Institute and Think Tanks | 0 (0%) | 1 (0.1%) | 0 (0%) | 0 (0%) | 1 (0.3%) | 0 (0%) | 0 (0%) | 2 (1.1%) | 0 (0%) | 0 (0%) | 0 (0%) | 4 (1.8%) | 0 (0%) | 0 (0%) | 0 (0%) | 8 (0.9%) | 7 (0.7%) | 0 (0%) | 0 (0%) | 0 (0%) | 0 (0%) | 0 (0%) | 0 (0%) | 0 (0%) | 0 (0%) | 1 (0.2%) | 0 (0%) | 0 (0%) | 0 (0%) | 0 (0%) | 16 (40%) | 0 (0%) | 0 (0%) | 0 (0%) | 3 (100%) | 0 (0%) | 1 (0.7%) | 0 (0%) | 0 (0%) | 0 (0%) | 0 (0%) | 0 (0%) | 1 (0.4%) | 0 (0%) | 18 (11%) | 2 (8.7%) | 1 (2.6%) | 0 (0%) | 0 (0%) | 5 (0.5%) | 0 (0%) |
| Banques nationales ou centrales | 0 (0%) | 0 (0%) | 0 (0%) | 0 (0%) | 0 (0%) | 0 (0%) | 0 (0%) | 0 (0%) | 0 (0%) | 0 (0%) | 0 (0%) | 0 (0%) | 0 (0%) | 0 (0%) | 0 (0%) | 0 (0%) | 0 (0%) | 0 (0%) | 0 (0%) | 0 (0%) | 0 (0%) | 0 (0%) | 0 (0%) | 0 (0%) | 0 (0%) | 0 (0%) | 0 (0%) | 0 (0%) | 0 (0%) | 0 (0%) | 0 (0%) | 0 (0%) | 0 (0%) | 0 (0%) | 0 (0%) | 0 (0%) | 0 (0%) | 0 (0%) | 0 (0%) | 0 (0%) | 0 (0%) | 0 (0%) | 0 (0%) | 0 (0%) | 0 (0%) | 0 (0%) | 10 (26%) | 0 (0%) | 0 (0%) | 0 (0%) | 0 (0%) |
| Law Firms | 0 (0%) | 0 (0%) | 0 (0%) | 0 (0%) | 0 (0%) | 0 (0%) | 0 (0%) | 2 (1.1%) | 0 (0%) | 0 (0%) | 0 (0%) | 0 (0%) | 0 (0%) | 0 (0%) | 0 (0%) | 0 (0%) | 0 (0%) | 0 (0%) | 0 (0%) | 0 (0%) | 0 (0%) | 0 (0%) | 0 (0%) | 0 (0%) | 0 (0%) | 0 (0%) | 2 (0.6%) | 0 (0%) | 0 (0%) | 0 (0%) | 0 (0%) | 0 (0%) | 0 (0%) | 0 (0%) | 0 (0%) | 0 (0%) | 0 (0%) | 0 (0%) | 0 (0%) | 0 (0%) | 0 (0%) | 0 (0%) | 0 (0%) | 0 (0%) | 0 (0%) | 0 (0%) | 0 (0%) | 3 (2.8%) | 0 (0%) | 0 (0%) | 0 (0%) |
| Self-employed | 0 (0%) | 0 (0%) | 0 (0%) | 0 (0%) | 0 (0%) | 0 (0%) | 0 (0%) | 0 (0%) | 0 (0%) | 0 (0%) | 0 (0%) | 0 (0%) | 4 (0.6%) | 0 (0%) | 0 (0%) | 0 (0%) | 0 (0%) | 0 (0%) | 0 (0%) | 0 (0%) | 0 (0%) | 0 (0%) | 0 (0%) | 0 (0%) | 0 (0%) | 0 (0%) | 2 (0.6%) | 0 (0%) | 0 (0%) | 0 (0%) | 0 (0%) | 0 (0%) | 0 (0%) | 0 (0%) | 0 (0%) | 0 (0%) | 0 (0%) | 0 (0%) | 0 (0%) | 0 (0%) | 0 (0%) | 0 (0%) | 0 (0%) | 0 (0%) | 0 (0%) | 0 (0%) | 0 (0%) | 0 (0%) | 0 (0%) | 0 (0%) | 0 (0%) |
| Non rempli | 0 (0%) | 0 (0%) | 0 (0%) | 0 (0%) | 0 (0%) | 0 (0%) | 0 (0%) | 0 (0%) | 0 (0%) | 0 (0%) | 0 (0%) | 0 (0%) | 4 (0.6%) | 0 (0%) | 0 (0%) | 0 (0%) | 0 (0%) | 0 (0%) | 0 (0%) | 0 (0%) | 0 (0%) | 0 (0%) | 0 (0%) | 0 (0%) | 0 (0%) | 0 (0%) | 0 (0%) | 0 (0%) | 0 (0%) | 0 (0%) | 0 (0%) | 0 (0%) | 0 (0%) | 0 (0%) | 0 (0%) | 0 (0%) | 0 (0%) | 0 (0%) | 0 (0%) | 0 (0%) | 0 (0%) | 0 (0%) | 0 (0%) | 0 (0%) | 0 (0%) | 0 (0%) | 0 (0%) | 0 (0%) | 0 (0%) | 0 (0%) | 0 (0%) |
| 1 n (%) | |||||||||||||||||||||||||||||||||||||||||||||||||||
4. Sur les policy Areas
Répartition Orga - Admin
| Characteristic | N = 26,8091 |
|---|---|
| NEWTYPE | |
| Academia, Research Institute and Think Tanks | 49 (0.2%) |
| Academic institutions | 101 (0.4%) |
| Administration | 20,423 (76%) |
| Associations and networks of public authorities | 112 (0.4%) |
| Banques nationales ou centrales | 10 (<0.1%) |
| Companies & groups | 641 (2.4%) |
| Law Firms | 7 (<0.1%) |
| Non rempli | 4 (<0.1%) |
| Non-governmental organisations, platforms and networks and similar | 1,203 (4.5%) |
| Other organisations, public or mixed entities | 263 (1.0%) |
| Professional Associations | 206 (0.8%) |
| Professional Consultancies | 60 (0.2%) |
| Self-employed | 6 (<0.1%) |
| Think tanks and research institutions | 243 (0.9%) |
| Trade and business associations | 3,083 (11%) |
| Trade Unions | 398 (1.5%) |
| 1 n (%) | |
Répartition par policy area
| Characteristic | Administration N = 1501 |
Agriculture N = 1,6311 |
Audiovisual N = 541 |
Budget N = 731 |
Civil protection N = 1981 |
Climate N = 7531 |
Communication N = 1961 |
Competition N = 461 |
Consumer affairs N = 5521 |
Culture N = 1281 |
Customs N = 1,2601 |
Development N = 2971 |
Economic and Monetary Affairs N = 3091 |
Education N = 8121 |
Employment and Social Affairs N = 1,4631 |
Energy N = 9791 |
Enlargement N = 731 |
Enterprise N = 2,2901 |
Environment N = 3,0881 |
External Relations N = 2151 |
External Trade N = 3821 |
Fisheries and Maritime Affairs N = 7481 |
Food Safety N = 1,3711 |
Fraud prevention N = 2441 |
Human rights N = 3311 |
Humanitarian aid N = 271 |
Information Society N = 7111 |
Institutional affairs N = 1021 |
Internal Market N = 2,3011 |
Justice and Home Affairs N = 2,0071 |
Languages and multilingualism N = 301 |
Nuclear safety N = 271 |
other (All policies relevant to forest-based industries, esp. Industry, Trade, Environment, Competition, RTD.) N = 541 |
other (Animal health) N = 541 |
other (animal welfare, animal health) N = 1081 |
other (Anti-Counterfeiting) N = 641 |
other (collective management of copyright) N = 271 |
other (Crisis management) N = 271 |
other (Data collection in the fisheries sector) N = 271 |
other (Defence research and development) N = 271 |
other (Defence, Space and related civil industries) N = 271 |
other (digital transition) N = 271 |
other (Digital) N = 271 |
other (European Research Area) N = 1681 |
other (Financial Stability, Financial Services and Markets) N = 161 |
other (Financial Stability) N = 271 |
other (Food waste prevention) N = 2101 |
other (Industrial cluster policy) N = 231 |
other (Industrial Policy) N = 491 |
other (Industrial property policy, intellectual property rights, fight against counterfeit) N = 271 |
other (Media) N = 271 |
other (Nuclear Safety) N = 731 |
other (Plant Health) N = 271 |
other (Public administration) N = 301 |
other (Rights of the Child) N = 271 |
other (Rural Development, Innovation) N = 481 |
other (Rural Developpment, Innovation) N = 1711 |
other (Security and Defence) N = 271 |
other (SME Policy) N = 761 |
other (SMEs) N = 491 |
other (Social Economy and Social Enterprises) N = 761 |
other (Space, Aeronautics, Defence Industry) N = 1841 |
other (Space) N = 1271 |
other (SUSTAINABLE FINANCE) N = 201 |
other (Tourism) N = 271 |
other (Volunteering) N = 271 |
Public Health N = 1,2641 |
Regional Policy N = 2381 |
Research and Innovation N = 7061 |
Sport N = 1311 |
Statistics N = 3,7911 |
Taxation N = 6371 |
Training N = 1281 |
Transport N = 2,7421 |
Youth N = 841 |
|---|---|---|---|---|---|---|---|---|---|---|---|---|---|---|---|---|---|---|---|---|---|---|---|---|---|---|---|---|---|---|---|---|---|---|---|---|---|---|---|---|---|---|---|---|---|---|---|---|---|---|---|---|---|---|---|---|---|---|---|---|---|---|---|---|---|---|---|---|---|---|---|---|---|---|---|
| NEWTYPE | |||||||||||||||||||||||||||||||||||||||||||||||||||||||||||||||||||||||||||
| Administration | 145 (97%) | 692 (42%) | 54 (100%) | 54 (74%) | 187 (94%) | 400 (53%) | 134 (68%) | 27 (59%) | 378 (68%) | 100 (78%) | 1,204 (96%) | 297 (100%) | 274 (89%) | 588 (72%) | 832 (57%) | 751 (77%) | 54 (74%) | 1,446 (63%) | 2,095 (68%) | 190 (88%) | 352 (92%) | 399 (53%) | 713 (52%) | 243 (100%) | 253 (76%) | 27 (100%) | 583 (82%) | 99 (97%) | 1,844 (80%) | 1,656 (83%) | 24 (80%) | 27 (100%) | 27 (50%) | 54 (100%) | 49 (45%) | 64 (100%) | 27 (100%) | 27 (100%) | 27 (100%) | 27 (100%) | 27 (100%) | 27 (100%) | 27 (100%) | 128 (76%) | 0 (0%) | 27 (100%) | 75 (36%) | 23 (100%) | 10 (20%) | 27 (100%) | 27 (100%) | 73 (100%) | 27 (100%) | 27 (90%) | 27 (100%) | 27 (56%) | 28 (16%) | 27 (100%) | 54 (71%) | 27 (55%) | 41 (54%) | 0 (0%) | 127 (100%) | 0 (0%) | 27 (100%) | 27 (100%) | 989 (78%) | 189 (79%) | 546 (77%) | 108 (82%) | 3,752 (99%) | 529 (83%) | 108 (84%) | 1,707 (62%) | 81 (96%) |
| Trade and business associations | 2 (1.3%) | 520 (32%) | 0 (0%) | 5 (6.8%) | 6 (3.0%) | 233 (31%) | 36 (18%) | 5 (11%) | 60 (11%) | 3 (2.3%) | 55 (4.4%) | 0 (0%) | 17 (5.5%) | 67 (8.3%) | 265 (18%) | 136 (14%) | 5 (6.8%) | 491 (21%) | 530 (17%) | 6 (2.8%) | 19 (5.0%) | 205 (27%) | 422 (31%) | 0 (0%) | 15 (4.5%) | 0 (0%) | 40 (5.6%) | 0 (0%) | 263 (11%) | 77 (3.8%) | 2 (6.7%) | 0 (0%) | 20 (37%) | 0 (0%) | 30 (28%) | 0 (0%) | 0 (0%) | 0 (0%) | 0 (0%) | 0 (0%) | 0 (0%) | 0 (0%) | 0 (0%) | 2 (1.2%) | 1 (6.3%) | 0 (0%) | 53 (25%) | 0 (0%) | 6 (12%) | 0 (0%) | 0 (0%) | 0 (0%) | 0 (0%) | 0 (0%) | 0 (0%) | 8 (17%) | 25 (15%) | 0 (0%) | 22 (29%) | 22 (45%) | 2 (2.6%) | 32 (17%) | 0 (0%) | 8 (40%) | 0 (0%) | 0 (0%) | 170 (13%) | 11 (4.6%) | 45 (6.4%) | 4 (3.1%) | 14 (0.4%) | 69 (11%) | 3 (2.3%) | 497 (18%) | 0 (0%) |
| Non-governmental organisations, platforms and networks and similar | 3 (2.0%) | 232 (14%) | 0 (0%) | 6 (8.2%) | 3 (1.5%) | 76 (10%) | 7 (3.6%) | 6 (13%) | 48 (8.7%) | 20 (16%) | 1 (<0.1%) | 0 (0%) | 15 (4.9%) | 50 (6.2%) | 84 (5.7%) | 30 (3.1%) | 6 (8.2%) | 107 (4.7%) | 301 (9.7%) | 11 (5.1%) | 8 (2.1%) | 80 (11%) | 146 (11%) | 0 (0%) | 60 (18%) | 0 (0%) | 40 (5.6%) | 0 (0%) | 69 (3.0%) | 207 (10%) | 0 (0%) | 0 (0%) | 5 (9.3%) | 0 (0%) | 20 (19%) | 0 (0%) | 0 (0%) | 0 (0%) | 0 (0%) | 0 (0%) | 0 (0%) | 0 (0%) | 0 (0%) | 4 (2.4%) | 0 (0%) | 0 (0%) | 46 (22%) | 0 (0%) | 0 (0%) | 0 (0%) | 0 (0%) | 0 (0%) | 0 (0%) | 0 (0%) | 0 (0%) | 10 (21%) | 58 (34%) | 0 (0%) | 0 (0%) | 0 (0%) | 7 (9.2%) | 6 (3.3%) | 0 (0%) | 2 (10%) | 0 (0%) | 0 (0%) | 60 (4.7%) | 23 (9.7%) | 15 (2.1%) | 5 (3.8%) | 0 (0%) | 4 (0.6%) | 9 (7.0%) | 84 (3.1%) | 3 (3.6%) |
| Companies & groups | 0 (0%) | 7 (0.4%) | 0 (0%) | 1 (1.4%) | 1 (0.5%) | 7 (0.9%) | 0 (0%) | 1 (2.2%) | 11 (2.0%) | 0 (0%) | 0 (0%) | 0 (0%) | 0 (0%) | 4 (0.5%) | 15 (1.0%) | 45 (4.6%) | 1 (1.4%) | 76 (3.3%) | 26 (0.8%) | 1 (0.5%) | 0 (0%) | 12 (1.6%) | 18 (1.3%) | 0 (0%) | 0 (0%) | 0 (0%) | 5 (0.7%) | 0 (0%) | 56 (2.4%) | 13 (0.6%) | 1 (3.3%) | 0 (0%) | 0 (0%) | 0 (0%) | 0 (0%) | 0 (0%) | 0 (0%) | 0 (0%) | 0 (0%) | 0 (0%) | 0 (0%) | 0 (0%) | 0 (0%) | 0 (0%) | 0 (0%) | 0 (0%) | 14 (6.7%) | 0 (0%) | 27 (55%) | 0 (0%) | 0 (0%) | 0 (0%) | 0 (0%) | 0 (0%) | 0 (0%) | 0 (0%) | 0 (0%) | 0 (0%) | 0 (0%) | 0 (0%) | 4 (5.3%) | 109 (59%) | 0 (0%) | 6 (30%) | 0 (0%) | 0 (0%) | 7 (0.6%) | 0 (0%) | 21 (3.0%) | 2 (1.5%) | 0 (0%) | 15 (2.4%) | 2 (1.6%) | 224 (8.2%) | 0 (0%) |
| Trade Unions | 0 (0%) | 8 (0.5%) | 0 (0%) | 4 (5.5%) | 1 (0.5%) | 4 (0.5%) | 1 (0.5%) | 4 (8.7%) | 7 (1.3%) | 0 (0%) | 0 (0%) | 0 (0%) | 0 (0%) | 66 (8.1%) | 226 (15%) | 4 (0.4%) | 4 (5.5%) | 17 (0.7%) | 12 (0.4%) | 4 (1.9%) | 0 (0%) | 5 (0.7%) | 4 (0.3%) | 1 (0.4%) | 0 (0%) | 0 (0%) | 2 (0.3%) | 0 (0%) | 9 (0.4%) | 18 (0.9%) | 0 (0%) | 0 (0%) | 1 (1.9%) | 0 (0%) | 0 (0%) | 0 (0%) | 0 (0%) | 0 (0%) | 0 (0%) | 0 (0%) | 0 (0%) | 0 (0%) | 0 (0%) | 0 (0%) | 15 (94%) | 0 (0%) | 0 (0%) | 0 (0%) | 3 (6.1%) | 0 (0%) | 0 (0%) | 0 (0%) | 0 (0%) | 0 (0%) | 0 (0%) | 0 (0%) | 2 (1.2%) | 0 (0%) | 0 (0%) | 0 (0%) | 0 (0%) | 0 (0%) | 0 (0%) | 0 (0%) | 0 (0%) | 0 (0%) | 2 (0.2%) | 1 (0.4%) | 7 (1.0%) | 1 (0.8%) | 6 (0.2%) | 3 (0.5%) | 2 (1.6%) | 25 (0.9%) | 0 (0%) |
| Other organisations, public or mixed entities | 0 (0%) | 40 (2.5%) | 0 (0%) | 1 (1.4%) | 0 (0%) | 7 (0.9%) | 11 (5.6%) | 1 (2.2%) | 29 (5.3%) | 3 (2.3%) | 0 (0%) | 0 (0%) | 0 (0%) | 7 (0.9%) | 10 (0.7%) | 6 (0.6%) | 1 (1.4%) | 38 (1.7%) | 17 (0.6%) | 1 (0.5%) | 0 (0%) | 11 (1.5%) | 10 (0.7%) | 0 (0%) | 2 (0.6%) | 0 (0%) | 17 (2.4%) | 3 (2.9%) | 15 (0.7%) | 8 (0.4%) | 0 (0%) | 0 (0%) | 0 (0%) | 0 (0%) | 1 (0.9%) | 0 (0%) | 0 (0%) | 0 (0%) | 0 (0%) | 0 (0%) | 0 (0%) | 0 (0%) | 0 (0%) | 2 (1.2%) | 0 (0%) | 0 (0%) | 0 (0%) | 0 (0%) | 1 (2.0%) | 0 (0%) | 0 (0%) | 0 (0%) | 0 (0%) | 0 (0%) | 0 (0%) | 1 (2.1%) | 22 (13%) | 0 (0%) | 0 (0%) | 0 (0%) | 15 (20%) | 0 (0%) | 0 (0%) | 0 (0%) | 0 (0%) | 0 (0%) | 6 (0.5%) | 5 (2.1%) | 5 (0.7%) | 6 (4.6%) | 0 (0%) | 0 (0%) | 0 (0%) | 58 (2.1%) | 0 (0%) |
| Professional Associations | 0 (0%) | 95 (5.8%) | 0 (0%) | 1 (1.4%) | 0 (0%) | 12 (1.6%) | 0 (0%) | 1 (2.2%) | 7 (1.3%) | 2 (1.6%) | 0 (0%) | 0 (0%) | 3 (1.0%) | 5 (0.6%) | 7 (0.5%) | 1 (0.1%) | 1 (1.4%) | 8 (0.3%) | 27 (0.9%) | 1 (0.5%) | 0 (0%) | 18 (2.4%) | 31 (2.3%) | 0 (0%) | 1 (0.3%) | 0 (0%) | 10 (1.4%) | 0 (0%) | 7 (0.3%) | 10 (0.5%) | 2 (6.7%) | 0 (0%) | 0 (0%) | 0 (0%) | 7 (6.5%) | 0 (0%) | 0 (0%) | 0 (0%) | 0 (0%) | 0 (0%) | 0 (0%) | 0 (0%) | 0 (0%) | 0 (0%) | 0 (0%) | 0 (0%) | 0 (0%) | 0 (0%) | 0 (0%) | 0 (0%) | 0 (0%) | 0 (0%) | 0 (0%) | 0 (0%) | 0 (0%) | 0 (0%) | 6 (3.5%) | 0 (0%) | 0 (0%) | 0 (0%) | 0 (0%) | 0 (0%) | 0 (0%) | 0 (0%) | 0 (0%) | 0 (0%) | 20 (1.6%) | 0 (0%) | 4 (0.6%) | 3 (2.3%) | 4 (0.1%) | 2 (0.3%) | 0 (0%) | 36 (1.3%) | 0 (0%) |
| Think tanks and research institutions | 0 (0%) | 14 (0.9%) | 0 (0%) | 0 (0%) | 0 (0%) | 9 (1.2%) | 2 (1.0%) | 0 (0%) | 1 (0.2%) | 0 (0%) | 0 (0%) | 0 (0%) | 0 (0%) | 11 (1.4%) | 5 (0.3%) | 4 (0.4%) | 0 (0%) | 29 (1.3%) | 38 (1.2%) | 0 (0%) | 3 (0.8%) | 6 (0.8%) | 18 (1.3%) | 0 (0%) | 0 (0%) | 0 (0%) | 7 (1.0%) | 0 (0%) | 7 (0.3%) | 5 (0.2%) | 1 (3.3%) | 0 (0%) | 1 (1.9%) | 0 (0%) | 1 (0.9%) | 0 (0%) | 0 (0%) | 0 (0%) | 0 (0%) | 0 (0%) | 0 (0%) | 0 (0%) | 0 (0%) | 9 (5.4%) | 0 (0%) | 0 (0%) | 17 (8.1%) | 0 (0%) | 0 (0%) | 0 (0%) | 0 (0%) | 0 (0%) | 0 (0%) | 0 (0%) | 0 (0%) | 1 (2.1%) | 11 (6.4%) | 0 (0%) | 0 (0%) | 0 (0%) | 5 (6.6%) | 26 (14%) | 0 (0%) | 4 (20%) | 0 (0%) | 0 (0%) | 1 (<0.1%) | 3 (1.3%) | 25 (3.5%) | 0 (0%) | 0 (0%) | 3 (0.5%) | 2 (1.6%) | 52 (1.9%) | 0 (0%) |
| Academic institutions | 0 (0%) | 12 (0.7%) | 0 (0%) | 1 (1.4%) | 0 (0%) | 3 (0.4%) | 0 (0%) | 1 (2.2%) | 5 (0.9%) | 0 (0%) | 0 (0%) | 0 (0%) | 0 (0%) | 9 (1.1%) | 2 (0.1%) | 1 (0.1%) | 1 (1.4%) | 25 (1.1%) | 13 (0.4%) | 1 (0.5%) | 0 (0%) | 7 (0.9%) | 8 (0.6%) | 0 (0%) | 0 (0%) | 0 (0%) | 1 (0.1%) | 0 (0%) | 6 (0.3%) | 3 (0.1%) | 0 (0%) | 0 (0%) | 0 (0%) | 0 (0%) | 0 (0%) | 0 (0%) | 0 (0%) | 0 (0%) | 0 (0%) | 0 (0%) | 0 (0%) | 0 (0%) | 0 (0%) | 7 (4.2%) | 0 (0%) | 0 (0%) | 5 (2.4%) | 0 (0%) | 0 (0%) | 0 (0%) | 0 (0%) | 0 (0%) | 0 (0%) | 0 (0%) | 0 (0%) | 0 (0%) | 9 (5.3%) | 0 (0%) | 0 (0%) | 0 (0%) | 1 (1.3%) | 11 (6.0%) | 0 (0%) | 0 (0%) | 0 (0%) | 0 (0%) | 6 (0.5%) | 0 (0%) | 17 (2.4%) | 0 (0%) | 0 (0%) | 3 (0.5%) | 2 (1.6%) | 9 (0.3%) | 0 (0%) |
| Associations and networks of public authorities | 0 (0%) | 3 (0.2%) | 0 (0%) | 0 (0%) | 0 (0%) | 0 (0%) | 5 (2.6%) | 0 (0%) | 1 (0.2%) | 0 (0%) | 0 (0%) | 0 (0%) | 0 (0%) | 1 (0.1%) | 6 (0.4%) | 0 (0%) | 0 (0%) | 38 (1.7%) | 5 (0.2%) | 0 (0%) | 0 (0%) | 4 (0.5%) | 0 (0%) | 0 (0%) | 0 (0%) | 0 (0%) | 5 (0.7%) | 0 (0%) | 21 (0.9%) | 6 (0.3%) | 0 (0%) | 0 (0%) | 0 (0%) | 0 (0%) | 0 (0%) | 0 (0%) | 0 (0%) | 0 (0%) | 0 (0%) | 0 (0%) | 0 (0%) | 0 (0%) | 0 (0%) | 0 (0%) | 0 (0%) | 0 (0%) | 0 (0%) | 0 (0%) | 1 (2.0%) | 0 (0%) | 0 (0%) | 0 (0%) | 0 (0%) | 0 (0%) | 0 (0%) | 1 (2.1%) | 2 (1.2%) | 0 (0%) | 0 (0%) | 0 (0%) | 1 (1.3%) | 0 (0%) | 0 (0%) | 0 (0%) | 0 (0%) | 0 (0%) | 1 (<0.1%) | 6 (2.5%) | 3 (0.4%) | 0 (0%) | 0 (0%) | 0 (0%) | 0 (0%) | 33 (1.2%) | 0 (0%) |
| Professional Consultancies | 0 (0%) | 7 (0.4%) | 0 (0%) | 0 (0%) | 0 (0%) | 1 (0.1%) | 0 (0%) | 0 (0%) | 1 (0.2%) | 0 (0%) | 0 (0%) | 0 (0%) | 0 (0%) | 0 (0%) | 3 (0.2%) | 1 (0.1%) | 0 (0%) | 7 (0.3%) | 17 (0.6%) | 0 (0%) | 0 (0%) | 1 (0.1%) | 1 (<0.1%) | 0 (0%) | 0 (0%) | 0 (0%) | 1 (0.1%) | 0 (0%) | 3 (0.1%) | 0 (0%) | 0 (0%) | 0 (0%) | 0 (0%) | 0 (0%) | 0 (0%) | 0 (0%) | 0 (0%) | 0 (0%) | 0 (0%) | 0 (0%) | 0 (0%) | 0 (0%) | 0 (0%) | 0 (0%) | 0 (0%) | 0 (0%) | 0 (0%) | 0 (0%) | 1 (2.0%) | 0 (0%) | 0 (0%) | 0 (0%) | 0 (0%) | 0 (0%) | 0 (0%) | 0 (0%) | 7 (4.1%) | 0 (0%) | 0 (0%) | 0 (0%) | 0 (0%) | 0 (0%) | 0 (0%) | 0 (0%) | 0 (0%) | 0 (0%) | 1 (<0.1%) | 0 (0%) | 0 (0%) | 0 (0%) | 4 (0.1%) | 6 (0.9%) | 0 (0%) | 12 (0.4%) | 0 (0%) |
| Academia, Research Institute and Think Tanks | 0 (0%) | 1 (<0.1%) | 0 (0%) | 0 (0%) | 0 (0%) | 1 (0.1%) | 0 (0%) | 0 (0%) | 2 (0.4%) | 0 (0%) | 0 (0%) | 0 (0%) | 0 (0%) | 4 (0.5%) | 0 (0%) | 0 (0%) | 0 (0%) | 8 (0.3%) | 7 (0.2%) | 0 (0%) | 0 (0%) | 0 (0%) | 0 (0%) | 0 (0%) | 0 (0%) | 0 (0%) | 0 (0%) | 0 (0%) | 1 (<0.1%) | 0 (0%) | 0 (0%) | 0 (0%) | 0 (0%) | 0 (0%) | 0 (0%) | 0 (0%) | 0 (0%) | 0 (0%) | 0 (0%) | 0 (0%) | 0 (0%) | 0 (0%) | 0 (0%) | 16 (9.5%) | 0 (0%) | 0 (0%) | 0 (0%) | 0 (0%) | 0 (0%) | 0 (0%) | 0 (0%) | 0 (0%) | 0 (0%) | 3 (10%) | 0 (0%) | 0 (0%) | 1 (0.6%) | 0 (0%) | 0 (0%) | 0 (0%) | 0 (0%) | 0 (0%) | 0 (0%) | 0 (0%) | 0 (0%) | 0 (0%) | 1 (<0.1%) | 0 (0%) | 18 (2.5%) | 2 (1.5%) | 1 (<0.1%) | 0 (0%) | 0 (0%) | 5 (0.2%) | 0 (0%) |
| Banques nationales ou centrales | 0 (0%) | 0 (0%) | 0 (0%) | 0 (0%) | 0 (0%) | 0 (0%) | 0 (0%) | 0 (0%) | 0 (0%) | 0 (0%) | 0 (0%) | 0 (0%) | 0 (0%) | 0 (0%) | 0 (0%) | 0 (0%) | 0 (0%) | 0 (0%) | 0 (0%) | 0 (0%) | 0 (0%) | 0 (0%) | 0 (0%) | 0 (0%) | 0 (0%) | 0 (0%) | 0 (0%) | 0 (0%) | 0 (0%) | 0 (0%) | 0 (0%) | 0 (0%) | 0 (0%) | 0 (0%) | 0 (0%) | 0 (0%) | 0 (0%) | 0 (0%) | 0 (0%) | 0 (0%) | 0 (0%) | 0 (0%) | 0 (0%) | 0 (0%) | 0 (0%) | 0 (0%) | 0 (0%) | 0 (0%) | 0 (0%) | 0 (0%) | 0 (0%) | 0 (0%) | 0 (0%) | 0 (0%) | 0 (0%) | 0 (0%) | 0 (0%) | 0 (0%) | 0 (0%) | 0 (0%) | 0 (0%) | 0 (0%) | 0 (0%) | 0 (0%) | 0 (0%) | 0 (0%) | 0 (0%) | 0 (0%) | 0 (0%) | 0 (0%) | 10 (0.3%) | 0 (0%) | 0 (0%) | 0 (0%) | 0 (0%) |
| Law Firms | 0 (0%) | 0 (0%) | 0 (0%) | 0 (0%) | 0 (0%) | 0 (0%) | 0 (0%) | 0 (0%) | 2 (0.4%) | 0 (0%) | 0 (0%) | 0 (0%) | 0 (0%) | 0 (0%) | 0 (0%) | 0 (0%) | 0 (0%) | 0 (0%) | 0 (0%) | 0 (0%) | 0 (0%) | 0 (0%) | 0 (0%) | 0 (0%) | 0 (0%) | 0 (0%) | 0 (0%) | 0 (0%) | 0 (0%) | 2 (<0.1%) | 0 (0%) | 0 (0%) | 0 (0%) | 0 (0%) | 0 (0%) | 0 (0%) | 0 (0%) | 0 (0%) | 0 (0%) | 0 (0%) | 0 (0%) | 0 (0%) | 0 (0%) | 0 (0%) | 0 (0%) | 0 (0%) | 0 (0%) | 0 (0%) | 0 (0%) | 0 (0%) | 0 (0%) | 0 (0%) | 0 (0%) | 0 (0%) | 0 (0%) | 0 (0%) | 0 (0%) | 0 (0%) | 0 (0%) | 0 (0%) | 0 (0%) | 0 (0%) | 0 (0%) | 0 (0%) | 0 (0%) | 0 (0%) | 0 (0%) | 0 (0%) | 0 (0%) | 0 (0%) | 0 (0%) | 3 (0.5%) | 0 (0%) | 0 (0%) | 0 (0%) |
| Self-employed | 0 (0%) | 0 (0%) | 0 (0%) | 0 (0%) | 0 (0%) | 0 (0%) | 0 (0%) | 0 (0%) | 0 (0%) | 0 (0%) | 0 (0%) | 0 (0%) | 0 (0%) | 0 (0%) | 4 (0.3%) | 0 (0%) | 0 (0%) | 0 (0%) | 0 (0%) | 0 (0%) | 0 (0%) | 0 (0%) | 0 (0%) | 0 (0%) | 0 (0%) | 0 (0%) | 0 (0%) | 0 (0%) | 0 (0%) | 2 (<0.1%) | 0 (0%) | 0 (0%) | 0 (0%) | 0 (0%) | 0 (0%) | 0 (0%) | 0 (0%) | 0 (0%) | 0 (0%) | 0 (0%) | 0 (0%) | 0 (0%) | 0 (0%) | 0 (0%) | 0 (0%) | 0 (0%) | 0 (0%) | 0 (0%) | 0 (0%) | 0 (0%) | 0 (0%) | 0 (0%) | 0 (0%) | 0 (0%) | 0 (0%) | 0 (0%) | 0 (0%) | 0 (0%) | 0 (0%) | 0 (0%) | 0 (0%) | 0 (0%) | 0 (0%) | 0 (0%) | 0 (0%) | 0 (0%) | 0 (0%) | 0 (0%) | 0 (0%) | 0 (0%) | 0 (0%) | 0 (0%) | 0 (0%) | 0 (0%) | 0 (0%) |
| Non rempli | 0 (0%) | 0 (0%) | 0 (0%) | 0 (0%) | 0 (0%) | 0 (0%) | 0 (0%) | 0 (0%) | 0 (0%) | 0 (0%) | 0 (0%) | 0 (0%) | 0 (0%) | 0 (0%) | 4 (0.3%) | 0 (0%) | 0 (0%) | 0 (0%) | 0 (0%) | 0 (0%) | 0 (0%) | 0 (0%) | 0 (0%) | 0 (0%) | 0 (0%) | 0 (0%) | 0 (0%) | 0 (0%) | 0 (0%) | 0 (0%) | 0 (0%) | 0 (0%) | 0 (0%) | 0 (0%) | 0 (0%) | 0 (0%) | 0 (0%) | 0 (0%) | 0 (0%) | 0 (0%) | 0 (0%) | 0 (0%) | 0 (0%) | 0 (0%) | 0 (0%) | 0 (0%) | 0 (0%) | 0 (0%) | 0 (0%) | 0 (0%) | 0 (0%) | 0 (0%) | 0 (0%) | 0 (0%) | 0 (0%) | 0 (0%) | 0 (0%) | 0 (0%) | 0 (0%) | 0 (0%) | 0 (0%) | 0 (0%) | 0 (0%) | 0 (0%) | 0 (0%) | 0 (0%) | 0 (0%) | 0 (0%) | 0 (0%) | 0 (0%) | 0 (0%) | 0 (0%) | 0 (0%) | 0 (0%) | 0 (0%) |
| 1 n (%) | |||||||||||||||||||||||||||||||||||||||||||||||||||||||||||||||||||||||||||
extraction des policy areas
5. En fonction du type d’organisation, avec quelles autres types d’organisation et de siege je suis présent ?
Faire une matrice des types d’organisation entre elles. Matrice pour un réseau des sièges.
En gros il faut multiplier les id_sieges par eux-même pour avoir toutes les combinaisons possibles de TYPE entre eux.
Warning in left_join(., type_all, by = "ID_GROUP"): Detected an unexpected many-to-many relationship between `x` and `y`.
ℹ Row 1 of `x` matches multiple rows in `y`.
ℹ Row 1 of `y` matches multiple rows in `x`.
ℹ If a many-to-many relationship is expected, set `relationship =
"many-to-many"` to silence this warning.
`summarise()` has grouped output by 'TYPE.x'. You can override using the
`.groups` argument.
| Academia, Research Institute and Think Tanks | Academic institutions | Associations and networks of public authorities | Banques nationales ou centrales | Companies & groups | Law Firms | Non rempli | Non-governmental organisations, platforms and networks and similar | Other organisations, public or mixed entities | Professional Associations | Professional Consultancies | Self-employed | Think tanks and research institutions | Trade and business associations | Trade Unions | Type A | Type D | Type E | |
|---|---|---|---|---|---|---|---|---|---|---|---|---|---|---|---|---|---|---|
| Academia, Research Institute and Think Tanks - 49 sièges | 49 | 43 | 9 | 0 | 156 | 2 | 0 | 113 | 39 | 16 | 10 | 0 | 63 | 284 | 63 | 57 | 545 | 138 |
| Academic institutions - 101 sièges | 28 | 101 | 15 | 0 | 280 | 5 | 0 | 290 | 64 | 36 | 29 | 2 | 138 | 554 | 31 | 138 | 767 | 275 |
| Associations and networks of public authorities - 112 sièges | 9 | 18 | 112 | 0 | 183 | 0 | 4 | 268 | 139 | 30 | 17 | 0 | 77 | 866 | 217 | 42 | 1428 | 299 |
| Banques nationales ou centrales - 10 sièges | 0 | 0 | 0 | 10 | 0 | 0 | 0 | 0 | 0 | 0 | 0 | 0 | 0 | 0 | 0 | 0 | 7 | 6 |
| Companies & groups - 641 sièges | 22 | 65 | 36 | 0 | 641 | 5 | 4 | 293 | 92 | 46 | 35 | 3 | 145 | 1046 | 137 | 213 | 1315 | 263 |
| Law Firms - 7 sièges | 1 | 3 | 0 | 0 | 12 | 7 | 0 | 3 | 1 | 2 | 5 | 0 | 3 | 39 | 2 | 28 | 29 | 3 |
| Non rempli - 4 sièges | 0 | 0 | 1 | 0 | 6 | 0 | 4 | 6 | 3 | 2 | 1 | 0 | 0 | 75 | 92 | 1 | 27 | 4 |
| Non-governmental organisations, platforms and networks and similar - 1203 sièges | 42 | 87 | 88 | 0 | 465 | 4 | 4 | 1203 | 232 | 142 | 44 | 4 | 211 | 2440 | 270 | 287 | 3782 | 925 |
| Other organisations, public or mixed entities - 263 sièges | 18 | 48 | 86 | 0 | 269 | 2 | 4 | 587 | 263 | 105 | 33 | 2 | 113 | 1471 | 138 | 129 | 1916 | 513 |
| Professional Associations - 206 sièges | 10 | 48 | 17 | 0 | 203 | 2 | 4 | 453 | 91 | 206 | 33 | 0 | 72 | 1188 | 150 | 219 | 1344 | 325 |
| Professional Consultancies - 60 sièges | 4 | 39 | 15 | 0 | 209 | 3 | 4 | 169 | 56 | 29 | 60 | 0 | 65 | 571 | 147 | 78 | 673 | 159 |
| Self-employed - 6 sièges | 0 | 2 | 0 | 0 | 4 | 0 | 0 | 3 | 1 | 0 | 0 | 6 | 1 | 8 | 36 | 21 | 10 | 5 |
| Think tanks and research institutions - 243 sièges | 37 | 90 | 56 | 0 | 403 | 4 | 0 | 493 | 135 | 50 | 33 | 2 | 243 | 1173 | 100 | 164 | 1753 | 428 |
| Trade Unions - 398 sièges | 13 | 41 | 32 | 0 | 168 | 2 | 4 | 291 | 93 | 70 | 14 | 6 | 77 | 973 | 398 | 125 | 1736 | 414 |
| Trade and business associations - 3083 sièges | 31 | 92 | 111 | 0 | 600 | 7 | 4 | 1032 | 246 | 198 | 56 | 4 | 231 | 3083 | 384 | 285 | 4965 | 1145 |
| Type A - 1329 sièges | 9 | 18 | 8 | 0 | 183 | 6 | 4 | 187 | 46 | 35 | 19 | 2 | 45 | 389 | 116 | 1329 | 471 | 169 |
| Type D - 20423 sièges | 47 | 68 | 85 | 10 | 369 | 3 | 4 | 764 | 171 | 98 | 50 | 3 | 161 | 2127 | 319 | 159 | 20423 | 3462 |
| Type E - 3581 sièges | 47 | 68 | 76 | 10 | 345 | 4 | 4 | 738 | 146 | 128 | 37 | 2 | 145 | 2181 | 276 | 311 | 13015 | 3581 |
6. Repeat Players
Individus
| REPEAT PLAYERS | |||
| Person | |||
| ID_occupant | NAME | n | TYPE_SEAT |
|---|---|---|---|
| I_13 | VAN MIERLO Mario | 8 | Type B |
| I_16 | GAMBELLI Franck | 7 | Type B |
| I_574 | BORGES Teresa | 6 | Type A |
| I_10 | LEUZZI Fabiola | 5 | Type B |
| I_3 | SCHAAPMAN Marian | 5 | Type B |
| I_571 | KRÄTKE Renate | 5 | Type A |
| I_580 | SCOTT Marian | 5 | Type A |
| I_7 | NIELSEN Nina | 5 | Type B |
| I_1 | MEESTER Kris | 4 | Type B |
| I_11 | MAYA RUBIO Isabel | 4 | Type B |
| I_112 | STREITHOFER Petra | 4 | Type B |
| I_12 | SØBY Lena | 4 | Type B |
| I_14 | ZAIGOUCHE Abderrafik | 4 | Type B |
| I_18 | GYÖRGY Károly | 4 | Type B |
| I_38 | GILLEN Michael | 4 | Type B |
| I_572 | TESTAI Emanuela | 4 | Type A |
| I_583 | HOET Peter | 4 | Type A |
| I_585 | PROYKOVA Ana | 4 | Type A |
| I_602 | ION Rodica Mariana | 4 | Type A |
| I_82 | CRONIN Sylvester | 4 | Type B |
| I_873 | KUSARI Flutura | 4 | Type B |
| I_100 | STOIMENIDIS Andreas | 3 | Type B |
| I_101 | VAN VEELEN Wim | 3 | Type B |
| I_102 | VERDOOT Caroline | 3 | Type B |
| I_1035 | MOLTENI Roberto | 3 | Type A |
| I_107 | RÖHRICH Martin | 3 | Type B |
| I_116 | BOY Stefano | 3 | Type B |
| I_1309 | LIGAS Alessandro | 3 | Type A |
| I_1311 | URIARTE SEMINARIO Andres | 3 | Type A |
| I_1312 | MOTOVA Arina | 3 | Type A |
| I_1313 | JUNG Armelle | 3 | Type A |
| I_1315 | STRANSKY Christoph | 3 | Type A |
| I_1316 | ULRICH Clara | 3 | Type A |
| I_1317 | VALENTINSSON Daniel | 3 | Type A |
| I_1321 | RIHAN Dominic Joel | 3 | Type A |
| I_1322 | GRATI Fabio | 3 | Type A |
| I_1323 | BASTARDIE Francois | 3 | Type A |
| I_1324 | DASKALOV Georgi M. | 3 | Type A |
| I_1326 | CASEY John | 3 | Type A |
| I_1327 | IBAIBARRIAGA Leire | 3 | Type A |
| I_1329 | PONTES COELHO BORGES Lisa Maria | 3 | Type A |
| I_1330 | VAN HOOF Luc | 3 | Type A |
| I_1331 | DE LA PAZ SAMPEDRO PASTOR María | 3 | Type A |
| I_1332 | VRGOČ Nedo | 3 | Type A |
| I_1333 | MARTÍN MARTÍN Paloma | 3 | Type A |
| I_1334 | DÖRING Ralf | 3 | Type A |
| I_1335 | PRELLEZO IGUARAN Raúl | 3 | Type A |
| I_1338 | SOMARAKIS Stylianos | 3 | Type A |
| I_1340 | RAID Tiit | 3 | Type A |
| I_138 | ANTAPSONS Ziedonis | 3 | Type B |
| I_22 | MELLBLOM Bodil | 3 | Type B |
| I_25 | ANDERSSON Cecilia | 3 | Type B |
| I_306 | POTISEPP Priit | 3 | Type A |
| I_343 | BODIN Laurent | 3 | Type A |
| I_346 | DUSINSKA Maria | 3 | Type A |
| I_353 | STĘPNIK Maciej | 3 | Type A |
| I_355 | WIJNHOVEN Susan | 3 | Type A |
| I_527 | MARTINEZ SANS Maria de la Fuensanta | 3 | Type B |
| I_54 | METZE Eckhard | 3 | Type B |
| I_573 | VERMEIRE Theodorus | 3 | Type A |
| I_575 | DE JONG Wim | 3 | Type A |
| I_576 | VIGHI Marco | 3 | Type A |
| I_578 | DE VOOGT Pim | 3 | Type A |
| I_586 | SAMARAS Theodoros | 3 | Type A |
| I_589 | PANAGIOTAKOS Demosthenes | 3 | Type A |
| I_598 | DUARTE-DAVIDSON Raquel | 3 | Type A |
| I_623 | SOSSIDOU Evangelia N. | 3 | Type A |
| I_690 | BUSCH Christoph | 3 | Type A |
| I_71 | SKOVGAARD LAURITSEN Jens | 3 | Type B |
| I_8 | HEIMANN Richard | 3 | Type B |
| I_852 | BODNAR Adam | 3 | Type A |
| I_853 | VRETTOU Christina | 3 | Type A |
| I_856 | CARUANA GALIZIA Matthew | 3 | Type A |
| I_857 | O’KANE Olivia | 3 | Type A |
| I_858 | ISAKSSON Ulf | 3 | Type A |
| I_859 | KRAMER Xandra | 3 | Type A |
| I_86 | TORRE Ana | 3 | Type B |
| I_860 | BUKOVSKA Barbora | 3 | Type B |
| I_861 | HOLT Charlie | 3 | Type B |
| I_864 | BODROGI Bea | 3 | Type A |
| I_9 | KÖNIG Sonja | 3 | Type B |
| I_0 | WALSH Tom | 2 | Type A |
| I_1030 | AUTIO Sari | 2 | Type A |
| I_1034 | KRETSCHMAR Ursula | 2 | Type A |
| I_104 | BREDAL Charlotte | 2 | Type B |
| I_1040 | BLANCO PENEDO María Isabel | 2 | Type A |
| I_1041 | BOURIN Marie-Christine | 2 | Type A |
| I_1043 | GORACCI Jacopo | 2 | Type A |
| I_105 | CAPPUCCIO Silvana | 2 | Type B |
| I_106 | FRANKLIN Paula | 2 | Type B |
| I_115 | POULSEN Casper | 2 | Type B |
| I_117 | BRETSCHNEIDER Michael | 2 | Type B |
| I_118 | KRAUS Thomas | 2 | Type B |
| I_119 | SORENSEN Kare | 2 | Type B |
| I_123 | MELCKMANS Bruno | 2 | Type B |
| I_128 | FRÖVEN Peter | 2 | Type B |
| I_1310 | ABELLA Alvaro | 2 | Type A |
| I_1314 | O'NEILL Barry | 2 | Type A |
| I_1318 | GASCUEL Didier | 2 | Type A |
| I_1319 | DAMALAS Dimitrios | 2 | Type A |
| I_1320 | MOUTOPOULOS Dimitrios | 2 | Type A |
| I_1325 | NORD Jenny | 2 | Type A |
| I_1328 | KNITTWEIS-MIFSUD Leyla | 2 | Type A |
| I_1336 | KRAAK Sarah Belle Mathilde | 2 | Type A |
| I_1337 | VILLASANTE Sebastian | 2 | Type A |
| I_1339 | CATCHPOLE Thomas | 2 | Type A |
| I_134 | MÜLLER Christian | 2 | Type B |
| I_1341 | VANHEE Willy | 2 | Type A |
| I_135 | TIEDEMANN Moriz-Boje | 2 | Type B |
| I_1358 | GIBELLIERI Enrico | 2 | Type B |
| I_1391 | AL HEIB Marwan | 2 | Type A |
| I_1392 | CHIRIL Gheorghe | 2 | Type A |
| I_1393 | CLAUSEN Elizabeth | 2 | Type A |
| I_1394 | DAUBER Christoph | 2 | Type A |
| I_1395 | GALERA FERNANDEZ José Miguel | 2 | Type A |
| I_1396 | HÁMORNÉ VIDÓ Mária | 2 | Type A |
| I_1397 | PALARSKI Jan | 2 | Type A |
| I_1398 | SOKOLA-SZEWIOLA Violetta | 2 | Type A |
| I_1399 | BEAL Corinne | 2 | Type A |
| I_1400 | FIERRO Vanessa | 2 | Type A |
| I_1401 | GÓMEZ BORREGO María de los Ángeles | 2 | Type A |
| I_1402 | HANNES Jens | 2 | Type A |
| I_1403 | KLUGER Frank | 2 | Type A |
| I_1404 | MORIN Jean-Xavier | 2 | Type A |
| I_1405 | MOSER Peter | 2 | Type A |
| I_1406 | PEVIDA GARCÍA M. Covadonga | 2 | Type A |
| I_1407 | POULTNEY Ruth | 2 | Type A |
| I_1408 | STÁNCZYK Krzysztof | 2 | Type A |
| I_1409 | WHITEHOUSE Michael | 2 | Type A |
| I_1412 | BIANCO Loris | 2 | Type A |
| I_1413 | BORLEE Jean | 2 | Type A |
| I_1414 | FARACI Eros Luciano | 2 | Type A |
| I_1415 | HESS Eric | 2 | Type A |
| I_1416 | KLEIMT Bernd | 2 | Type A |
| I_1417 | LACHMUND Helmut | 2 | Type A |
| I_1418 | MALFA Enrico | 2 | Type A |
| I_1419 | MASLEJOVA Alica | 2 | Type A |
| I_1420 | MÓGER Róbert | 2 | Type A |
| I_1421 | OVERBOSCH Aart | 2 | Type A |
| I_1422 | PEREZ CHUST Rubén | 2 | Type A |
| I_1423 | SCHUSTER Elmar Franz | 2 | Type A |
| I_1424 | SUNDQVIST ÖQVIST Lena | 2 | Type A |
| I_1425 | VANDERHEYDEN Bernard | 2 | Type A |
| I_1426 | VAN DER STEL Jan | 2 | Type A |
| I_1427 | VIKMAN Robert | 2 | Type A |
| I_1428 | WOLFMEIR Hermann | 2 | Type A |
| I_1429 | ZAMAN Florian | 2 | Type A |
| I_1430 | ALONSO Izaskun | 2 | Type A |
| I_1431 | ANGELI Gerhard | 2 | Type A |
| I_1432 | COLA Ruggero | 2 | Type A |
| I_1433 | DE SANTIS Michele | 2 | Type A |
| I_1434 | FARRUGIA Didier | 2 | Type A |
| I_1435 | FIETZ Jasmin | 2 | Type A |
| I_1436 | GROOT Jochem | 2 | Type A |
| I_1437 | KOLL Thomas | 2 | Type A |
| I_1438 | LANGELLOTTO Luigi | 2 | Type A |
| I_1440 | NAVEAU Paul | 2 | Type A |
| I_1441 | REICHARDT Tilo | 2 | Type A |
| I_1442 | STELLMACHER Ulrike | 2 | Type A |
| I_1443 | THURGREN Mats | 2 | Type A |
| I_1444 | UIJTDEBROEKS Hugo | 2 | Type A |
| I_1445 | VENERI Nicola | 2 | Type A |
| I_1446 | WILCOX Steven | 2 | Type A |
| I_1447 | ZEMKO Michal | 2 | Type A |
| I_1448 | BUESSLER Pascal | 2 | Type A |
| I_1449 | CHAI Guocai | 2 | Type A |
| I_1450 | DE LA FUENTE GARCIA Daniel | 2 | Type A |
| I_1451 | FERREIRA GORJAO Paula | 2 | Type A |
| I_1452 | FRISK Karin | 2 | Type A |
| I_1453 | GREEN Matthew | 2 | Type A |
| I_1454 | GUTIERREZ Isabel | 2 | Type A |
| I_1455 | IUNG Thierry | 2 | Type A |
| I_1456 | KÖMI Jukka | 2 | Type A |
| I_1457 | KUZIAK Roman | 2 | Type A |
| I_1458 | LARNICOL Maïwenn | 2 | Type A |
| I_1459 | MONTEMOR Maria de Fátima | 2 | Type A |
| I_1460 | MORRIS Peter | 2 | Type A |
| I_1461 | PICHLER Andreas | 2 | Type A |
| I_1462 | RAGGIO Carlo | 2 | Type A |
| I_1463 | RAMUNDO Susanna | 2 | Type A |
| I_1464 | SALVATORI Ilaria | 2 | Type A |
| I_1465 | SCHUHMACHER Bernd | 2 | Type A |
| I_1466 | SOURMAIL Thomas | 2 | Type A |
| I_1467 | VAN DEN BERGH Krista | 2 | Type A |
| I_1468 | BADDOO Nancy | 2 | Type A |
| I_1469 | BECHTOLD Marion | 2 | Type A |
| I_1470 | BOUDJABEUR Samir | 2 | Type A |
| I_1471 | CHICA PÁEZ José Antonio | 2 | Type A |
| I_1472 | CONTRERAS FORTES Julia | 2 | Type A |
| I_1473 | DEMOFONTI Giuseppe | 2 | Type A |
| I_1474 | GALTIER André | 2 | Type A |
| I_1475 | HEDEGÅRD Carl Joakim | 2 | Type A |
| I_1476 | HÖHLER Susanne | 2 | Type A |
| I_1477 | IDOYAGA Zuriñe | 2 | Type A |
| I_1478 | KLIMPEL Andrzej | 2 | Type A |
| I_1479 | LANGERAK Nicolaes | 2 | Type A |
| I_1480 | LEMOINE Xavier | 2 | Type A |
| I_1481 | MOŽE Primož | 2 | Type A |
| I_1482 | NUUTINEN Juha | 2 | Type A |
| I_1483 | OBIALA Renata | 2 | Type A |
| I_1484 | OFENHEIMER Aldo | 2 | Type A |
| I_1485 | ORDIERES-MERÉ Joaquín | 2 | Type A |
| I_1486 | SALVATORE Walter | 2 | Type A |
| I_1487 | VERMEULEN Michel | 2 | Type A |
| I_1488 | WALCH Christian | 2 | Type A |
| I_1489 | ZHAO Bin | 2 | Type A |
| I_1490 | ZHELUDKEVICH Mikhail | 2 | Type A |
| I_1491 | ANDERSON David | 2 | Type A |
| I_1492 | COLLA Valentina | 2 | Type A |
| I_1493 | KAFTANDJIAN Valérie | 2 | Type A |
| I_1494 | KROOS Joachim | 2 | Type A |
| I_1495 | LARSSON Mikael | 2 | Type A |
| I_1496 | ORTH Thomas | 2 | Type A |
| I_1497 | PEREGRINA MÁRQUEZ Susana | 2 | Type A |
| I_1498 | STEFANOIU Radu | 2 | Type A |
| I_1499 | TUSSET Victor | 2 | Type A |
| I_15 | DE LAS MORENAS DE TORO José | 2 | Type B |
| I_17 | GOC Dariusz | 2 | Type B |
| I_189 | KIUKUCĀNE Ilona | 2 | Type B |
| I_20 | LUMEN Florence | 2 | Type B |
| I_21 | LUPI Marco | 2 | Type B |
| I_23 | SOON Argo | 2 | Type B |
| I_246 | VAN STEENBERGEN Rik | 2 | Type B |
| I_26 | AVLONITOU Anastasia | 2 | Type B |
| I_28 | BUET Nathalie | 2 | Type B |
| I_281 | BERGMANN Andreas | 2 | Type A |
| I_282 | CARRUTHERS Ian | 2 | Type A |
| I_283 | LEDOUX Stephanie | 2 | Type A |
| I_284 | MÜLLER MARQUES BERGER Thomas | 2 | Type A |
| I_285 | STANFORD John | 2 | Type A |
| I_302 | COLOSIO Claudi | 2 | Type A |
| I_34 | ENGEL Stefan | 2 | Type B |
| I_345 | COENRAADS Pieter Jan | 2 | Type A |
| I_35 | JEFIM Karmen | 2 | Type B |
| I_37 | GEOREVA Petya | 2 | Type B |
| I_374 | IACOB Alin | 2 | Type B |
| I_380 | OHLHAUSEN Ralf | 2 | Type B |
| I_383 | PRANJIVAN Vinay | 2 | Type B |
| I_4 | VAN EYCK Kris | 2 | Type B |
| I_40 | HENRIQUE Luís | 2 | Type B |
| I_45 | KIEFFER Marc | 2 | Type B |
| I_491 | TRENTA Cristina | 2 | Type A |
| I_5 | ARLATI Claudio | 2 | Type B |
| I_51 | LEVY Patrick | 2 | Type B |
| I_513 | TÁTRAI Tünde | 2 | Type A |
| I_52 | MASCIOCCHI Pier Paolo | 2 | Type B |
| I_53 | MEITNER Róbert | 2 | Type B |
| I_55 | MICHAEL Emilios | 2 | Type B |
| I_556 | JÉRUSALMY Olivier | 2 | Type B-Type A |
| I_577 | BERTOLLINI Roberto | 2 | Type A |
| I_581 | ZACHAROV Sergej | 2 | Type A |
| I_59 | PEÄRNBERG Marju | 2 | Type B |
| I_592 | AUTRUP Herman | 2 | Type A |
| I_596 | VON GOETZ Natalie | 2 | Type A |
| I_597 | BACKHAUS Thomas | 2 | Type A |
| I_60 | PENA COSTA Manuel Marcelino Peralta | 2 | Type B |
| I_62 | POLYVIOU Polyvios | 2 | Type B |
| I_634 | MARTELLI Giovanna | 2 | Type A |
| I_65 | RIBIČIĆ Admira | 2 | Type B |
| I_660 | BALBONI Paolo | 2 | Type A |
| I_69 | SCHWENG Christa | 2 | Type B |
| I_699 | RODRIGUEZ DE LAS HERAS BALLELL Teresa | 2 | Type A |
| I_70 | SEIFERT Nenad | 2 | Type B |
| I_718 | WILLEMS Véronique | 2 | Type A-Type B |
| I_75 | STOEV Georgi | 2 | Type B |
| I_750 | STRES Spela | 2 | Type A |
| I_752 | ASSUMPCIO Anton | 2 | Type A |
| I_753 | JOHAN Lammerant | 2 | Type A |
| I_754 | HERMANSEN John E | 2 | Type A |
| I_755 | ROSENBAUM Ralph | 2 | Type A |
| I_756 | WIEDEMANN Stephen | 2 | Type A |
| I_757 | BARTZANAS Thomas | 2 | Type A |
| I_781 | MARKOTIĆ Alemka | 2 | Type A |
| I_782 | FONTANET Arnaud | 2 | Type A |
| I_785 | MØLBAK Kåre | 2 | Type A |
| I_80 | BÖHM Lučka | 2 | Type B |
| I_83 | DARLE Mihaela | 2 | Type B |
| I_851 | SKUNCA Dubravka | 2 | Type A |
| I_854 | HATNEANU Diana-Olivia | 2 | Type A |
| I_855 | NETO GALVAO Luis | 2 | Type A |
| I_863 | ANTHIMOS Apostolos | 2 | Type A |
| I_865 | ALVAREZ-ARMAS Eduardo | 2 | Type A |
| I_866 | PREVOST Emeric | 2 | Type A |
| I_867 | VASATURO Giulio | 2 | Type A |
| I_868 | SCHACHT Hubertus | 2 | Type A |
| I_869 | SLADIC Jorg | 2 | Type A |
| I_87 | KOKALOV Ivan | 2 | Type B |
| I_870 | BORG BARTHET Justin | 2 | Type A |
| I_871 | Ó FATHAIGH Ronan | 2 | Type A |
| I_872 | HUET Benoît | 2 | Type B |
| I_874 | RAVO Linda | 2 | Type B |
| I_88 | LANGENBAHN Sigi | 2 | Type B |
| I_89 | LIA Alfred | 2 | Type B |
| I_90 | MAASIKAS Aija | 2 | Type B |
| I_92 | MIRONEN Anne | 2 | Type B |
| I_93 | PALADA Marko | 2 | Type B |
| I_95 | RAMPAŠEK Peter | 2 | Type B |
| I_96 | REIFINGER Ingrid | 2 | Type B |
| I_969 | MAJCHROWSKA Agata | 2 | Type A |
| I_97 | RUGINIENĖ Inga | 2 | Type B |
| I_98 | SIGURJONSSON Björn Águst | 2 | Type B |
| I_99 | SOKOLOVÁ Radka | 2 | Type B |

Organisations
| REPEAT PLAYERS | |||
| Organisation | |||
| NAME | TYPE_ORGA | n | TYPE_SEAT |
|---|---|---|---|
| european farmers (copa) | Trade and business associations | 65 | Type C |
| european agri-cooperatives (cogeca) | Trade and business associations | 56 | Type C |
| bureau europ��en des unions de consommateurs (beuc) | Non-governmental organisations, platforms and networks and similar | 50 | Type B-Type C |
| eurocommerce | Trade and business associations | 49 | Type B-Type C |
| european chemical industry council (cefic) | Trade and business associations | 48 | Type C |
| businesseurope | Trade and business associations | 46 | Type B-Type C |
| european environmental bureau (eeb) | Non-governmental organisations, platforms and networks and similar | 44 | Type B-Type C |
| association des constructeurs europ��ens d'automobiles (acea) | Trade and business associations | 35 | Type B-Type C |
| european committee for standardization (cen) | Associations and networks of public authorities | 35 | Type C |
| fooddrinkeurope (fooddrinkeurope) | Trade and business associations | 33 | Type C |
| european liaison committee for agriculture and agri-food trade (celcaa) | Trade and business associations | 29 | Type C |
| conseil europ��en des jeunes agriculteurs (ceja) | Professional Associations | 28 | Type C |
| european association for the co-ordination of consumer representation in standardisation (anec) | Non-governmental organisations, platforms and networks and similar | 27 | Type C |
| european coordination via campesina (ecvc) | Professional Associations | 26 | Type C |
| smeunited aisbl (smeunited) | Trade and business associations | 26 | Type B-Type C |
| european committee for electrotechnical standardization (cenelec) | Associations and networks of public authorities | 25 | Type C |
| wwf european policy programme (wwf epo) | Non-governmental organisations, platforms and networks and similar | 25 | Type C |
| f��d��ration europ��enne des fabricants d'aliments compos��s (fefac) | Trade and business associations | 24 | Type C |
| international federation of organic agriculture movements eu regional group (ifoam eu group) | Trade and business associations | 23 | Type C |
| eurochambres ��� association of european chambers of commerce and industry (eurochambres) | Trade and business associations | 22 | Type C |
| european trade union confederation (etuc) | Trade Unions | 22 | Type C |
| european association automotive suppliers (clepa) | Trade and business associations | 22 | Type C |
| freshfel europe - the forum for the european fresh fruits and vegetables chain (freshfel) | Trade and business associations | 22 | Type C |
| european landowners' organization asbl (elo asbl) | Trade and business associations | 22 | Type C |
| european transport workers' federation (etf) | Trade Unions | 21 | Type C |
| eurometaux | Trade and business associations | 21 | Type C |
| stichting birdlife europe (birdlife europe) | Non-governmental organisations, platforms and networks and similar | 21 | Type C |
| environmental coalition on standards (ecos) | Non-governmental organisations, platforms and networks and similar | 20 | Type C |
| european tyre & rubber manufacturers' association (etrma) | Trade and business associations | 20 | Type C |
| community of european railway and infrastructure companies (cer) | Trade and business associations | 20 | Type C |
| eurogroup for animals | Non-governmental organisations, platforms and networks and similar | 20 | Type C |
| union europ��enne de l'artisanat et des petites et moyennes entreprises, aisbl (ueapme) | Trade and business associations | 19 | Type C |
| eurelectric aisbl (eurelectric) | Trade and business associations | 19 | Type C |
| international road transport union permanent delegation to the eu (iru) | Trade and business associations | 19 | Type C |
| digitaleurope | Trade and business associations | 17 | Type C |
| f��d��ration internationale de l'automobile (fia) | Other organisations, public or mixed entities | 17 | Type C |
| european association of mining industries, metal ores & industrial minerals (euromines) | Trade and business associations | 17 | Type B-Type C |
| eurocities | Non-governmental organisations, platforms and networks and similar | 16 | Type B-Type C |
| insurance europe (insurance europe) | Trade and business associations | 16 | Type C |
| european dairy association aisbl (eda) | Trade and business associations | 15 | Type C |
| industriall european trade union (industriall europe) | Trade Unions | 15 | Type B-Type C |
| uitp - international association of public transport (uitp) | Trade and business associations | 15 | Type C |
| fertilizers europe | Trade and business associations | 15 | Type C |
| conf��deration europ��enne des propri��taires forestiers (cepf) | Trade and business associations | 15 | Type C |
| european trade union institute (etui) | Non-governmental organisations, platforms and networks and similar | 15 | Type B-Type C |
| european community shipowner's associations (ecsa) | Trade and business associations | 14 | Type C |
| f��d��ration europ��enne pour la sant�� animale et la s��curit�� sanitaire (fesass) | Professional Associations | 14 | Type C |
| association des constructeurs europ��ens de motocycles (acem) | Trade and business associations | 14 | Type C |
| comit�� du commerce des c��r��ales, aliments du b��tail, ol��agineux, huile d'olive, huiles et graisses et agrofournitures de l'u.e. (coceral) | Trade and business associations | 14 | Type C |
| assembl��e des r��gions europ��ennes fruiti��res, l��gumi��res et horticoles (areflh) | Other organisations, public or mixed entities | 13 | Type C |
| european road transport telematics implementation coordination organisation-intelligent transport systems & services europe (ertico-its europe) | Think tanks and research institutions | 13 | Type C |
| european federation of national associations of water services (eureau) | Trade and business associations | 13 | Type C |
| the european steel association (eurofer) | Trade and business associations | 13 | Type B-Type C |
| confederation of european paper industries (cepi) | Trade and business associations | 13 | Type C |
| clecat - european association for forwarding, transport, logistic and customs services (clecat) | Trade and business associations | 13 | Type C |
| international association of oil & gas producers europe (iogp europe) | Trade and business associations | 13 | Type C |
| union europ��enne du commerce du b��tail et des m��tiers de la viande (u.e.c.b.v.) | Trade and business associations | 13 | Type C |
| gsma europe (gsma europe) | Trade and business associations | 12 | Type C |
| the eu vegetable oil and proteinmeal industry (fediol) | Trade and business associations | 12 | Type C |
| cembureau - the european cement association (cembureau) | Trade and business associations | 12 | Type B-Type C |
| polis | Associations and networks of public authorities | 12 | Type C |
| european sea ports organisation (espo) | Trade and business associations | 12 | Type C |
| world union of wholesale markets (wuwm) | Trade and business associations | 12 | Type C |
| independent retail europe (formerly ugal - union of groups of independent retailers of europe) | Trade and business associations | 12 | Type C |
| association europ��enne du commerce de fruits et l��gumes de l'ue - european fruit and vegetables trade association (eucofel) | Trade and business associations | 12 | Type C |
| european transport safety council (etsc) | Non-governmental organisations, platforms and networks and similar | 12 | Type C |
| figiefa - f��d��ration internationale des grossistes, importateurs & exportateurs en fournitures automobiles / international federation of automotive distributors (figiefa) | Trade and business associations | 12 | Type C |
| animalhealth europe (formerly known as ifah-europe) | Trade and business associations | 12 | Type C |
| the international motor vehicle inspection committee (cita) | Non-governmental organisations, platforms and networks and similar | 12 | Type C |
| european disability forum (edf) | Trade and business associations | 12 | Type C |
| orgalim ��� europe's technology industries (orgalim) | Trade and business associations | 12 | Type C |
| small business standards (sbs) | Trade and business associations | 12 | Type C |
| friends of the earth europe (foee) | Non-governmental organisations, platforms and networks and similar | 12 | Type C |
| slow food (na) | Non-governmental organisations, platforms and networks and similar | 12 | Type C |
| confederation of finnish industries ek (ek) | Trade and business associations | 11 | Type B-Type C |
| association de l'aviculture, de l'industrie et du commerce de volailles dans les pays de l'union europeenne asbl (a.v.e.c.) | Trade and business associations | 11 | Type C |
| climate action network europe (can europe) | Non-governmental organisations, platforms and networks and similar | 11 | Type C |
| european potato trade association (europatat) | Trade and business associations | 11 | Type C |
| federation of veterinarians of europe (fve) | Professional Associations | 11 | Type C |
| european association of internal combustion engine manufacturers (euromot) | Trade and business associations | 11 | Type C |
| federation of european motorcyclists' associations (fema) | Non-governmental organisations, platforms and networks and similar | 11 | Type C |
| european federation of food, agriculture and tourism trade unions (effat) | Trade and business associations | 11 | Type C |
| construction products europe | Trade and business associations | 11 | Type C |
| european telecommunications standards institute (etsi) | Other organisations, public or mixed entities | 11 | Type C |
| european state forest association (eustafor) | Trade and business associations | 11 | Type C |
| seas at risk (sar) | Non-governmental organisations, platforms and networks and similar | 11 | Type C |
| european university association (eua) | Non-governmental organisations, platforms and networks and similar | 11 | Type C |
| association europ��enne des concessionnaires d'autoroutes et d'ouvrages �� p��age (asecap) | Trade and business associations | 10 | Type C |
| euro coop - european community of consumer co-operatives (euro coop) | Trade and business associations | 10 | Type C |
| european dredging association (euda) | Trade and business associations | 10 | Type C |
| european association of the electricity transmission and distribution equipment and services industry (t&d europe) | Trade and business associations | 10 | Type C |
| european rural poultry association (erpa) | Trade and business associations | 10 | Type C |
| euromontana (euromontana) | Non-governmental organisations, platforms and networks and similar | 10 | Type C |
| primary food processors (pfp) | Trade and business associations | 10 | Type C |
| confederation of the european bicycle industry asbl (conebi asbl) | Trade and business associations | 10 | Type C |
| applia (home appliance europe) (applia) | Trade and business associations | 10 | Type C |
| orgalime (orgalime) | Trade and business associations | 10 | Type C |
| airlines for europe (a4e) | Trade and business associations | 10 | Type C |
| international air transport association (iata) | Trade and business associations | 10 | Type C |
| transport and environment (european federation for transport and environment) (t&e) | Non-governmental organisations, platforms and networks and similar | 10 | Type C |
| greenpeace european unit | Non-governmental organisations, platforms and networks and similar | 10 | Type B-Type C |
| confederation of danish employers (da) | Trade and business associations | 10 | Type B-Type C |
| european federation of education employers (efee) | Non-governmental organisations, platforms and networks and similar | 9 | Type C |
| pesticide action network europe (pan europe) | Non-governmental organisations, platforms and networks and similar | 9 | Type C |
| european agroforestry federation (euraf) | Non-governmental organisations, platforms and networks and similar | 9 | Type C |
| stichting wageningen research (wr) | Think tanks and research institutions | 9 | Type C |
| alliance for logistics innovation through collaboration in europe, alice (alice) | Non-governmental organisations, platforms and networks and similar | 9 | Type C |
| european food banks federation (feba) | Non-governmental organisations, platforms and networks and similar | 9 | Type C |
| mobility as a service alliance (maas alliance) | Other organisations, public or mixed entities | 9 | Type C |
| conference of european directors of roads (cedr) | Associations and networks of public authorities | 9 | Type C |
| european aggregates association (uepg) | Trade and business associations | 9 | Type C |
| european express association (eea) | Trade and business associations | 9 | Type C |
| confederation of swedish enterprise | Trade and business associations | 9 | Type B-Type C |
| european electronic component manufacturers association (eeca) | Trade and business associations | 9 | Type C |
| amice - association of mutual insurers and insurance cooperatives in europe (amice) | Trade and business associations | 8 | Type C |
| europabio | Trade and business associations | 8 | Type C |
| croatian employers' association (cea) | Trade and business associations | 8 | Type B-Type C |
| wirtschaftskammer ��sterreich (wk��) | Trade and business associations | 8 | Type B-Type C |
| vereniging vno-ncw (vno-ncw) | Trade and business associations | 8 | Type B-Type C |
| traveller information services association (tisa) | Trade and business associations | 8 | Type C |
| european public health alliance (epha) | Non-governmental organisations, platforms and networks and similar | 8 | Type C |
| european milk board (emb) | Professional Associations | 8 | Type C |
| aerospace and defence industries association of europe (asd) | Trade and business associations | 8 | Type C |
| f��d��ration g��n��rale du travail de belgique (fgtb) | Trade Unions | 8 | Type B-Type C |
| european forum on nature conservation and pastoralism (efncp) | Non-governmental organisations, platforms and networks and similar | 8 | Type C |
| european automotive research partners association (earpa) | Other organisations, public or mixed entities | 8 | Type C |
| eu association of specialty feed ingredients and their mixtures (fefana) | Trade and business associations | 8 | Type C |
| european forum of farm animal breeders (effab) | Trade and business associations | 8 | Type C |
| hotrec, hotels, restaurants & caf��s in europe (hotrec) | Trade and business associations | 8 | Type C |
| european trade union committee for education (etuce) | Trade Unions | 8 | Type C |
| cema - european agricultural machinery industry association (cema) | Trade and business associations | 8 | Type C |
| feport (feport) | Trade and business associations | 8 | Type C |
| ceep - european centre of employers and enterprises providing public services and services of general interest (ceep) | Professional Associations | 8 | Type B-Type C |
| european fat processors & renderers association (efpra) | Trade and business associations | 8 | Type C |
| association internationale de la savonnerie, de la d��tergence et des produits d'entretien (a.i.s.e.) | Trade and business associations | 8 | Type C |
| european construction industry federation (fiec) | Trade and business associations | 8 | Type C |
| european network of transmission system operators for electricity (entso-e) | Trade and business associations | 8 | Type C |
| verbond van belgische ondernemingen / federation des entreprises de belgique (vbo / feb) | Trade and business associations | 8 | Type B-Type C |
| confederazione generale dell'industria italiana (confindustria) | Trade and business associations | 8 | Type B-Type C |
| confederaci��n espa��ola de organizaciones empresariales (ceoe) | Trade and business associations | 8 | Type B-Type C |
| coastal & marine union (eucc) (eucc) | Non-governmental organisations, platforms and networks and similar | 8 | Type C |
| uni��o geral de trabalhadores (ugt) | Trade Unions | 8 | Type B-Type C |
| industrial minerals association - europe (ima-europe) | Trade and business associations | 8 | Type B-Type C |
| thales | Companies & groups | 8 | Type C |
| fuelseurope (fuelseurope) | Trade and business associations | 8 | Type C |
| federation of associations for hunting & conservation of the eu (face) | Non-governmental organisations, platforms and networks and similar | 8 | Type C |
| international union for conservation of nature eu representative office (iucn euro) | Non-governmental organisations, platforms and networks and similar | 8 | Type C |
| oceana | Non-governmental organisations, platforms and networks and similar | 8 | Type C |
| f��d��ration des artisans (fda) | Trade Unions | 7 | Type B-Type C |
| european federation of pharmaceutical industries and associations (efpia) | Trade and business associations | 7 | Type C |
| bundesvereinigung der deutschen arbeitgeberverb��nde e.v. (bda) | Trade and business associations | 7 | Type B-Type C |
| age platform europe (age) | Non-governmental organisations, platforms and networks and similar | 7 | Type B-Type C |
| centre de liaison des industries transformatrices de viande de l'ue (clitravi) | Trade and business associations | 7 | Type C |
| vereinigung der ��sterreichischen industrie - industriellenvereinigung (iv) | Trade and business associations | 7 | Type B-Type C |
| accountancy europe | Trade and business associations | 7 | Type C |
| european barge union (ebu) | Trade and business associations | 7 | Type C |
| european flour millers | Trade and business associations | 7 | Type C |
| ��eskomoravsk�� konfederace odborov��ch svaz�� (��mkos) | Trade Unions | 7 | Type B-Type C |
| federatie nederlandse vakbeweging (fnv) | Trade Unions | 7 | Type B-Type C |
| confederazione generale italiana del lavoro (cgil) | Trade Unions | 7 | Type B-Type C |
| european leader association for rural development (elard) | Non-governmental organisations, platforms and networks and similar | 7 | Type C |
| bundesarbeitskammer ��sterreich (bak) | Trade Unions | 7 | Type B-Type C |
| european cold storage and logistics association (ecsla) | Trade and business associations | 7 | Type C |
| vtt technical research centre of finland ltd (vtt) | Think tanks and research institutions | 7 | Type C |
| international biocontrol manufacturers' association (ibma) | Trade and business associations | 7 | Type C |
| 5g automotive association (5gaa) | Trade and business associations | 7 | Type C |
| car 2 car communication consortium (c2c-cc) | Trade and business associations | 7 | Type C |
| europ��ische fahrlehrer assoziation (efa) | Non-governmental organisations, platforms and networks and similar | 7 | Type C |
| european conference of transport research institutes (ectri) | Think tanks and research institutions | 7 | Type C |
| european council for automotive r&d (eucar) | Trade and business associations | 7 | Type C |
| european road assessment programme (eurorap) | Non-governmental organisations, platforms and networks and similar | 7 | Type C |
| european road transport research advisory council (ertrac) | Other organisations, public or mixed entities | 7 | Type C |
| european union road federation (erf) | Other organisations, public or mixed entities | 7 | Type C |
| open traffic systems city association e.v. (oca e.v.) | Associations and networks of public authorities | 7 | Type C |
| euroseeds (euroseeds) | Trade and business associations | 7 | Type C |
| japan automobile manufacturers association, inc. european office (jama european office) | Trade and business associations | 7 | Type C |
| cosmetics europe | Trade and business associations | 7 | Type C |
| international platform of insects for food and feed (ipiff) (ipiff) | Trade and business associations | 7 | Type C |
| harmonised standards consultants (has) une cat��gorie pas une orga en particulier | Other organisations, public or mixed entities | 7 | Type C |
| european smart energy solution providers (esmig) | Trade and business associations | 7 | Type C |
| european industrial gases association aisbl (eiga) | Trade and business associations | 7 | Type C |
| eurogeosurveys - the geological surveys of europe (egs) | Non-governmental organisations, platforms and networks and similar | 7 | Type C |
| cerame-unie | Trade and business associations | 7 | Type C |
| european furniture industries confederation (efic) | Trade and business associations | 7 | Type C |
| confederation of european security services (coess) | Trade and business associations | 7 | Type C |
| european crop protection association (ecpa) | Trade and business associations | 7 | Type C |
| conf��d��ration g��n��rale du travail force ouvri��re (cgt-fo) | Trade Unions | 7 | Type B-Type C |
| union des industries et m��tiers de la m��tallurgie (uimm) | Trade and business associations | 7 | Type B |
| european apparel and textile confederation (euratex) | Trade and business associations | 7 | Type C |
| ectu - european shippers' council (esc) | Trade and business associations | 7 | Type C |
| ibec | Trade and business associations | 7 | Type B-Type C |
| european banking federation (ebf) | Trade and business associations | 7 | Type B-Type C |
| latvijas darba dev��ju konfeder��cija (lddk) | Trade and business associations | 6 | Type B-Type C |
| science europe (se) | Think tanks and research institutions | 6 | Type C |
| association europ��enne de producteurs de mollusques (aepm) | Trade and business associations | 6 | Type C |
| the european association for the promotion of cogeneration (cogen europe) | Trade and business associations | 6 | Type C |
| european association of chemical distributors (fecc) | Trade and business associations | 6 | Type C |
| the central organisation of finnish trade unions sak (sak) | Trade Unions | 6 | Type B-Type C |
| starch europe | Trade and business associations | 6 | Type C |
| european association for storage of energy (ease) | Trade and business associations | 6 | Type C |
| european federation of local energy companies (cedec) | Trade and business associations | 6 | Type C |
| geode | Trade and business associations | 6 | Type C |
| the swedish trade union confederation (lo) | Trade Unions | 6 | Type B-Type C |
| bee life - european beekeeping coordination (beelife) | Non-governmental organisations, platforms and networks and similar | 6 | Type C |
| conseil des communes et r��gions d'europe (ccre) | Associations and networks of public authorities | 6 | Type C |
| foodserviceeurope (foodserviceeurope) | Trade and business associations | 6 | Type C |
| compassion in world farming brussels (ciwf brussels) | Non-governmental organisations, platforms and networks and similar | 6 | Type C |
| federation of european aquaculture producers (feap) | Trade and business associations | 6 | Type C |
| profel - european association of fruit and vegetable processors (profel) | Trade and business associations | 6 | Type C |
| european federation of origin wines (efow) | Trade and business associations | 6 | Type C |
| stellantis | Companies & groups | 6 | Type C |
| unistock europe - association of professional portside storekeepers in the food and feed chain (unistock) | Trade and business associations | 6 | Type C |
| european alliance for plant-based foods (eapf) | Trade and business associations | 6 | Type C |
| european aluminium aisbl (european aluminium) | Trade and business associations | 6 | Type C |
| conf��d��ration europ��enne de la production de ma��s (c.e.p.m) | Professional Associations | 6 | Type C |
| concawe (concawe) | Think tanks and research institutions | 6 | Type C |
| european tyre and rim technical organisation (etrto) | Non-governmental organisations, platforms and networks and similar | 6 | Type C |
| fraunhofer-gesellschaft (fhg) | Think tanks and research institutions | 6 | Type C |
| all terrain vehicle industry european association (atvea) | Trade and business associations | 6 | Type C |
| conf��d��ration europ��enne des entrepreneurs de travaux techniques agricoles, ruraux et forestiers/ european organisation of agricultural, rural and forestry contractors / europ��ischer zentralverband der lohnunternehmer (ceettar) | Trade and business associations | 6 | Type C |
| european builders confederation aisbl (ebc) | Trade and business associations | 6 | Type C |
| european engineering industries association (eunited) | Trade and business associations | 6 | Type C |
| unife (unife) | Trade and business associations | 6 | Type C |
| euroalliages | Trade and business associations | 6 | Type C |
| european confederation of woodworking industries (cei-bois) | Trade and business associations | 6 | Type C |
| airports council international - european region (aci europe) | Trade and business associations | 6 | Type C |
| european regions airline association ltd. (era) | Trade and business associations | 6 | Type C |
| deutscher gewerkschaftsbund (dgb) | Trade Unions | 6 | Type B-Type C |
| cyprus chamber of commerce and industry (ccci) | Trade and business associations | 6 | Type B-Type C |
| siemens ag (sag) | Companies & groups | 6 | Type C |
| european association of institutions in higher education (eurashe) | Academic institutions | 6 | Type C |
| mouvement des entreprises de france (medef) | Trade and business associations | 6 | Type B-Type C |
| confederation of european waste-to-energy plants (cewep) | Trade and business associations | 5 | Type C |
| health & environment alliance (heal) | Non-governmental organisations, platforms and networks and similar | 5 | Type C |
| svaz pr��myslu a dopravy ��r (sp ��r) | Trade and business associations | 5 | Type B-Type C |
| icomia marine engine committee (imec) | Trade and business associations | 5 | Type C |
| pianc, the world association for waterborne transport infrastructure (pianc) | Non-governmental organisations, platforms and networks and similar | 5 | Type C |
| conference of peripheral maritime regions (crpm) (crpm - cpmr) | Non-governmental organisations, platforms and networks and similar | 5 | Type C |
| european cockpit association (eca) | Professional Associations | 5 | Type C |
| european producers union of renewable ethanol (epure) | Trade and business associations | 5 | Type C |
| gesamtverband der deutschen versicherungswirtschaft e.v. (gdv) | Trade and business associations | 5 | Type C |
| zveza svobodnih sindikatov slovenije - association of free trade unions of slovenia (zsss) | Trade Unions | 5 | Type B-Type C |
| danish trade union confederation eu office (fh) | Trade Unions | 5 | Type B |
| european passengers' federation (epf) | Professional Associations | 5 | Type C |
| european utilities telecom council (eutc) | Trade and business associations | 5 | Type C |
| european rural community alliance (erca) | Non-governmental organisations, platforms and networks and similar | 5 | Type C |
| centre for research and technology hellas (certh) | Think tanks and research institutions | 5 | Type B-Type C |
| european federation of inland ports (efip) | Trade and business associations | 5 | Type C |
| indra (indra) | Companies & groups | 5 | Type C |
| the european region of the international lesbian, gay, bisexual, trans and intersex association (ilga-europe) | Non-governmental organisations, platforms and networks and similar | 5 | Type B-Type C |
| a.i.a.d. | Trade and business associations | 5 | Type C |
| conf��d��ration des syndicats chr��tiens (acv-csc) | Trade Unions | 5 | Type B-Type C |
| carbon market watch ��� zentrum f��r entwicklung & umwelt (carbon market watch) | Non-governmental organisations, platforms and networks and similar | 5 | Type C |
| epia solarpower europe (spe) | Trade and business associations | 5 | Type C |
| airbus | Companies & groups | 5 | Type C |
| autobahnen- und schnellstrassen-finanzierungs- aktiengesellschaft (asfinag) | Companies & groups | 5 | Type B-Type C |
| deutscher speditions- und logistikverband ev (dslv) | Trade and business associations | 5 | Type C |
| confederaci��n sindical de ccoo (ccoo) | Trade Unions | 5 | Type B-Type C |
| fraunhofer-gesellschaft zur f��rderung der angewandten forschung e.v. (fhg) | Think tanks and research institutions | 5 | Type C |
| international association of classification societies ltd. (iacs) | Trade and business associations | 5 | Type C |
| european network on independent living brussels (enil) | Non-governmental organisations, platforms and networks and similar | 5 | Type C |
| autism-europe (ae) | Non-governmental organisations, platforms and networks and similar | 5 | Type C |
| croplife europe | Trade and business associations | 5 | Type C |
| european crop care association (ecca) | Trade and business associations | 5 | Type C |
| organisation pour un r��seau international d���indications g��ographiques (origin) | Non-governmental organisations, platforms and networks and similar | 5 | Type C |
| association for emissions control by catalyst (aecc) | Trade and business associations | 5 | Type C |
| confederation of organisations in road transport enforcement (corte) | Trade and business associations | 5 | Type C |
| european materials handling federation (fem) | Trade and business associations | 5 | Type C |
| liquid gas europe - european lpg association | Trade and business associations | 5 | Type C |
| the european federation for cosmetic ingredients aisbl (effci) | Trade and business associations | 5 | Type C |
| association of the european heating industry (ehi) | Trade and business associations | 5 | Type C |
| ceced (european committee of domestic equipment manufacturers) (ceced) | Trade and business associations | 5 | Type C |
| marcogaz (marcogaz) | Trade and business associations | 5 | Type C |
| montanuniversitaet leoben (mul) | Academia, Research Institute and Think Tanks | 5 | Type B-Type C |
| association of national organisations of fishing enterprises in the european union (europ��che) | Trade and business associations | 5 | Type C |
| european association of fish producers organisations (eapo) | Trade and business associations | 5 | Type C |
| windeurope | Trade and business associations | 5 | Type C |
| cruise lines international association europe (clia europe) | Trade and business associations | 5 | Type C |
| unione italiana del lavoro (uil) | Trade Unions | 5 | Type B-Type C |
| renault | Companies & groups | 5 | Type C |
| volkswagen aktiengesellschaft (volkswagen ag) | Companies & groups | 5 | Type C |
| lifelong learning platform (lllp) | Non-governmental organisations, platforms and networks and similar | 5 | Type C |
| european community association of shipbrokers and agents (ecasba) | Trade and business associations | 5 | Type C |
| sacar - secr��tariat des associations du commerce agricole r��unies / joint secretariat of agricultural trade associations (sacar) | Trade and business associations | 5 | Type C |
| world shipping council (wsc) | Trade and business associations | 5 | Type C |
| coalition clean baltic (ccb) | Non-governmental organisations, platforms and networks and similar | 5 | Type C |
| landbrug & f��devarer - danish agriculture and food council (dafc) | Trade and business associations | 5 | Type C |
| luonnonvarakeskus (luke) | Think tanks and research institutions | 5 | Type C |
| mediterranean protected areas network (medpan) | Non-governmental organisations, platforms and networks and similar | 5 | Type C |
| associa����o portuguesa para a defesa do consumidor (deco) | Non-governmental organisations, platforms and networks and similar | 5 | Type B-Type C |
| verbraucherzentrale bundesverband (vzbv) | Non-governmental organisations, platforms and networks and similar | 4 | Type B-Type C |
| european recycling industries' confederation (euric) | Trade and business associations | 4 | Type C |
| europ��ischer verband beruflicher bildungstr��ger (evbb) | Think tanks and research institutions | 4 | Type C |
| confcommercio - imprese per l'italia (confcommercio) | Trade and business associations | 4 | Type B-Type C |
| european boating industry | Trade and business associations | 4 | Type C |
| european bureau for conservation and development (ebcd) | Non-governmental organisations, platforms and networks and similar | 4 | Type C |
| fiskesekretariatet (fishsec) | Non-governmental organisations, platforms and networks and similar | 4 | Type C |
| confedera����o do com��rcio e servi��os de portugal (ccp) | Trade and business associations | 4 | Type B-Type C |
| cyprus employers & industrialists federation (oeb) | Trade and business associations | 4 | Type B-Type C |
| conf��d��ration des associations nationales de tanneurs et m��gissiers de la communaut�� europ��enne (cotance) | Trade and business associations | 4 | Type C |
| european association for coal and lignite (euracoal) | Trade and business associations | 4 | Type B-Type C |
| european council of the paint, printing ink and artists' colours industry (cepe) | Trade and business associations | 4 | Type C |
| glass alliance europe aisbl (gae) | Trade and business associations | 4 | Type C |
| cooperatives europe | Trade and business associations | 4 | Type B-Type C |
| european association of development agencies (eurada) | Trade and business associations | 4 | Type C |
| european confederation of workers' cooperatives, social cooperatives and social and participative enterprises (cecop-cicopa europe) | Trade and business associations | 4 | Type C |
| afew international (afew) | Non-governmental organisations, platforms and networks and similar | 4 | Type C |
| ericsson | Companies & groups | 4 | Type C |
| european telecommunications network operators' association (etno) | Trade and business associations | 4 | Type C |
| european coordination committee of the radiological, electromedical and healthcare it industry (cocir) | Trade and business associations | 4 | Type C |
| service industrial professional and technical union (siptu) | Trade Unions | 4 | Type B |
| european federation of public service unions (epsu) | Trade Unions | 4 | Type C |
| reuse and recycling european union social enterprises (rreuse) | Non-governmental organisations, platforms and networks and similar | 4 | Type C |
| confederation of danish industry (di) | Trade and business associations | 4 | Type C |
| conf��d��ration fiscale europ��enne (cfe) | Trade and business associations | 4 | Type C |
| general workers' union (Malta) | Trade and business associations | 4 | Type B-Type C |
| european rail infrastructure managers (eim) | Trade and business associations | 4 | Type C |
| international chamber of commerce (icc) | Trade and business associations | 4 | Type C |
| fincantieri spa (finc) | Companies & groups | 4 | Type C |
| ��sterreichischer gewerkschaftsbund (��gb) | Trade Unions | 4 | Type B-Type C |
| european copper institute (eci) | Trade and business associations | 4 | Type C |
| confederation of greek trade unions | Trade Unions | 4 | Type B |
| japan business council in europe (jbce) | Trade and business associations | 4 | Type C |
| airlines international representation in europe (aire) | Think tanks and research institutions | 4 | Type C |
| tomatoeurope processors association (tomatoeurope) | Trade and business associations | 4 | Type C |
| irish congress trade unions (ictu) | Trade Unions | 4 | Type B-Type C |
| ruralit��-environnement-d��veloppement (red) | Non-governmental organisations, platforms and networks and similar | 4 | Type C |
| association des r��gions europ��ennes des produits d'origine (arepo) | Non-governmental organisations, platforms and networks and similar | 4 | Type C |
| bundesverband der deutschen industrie e.v. (bdi) | Trade and business associations | 4 | Type B-Type C |
| inland navigation europe (ine) | Associations and networks of public authorities | 4 | Type C |
| pro danube international (pdi) | Trade and business associations | 4 | Type C |
| rise research institutes of sweden ab (rise) | Think tanks and research institutions | 4 | Type C |
| johann heinrich von th��nen-institut, bundesforschungsinstitut f��r l��ndliche r��ume, wald und fischerei (th��nen-institut) | Think tanks and research institutions | 4 | Type C |
| tesla motors netherlands b.v. (tesla) | Companies & groups | 4 | Type C |
| european lime association (eula) | Trade and business associations | 4 | Type C |
| bellona europa | Non-governmental organisations, platforms and networks and similar | 4 | Type C |
| toimihenkil��keskusj��rjest�� sttk (sttk) | Trade Unions | 4 | Type B-Type C |
| arche noah, gesellschaft f��r die erhaltung der kulturpflanzenvielfalt und ihre entwicklung (arche noah) | Non-governmental organisations, platforms and networks and similar | 4 | Type C |
| european flavour association (effa) | Trade and business associations | 4 | Type C |
| european seed association (esa) | Trade and business associations | 4 | Type C |
| landsorganisationen i danmark (lo) | Trade Unions | 4 | Type B-Type C |
| deutsche umwelthilfe e.v. (duh) | Non-governmental organisations, platforms and networks and similar | 4 | Type C |
| fundaci��n azti - azti fundazioa (azti) | Think tanks and research institutions | 4 | Type C |
| matvett sa | Think tanks and research institutions | 4 | Type C |
| european ship suppliers organization (ocean) | Trade and business associations | 4 | Type C |
| european boating industry (ebi) | Trade and business associations | 4 | Type C |
| european skippers organisation (eso) | Trade and business associations | 4 | Type C |
| tj��nstem��nnens centralorganisation (tco) | Trade Unions | 4 | Type B-Type C |
| l��tzebuerger chr��schtleche gewerkschafts-bond (lcgb) | Trade Unions | 4 | Type B-Type C |
| arcelormittal (am) | Companies & groups | 4 | Type B-Type C |
| european digital sme alliance (digital sme) | Trade and business associations | 4 | Type B-Type C |
| european lift association (ela) | Trade and business associations | 4 | Type C |
| tic council (tic council) | Trade and business associations | 4 | Type C |
| f��d��ration europ��enne des industries des aliments pour animaux familiers (fediaf) | Trade and business associations | 4 | Type C |
| europ��isches zentrum f��r presse- und medienfreiheit (ecpmf) | Non-governmental organisations, platforms and networks and similar | 4 | Type B |
| bundesverband der deutschen sicherheits- und verteidigungsindustrie e.v. (bdsv) | Trade and business associations | 4 | Type C |
| citd enginering and technologies (citd) | Companies & groups | 4 | Type C |
| colab +atlantic (+atl) | Think tanks and research institutions | 4 | Type C |
| groupement des industries fran��aises a��ronautiques et spatiales (gifas) | Trade and business associations | 4 | Type C |
| industrieanlagen-betriebsgesellschaft mbh (iabg) | Companies & groups | 4 | Type C |
| leonardo s.p.a. | Companies & groups | 4 | Type C |
| nammo as | Companies & groups | 4 | Type C |
| office national d���etudes et de recherches aerospatiales (onera) | Think tanks and research institutions | 4 | Type C |
| ohb | Companies & groups | 4 | Type C |
| partnership of a european group of aeronautics and space universities (pegasus) | Academic institutions | 4 | Type C |
| piedmont aerospace cluster (dap) | Non-governmental organisations, platforms and networks and similar | 4 | Type C |
| politechnika warszawska, wydzial mechaniczny energetyki i lotnictwa (pw meil) | Academic institutions | 4 | Type C |
| safran | Companies & groups | 4 | Type C |
| ses s.a. (ses) | Companies & groups | 4 | Type C |
| stam s.r.l. (stam) | Companies & groups | 4 | Type C |
| terma a/s | Companies & groups | 4 | Type C |
| european blind union (ebu) | Non-governmental organisations, platforms and networks and similar | 4 | Type C |
| european union of the deaf (eud) | Non-governmental organisations, platforms and networks and similar | 4 | Type C |
| european associations of fish processors and european federation of national organisations of fish importers and exporters (aipce-cep) | Trade and business associations | 4 | Type C |
| safe food advocacy europe (safe) | Non-governmental organisations, platforms and networks and similar | 4 | Type C |
| all european academies (allea) | Academic institutions | 4 | Type C |
| eu-life (eu-life) | Think tanks and research institutions | 4 | Type C |
| agroecology europe (aeeu) | Non-governmental organisations, platforms and networks and similar | 4 | Type C |
| the international association of independent tanker owners (intertanko) | Trade and business associations | 4 | Type C |
| european organic certifiers council (eocc) | Non-governmental organisations, platforms and networks and similar | 4 | Type C |
| the european association for electromobility (avere) | Trade and business associations | 4 | Type C |
| volvo car corporation ab (volvo cars) | Companies & groups | 4 | Type C |
| eurogas aisbl (eurogas) | Trade and business associations | 4 | Type C |
| european cyclists' federation (ecf) | Trade and business associations | 4 | Type C |
| european garage equipment association (egea) | Trade and business associations | 4 | Type C |
| european organization of cosmetic ingredients industries and services (unitis) | Trade and business associations | 4 | Type C |
| european expanded clay association (exca) | Trade and business associations | 4 | Type C |
| aquapol (aquapol) | Professional Associations | 4 | Type C |
| european garden machinery industry federation (egmf) | Trade and business associations | 4 | Type C |
| lightingeurope (le) | Trade and business associations | 4 | Type C |
| cece - committee for european construction equipment (cece) | Trade and business associations | 4 | Type C |
| robert bosch gmbh | Companies & groups | 4 | Type C |
| scania ab (publ) (scania) | Companies & groups | 4 | Type C |
| european plaster and plasterboard manufacturers association (eurogypsum) | Trade and business associations | 4 | Type C |
| bimco | Trade and business associations | 4 | Type C |
| canso - civil air navigation services organisation (canso) | Trade and business associations | 4 | Type C |
| forest-based sector technology platform (ftp) | Non-governmental organisations, platforms and networks and similar | 4 | Type C |
| magyar szakszervezeti sz��vets��g (maszsz) | Trade Unions | 4 | Type B-Type C |
| continental ag (conti) | Companies & groups | 4 | Type C |
| kapsch | Companies & groups | 4 | Type C |
| american chamber of commerce to the european union (amcham eu) | Trade and business associations | 4 | Type C |
| federation of european tank storage associations (fetsa) | Trade and business associations | 4 | Type C |
| international port community systems association (ipcsa) | Trade and business associations | 4 | Type C |
| butterfly conservation europe (bce) | Non-governmental organisations, platforms and networks and similar | 4 | Type C |
| european nurserystock association (ena) (ena) | Trade and business associations | 4 | Type C |
| clientearth | Non-governmental organisations, platforms and networks and similar | 4 | Type C |
| bulgarian industrial capital association (bica) | Trade and business associations | 4 | Type B |
| council of bars and law societies of europe (ccbe) | Trade Unions | 4 | Type B-Type C |
| cip - confedera����o empresarial de portugal (cip) | Trade and business associations | 4 | Type B-Type C |

Type des organisations repeat players
| TYPE_ORGA | TOTAL_SEATS | n |
|---|---|---|
| Trade and business associations | 1211 | 68 |
| Non-governmental organisations, platforms and networks and similar | 360 | 20 |
| Professional Associations | 79 | 4 |
| Associations and networks of public authorities | 72 | 3 |
| Other organisations, public or mixed entities | 41 | 3 |
| Trade Unions | 58 | 3 |
| Think tanks and research institutions | 13 | 1 |